1. 执行摘要 (Executive Summary)
随着商业航天市场的指数级增长,运载火箭的设计范式正从单纯的性能优先转向成本、可靠性与可重复使用性(Reusability)并重。作为连接推进剂贮箱(Propellant Tanks)与火箭发动机(Rocket Engines)的关键纽带,推进剂输送管路系统(Propellant Feedline System)——特别是穿越贮箱的内部隧道管(Internal Downcomer/Tunnel Pipe)——其设计质量显著影响/在很大程度上影响了任务的成败与可靠性。本报告专为商业火箭制造商编写,旨在提供关于液氧/煤油(LOX/RP-1)及液氧/甲烷(Methalox)输送系统的高级设计指南。

本报告深入探讨了输送管路在极端低温(Cryogenic)、高振动及大流量工况下的流体动力学行为,重点分析了POGO振动(Pogo Oscillation)、水锤效应(Water Hammer)及空化(Cavitation)的抑制策略。同时,报告详细对比了以SpaceX为代表的不锈钢(Stainless Steel 304L)架构与传统铝合金(如5A06/5083/2219)架构在材料科学层面的优劣,并针对“管中管”(Pipe-in-Tunnel)的特殊构型,提供了关于波纹管补偿器(Metal Bellows and Expansion Joints)及流套(Flow Liner)的工程设计准则。
(但严格来说:POGO 是否被抑制,取决于“系统耦合”而非单一管材,在某些构型中,提高波速反而可能靠近高阶模态)

2. 输送管路系统架构设计 (Architecture of Propellant Feed Systems)
在现代液体运载火箭设计中,推进剂输送管路不仅仅是流体通道,它是涉及热力学、结构力学与流体力学的复杂耦合子系统。

2.1 隧道管构型分析 (The Downcomer/Tunnel Configuration)
贵司关注的重点——“贮箱上的隧道管,内部为直管不锈钢连接补偿器,外部为隔层”——是串联贮箱布局(Tandem Tank Configuration)中的经典设计,在液氧/煤油火箭中具有代表性(如 Saturn V S-IC;现代商业火箭如 Falcon 9 亦采用串联贮箱构型,但其具体下行管布置在公开资料中披露有限)。

在此构型中,氧化剂贮箱(通常为液氧 LOX)位于燃料贮箱(Fuel Tank)上方。为了将液氧输送至底部的发动机,输送管(Suction Line)必须穿过燃料贮箱。
外部隧道(Outer Tunnel): 这是燃料贮箱结构的一部分,通常由与贮箱同材质的铝合金(如 2219 等低温贮箱常用铝合金体系)制成。它在燃料贮箱内部创造了一个隔离的干腔或湿腔通道。
内部输送管(Inner Feedline/Downcomer): 承载低温液氧的核心管道。由于液氧温度(~90 K 或更低)与燃料温度(~280 K - 300 K 或更低)存在巨大差异,且管路需承受高压和轴向载荷,其设计至关重要。
热隔离与真空夹层(Thermal Isolation): 在高性能设计中,为了防止燃料加热液氧(导致液氧沸腾、降低密度)或液氧冻结燃料,工程上可采用气体隔热、绝热材料(如多层绝热 MLI、气凝胶)或在特定高性能应用中采用真空夹套(Vacuum Jacketed)等方式。

2.2 设计边界条件与挑战
设计此类管路面临四大核心挑战:
热收缩失配(CTE Mismatch): 内部不锈钢管路在低温下收缩量巨大,而外部铝合金结构收缩较小。通常需要引入金属波纹管补偿器弹性元件(Metal Bellows and Expansion Joints)来吸收位移。

(图为我们团队为某商业航天火箭生产的不锈钢液氧输送管路,在连接端配有多层金属波纹管补偿器) 流体不稳定性(Fluid Instabilities): 长直管路极易成为POGO振动的蓄能器或低阻尼声学腔(液柱共振段)。
间歇泉效应(Geysering): 在垂直长管中,热传递可能导致气泡积聚,引发猛烈的液体喷涌和水锤。
结构载荷(Structural Loads): 管路需承受高G值发射载荷、发动机万向节摆动(Gimbaling)引起的侧向位移及内部流体压力。
3. 流体动力学深度分析 (Fluid Dynamics Analysis)
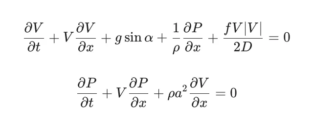
输送管路的流体动力学稳定性是设计的核心。基于NASA和学术界的经典研究 ,我们采用特征线法(Method of Characteristics, MOC)对管路瞬态进行建模。

3.1 运动方程与特征线法 (Equations of Motion & MOC)
为了预测阀门关闭或发动机启动过程中的瞬态压力(transients),管路内的一维非定常流动可由以下动量方程与连续性方程描述:

其中:

在商业火箭设计中,波速α是关键参数。对于薄壁输送管,流固耦合效应显著,需使用Korteweg公式进行修正:

其中E为管材杨氏模量,e为壁厚,C 为管路的轴向/径向约束因子(与支撑与泊松效应相关)。不锈钢(E≈193 GPa)相比铝合金(E≈70 GPa)具有更高的模量,导致波速更高,这意味着压力波在不锈钢管路中传播更快,系统的一阶声学频率更高 。这在抑制低频POGO振动时是一个有利因素。
3.2 POGO振动抑制 (POGO Suppression)
POGO是液体火箭特有的纵向耦合振动。当推进剂输送管路的液柱固有频率(Liquid Column Resonant Frequency)与火箭结构的纵向模态频率(Structural Mode)耦合时,会发生共振。
机理:结构振动-泵入口压力波动-流量波动-推力波动-加剧结构振动。
抑制设计:
蓄压器(Accumulators): 在氧化剂涡轮泵入口处安装充气蓄压器(如Saturn V S-IC液氧管路预阀处的氦气腔)。蓄压器通过引入气相顺应性(Compliance),大幅降低管路系统的固有频率,使其远离结构模态频率 。
管路调谐: 通过改变管径或材质(改变波速)来调整液柱频率。不锈钢管路的高刚度特性在此处提供了更明确的频率预测能力。
阻尼注入: 某些设计通过在管路特定位置引入流阻来增加系统阻尼。
3.3 空化不稳定性 (Cavitation Instabilities)
实验数据 表明,当管路局部压力(如在孔板、弯头或波纹管内衬处)低于饱和蒸汽压Pu时,会发生空化。
“喘振”(Chugging): 空化会诱发典型频率处于数十至数百 Hz 范围内的低频流体不稳定性。虽然这种频率通常高于火箭的主结构模态,但可能与推进系统及燃烧室的低频体积/顺应性模态耦合,导致推力震荡。
空化数(Cavitation Number, σ
保持在临界值以上。实验表明,在低 σ 值(强空化)条件下,入口压力脉动可达到数个百分点量级(例如约 7%),而在较高 σ 值下通常可控制在 1% 量级以内。

低温效应(Thermal Depression): 液氧和液氮等低温流体在空化时表现出热抑制效应。汽化吸收潜热导致局部降温,进而降低蒸汽压,抑制气泡生长。这意味着低温管路比常温管路具有更好的抗空化稳定性,但设计时仍需留有余量(NPSP - Net Positive Suction Pressure)。

4. 热力学挑战:间歇泉与推进剂调节
对于穿越燃料箱的液氧隧道管,热管理是防止灾难性故障的关键。
4.1 间歇泉效应(Geysering)
间歇泉是垂直低温管路中的一种循环喷发现象。
• 过程:
管壁传入的热量使液氧沸腾 → 气泡在管中心聚集形成泰勒气泡(Taylor Bubble) → 气泡上升降低下方液体静压 → 下方过热液体瞬间闪蒸(Flash Boiling) → 液体被猛烈喷出管口 → 液体回落撞击管底,产生巨大的水锤压力(Water Hammer
• 危害:水锤压力可能在短时间内造成严重结构载荷,导致输送管路或泵入口结构损伤甚至失效。
4.2 预防设计策略
1. 氦气注入(Helium Injection / Bubbling):
• 原理:在管路底部持续注入氦气。氦气气泡在上升过程中破坏了管壁附近的热边界层,建立了端流循环。更重要的是,根据道尔顿分压定律,氦气降低了液氧表面的氧分压,促使液氧向氦气泡内蒸发吸热,从而使主体液体保持过冷(Subcooling)状态。

• 应用:NASA 在 Space Shuttle 等低温推进系统中曾采用相关的防间歇泉措施;而在 Saturn V 等型号上,氦气腔体亦常用于推进系统的稳定性/顺应性设计(例如与 POGO 抑制相关的气相顺应性配置)。
2. 自然循环回路(Recirculation Loop):
• 在输送管旁并联一根再循环管(Recirculation Line)。利用受热推进剂密度降低的原理,建立热虹吸(Thermosyphon)循环,将热推进剂排回贮箱,冷推进剂吸入管路。Saturn V S-II 级采用了此设计。


3. 推进剂过冷(Densification):
• SpaceX 和马斯克的策略:Falcon 9 采用了过冷推进剂技术,将液氧冷却至约 66 K(显著低于常压沸点约 90 K),以提升密度并增加热容裕度,从而降低发射前停泊阶段的汽化风险。

5. 机械结构与补偿设计 (Mechanical Design & Compensation)
针对“管中管”结构,机械设计的核心在于处理极端的温差和相对位移。
5.1 波纹管补偿器 (Bellows Compensators)

隧道管中的内管(不锈钢)通常通过波纹管连接,以补偿热收缩。
材料: 工程实践中通常采用 Inconel 718、Inconel 625 或 300 系列不锈钢(如 321、316L)等材料体系。
流套(Flow Liners):必要性:高速推进剂流经波纹管波峰时会产生涡脱落(Vortex Shedding),诱发流致振动(Flow-Induced Vibration, FIV),可能导致波纹管疲劳断裂。设计:必须在波纹管内部安装伸缩式流套(Telescoping Liner)。流套需设计排液孔(Drain Holes),以防止清洗液滞留或压力困陷,同时必须保证在最大位移下不与波纹管内壁干涉
防结冰设计: 对于外部暴露的波纹管(如航天飞机外贮箱),需设计“滴水檐”(Drip-lip)或加热带,防止冷凝水结冰后脱落损伤箭体 。虽然隧道管在内部,但需考虑真空夹层失效后的结冰风险。
5.2 支座与万向节 (Supports & Gimbal Joints)
万向节: 发动机摆动(Gimbaling)需要输送管路具备角位移能力。除了波纹管,高性能设计通常包含金属万向环(Gimbal Ring)结构,以承受巨大的推力载荷,同时允许管路偏转。
滑动节(Sliding Joints): 在某些长管路设计中(如 Saturn V S-IC),除了波纹管,还使用了滑动节来吸收巨大的轴向热收缩 。
6. 隧道管的材料选择深度对比:不锈钢 vs. 铝合金
为什么SpaceX在其最新的Starship项目中全面转向不锈钢,而传统的航天大国(包括SpaceX早期的Falcon 9)长期青睐铝合金?这对管路设计有何启示?


6.1 铝合金 (Aluminum Alloys)
铝合金是航天贮箱和管路的传统王者,主要优势在于比强度(Strength-to-Weight Ratio)。
5A06 (Al-Mg系,类似 ASTM 5083/5056):
特性: 属于不可热处理强化合金。具有极佳的抗腐蚀性、焊接性能和低温塑性。在低温下强度略有提升。
应用: 广泛用于中国(长征系列)和俄罗斯的火箭贮箱及管路。它成本较低,加工成熟,适合一次性运载火箭。
局限: 强度低于2xxx系和7xxx系,需要较厚的壁厚来承受高压。

(翻译依次为:杨氏模量,线膨胀系数,泊松比,密度,比热容,屈服应力) 2219 (Al-Cu系):
特性: 可热处理强化。在低温(20K)下表现出优异的断裂韧性(Fracture Toughness)和强度提升。焊接性能良好(TIG/FSW)。
应用: Saturn V, Space Shuttle External Tank, Falcon 9 (早期版本)。是高性能低温贮箱的标杆材料。
铝锂合金 (Al-Li 系合金):
特性: 密度更低,模量更高,强度极大。
应用: Space Shuttle Super Lightweight Tank;Falcon 9 在后续版本中采用了铝锂体系(具体牌号公开资料有限)。
缺点: 极其昂贵,焊接困难(通常需搅拌摩擦焊),对裂纹敏感。
6.2 不锈钢 (Stainless Steel - Specifically 304L/30X)
SpaceX Starship选择不锈钢(特别是304L和自研的30X冷轧钢)主要基于以下逻辑,这对输送管路同样适用:
低温强化效应(Cryogenic Strengthening):
奥氏体不锈钢(Austenitic Stainless Steel,如304L)具有面心立方(FCC)晶体结构。与碳钢等 BCC 结构材料不同,奥氏体不锈钢等 FCC 体系材料在低温下通常不表现出典型的韧脆转变(DBTT),并能保持较好的低温韧性。
相反,304L 在液氮/液氧温度下的屈服强度与抗拉强度通常较室温显著提升(不同指标与数据来源下提升幅度存在差异),同时仍能保持较高的延展性与断裂韧性 。这意味着在低温工作环境下,不锈钢管路可以设计得更薄,从而部分抵消其密度劣势。
断裂韧性与泄露失效(Leak-before-Burst):
304L在低温下具有极高的断裂韧性。即使管路出现微裂纹,它倾向于发生塑性变形而非脆性断裂,这对于载人航天和可重复使用火箭的安全至关重要。
耐热性与复用性(Heat Resistance & Reusability):
铝合金在 150°C - 200°C 时强度急剧下降,而不锈钢能承受 800°C 以上的高温。对于Starship这种需经受再入大气层热流的飞行器,不锈钢机身自带热防护属性,减少了对昂贵且脆弱的隔热瓦(TPS)的需求 。
对于管路而言,这意味着在发动机舱高温环境下,不锈钢管路无需过厚的隔热层即可保持结构完整性。
成本与制造(Cost & Manufacturability):
不锈钢原材料成本极低(约$3/kg vs 碳纤维 $135/kg),且焊接容易,无需像铝锂合金那样在洁净室中进行搅拌摩擦焊。这极大地降低了制造门槛和周期 。
6.3 为什么SpaceX的隧道管(Downcomer, Feedline)多用不锈钢?

即便贮箱本体为铝合金结构(如 Falcon 9),其液氧隧道管系统中的关键柔性段与补偿器通常采用不锈钢或镍基合金(如 Inconel)波纹管,主要原因如下:
导热系数: 不锈钢的导热系数显著低于铝合金。作为承载液氧并穿越煤油区域的内部管路,较低的导热性能有助于降低热量向液氧侧传入,从而减少推进剂受热与汽化风险。

强度/体积比: 隧道管内部空间受限,且需承受低温、高压及复杂载荷工况。不锈钢及镍基合金在低温环境下具有良好的强度保持能力与结构稳定性,使管路与波纹补偿结构能够在满足强度与疲劳要求的同时,实现更紧凑的结构设计。

补偿器制造:高质量、高疲劳寿命的铝合金波纹管在制造与长期服役可靠性方面难度极高。不锈钢及镍基合金则是航天与低温工程中制造金属波纹管与补偿器的成熟标准材料,更适合用于此类关键柔性结构。(当然铝制隧道管依然可通过法兰连接不锈钢金属补偿器)
7. 设计建议 (Design Recommendations)
针对商业火箭客户的输送管路设计,我们提出以下具体建议:
构型选择: 对于液氧/煤油火箭,推荐采用穿箱隧道管设计。务必在内管与隧道壁之间实施真空夹层(Vacuum Jacket)或填充气凝胶绝热毡,以最大限度减少热泄露。
材料匹配:
推进剂隧道管材料选择
不应简单以是否效仿 SpaceX 为依据,而应结合具体设计需求与供应商的制造工艺能力综合评估。
在传统制造路径中,铝合金隧道管通常采用平板压波—卷制—纵缝焊接的方式成形,该工艺在尺寸一致性、焊缝质量与制造效率方面受限,导致整体制造成本较高。
相较之下,若采用金属波纹管成形工艺制造隧道管波形结构,并使用管材(有缝或无缝)在焊缝质量满足一级无气孔要求的前提下进行波纹成形,可显著降低制造复杂度与成本。以大约 8-11 米长度,DN380-420的铝制隧道外管为例,在该工艺路线下,仅管体本身的制造成本可控制在 15 万人民币以内,甚至更低。这也是我们研发团队在近半年来的隧道管外管制造实践中取得的、前所未有的指数级降本突破。
因此,在满足低温性能、结构强度与疲劳寿命要求的前提下,30X 系列奥氏体不锈钢仍是适合低成本与可回收商业火箭路线的可行选择,其低温强化特性与良好的焊接适应性有助于实现工程可行性与成本控制之间的平衡。
极致性能/一次性商业火箭路线: 在对系统质量极度敏感的应用中,可考虑采用铝锂合金管路结构以降低质量。但在位移补偿与连接部位,仍建议使用双层或多层不锈钢金属波纹管补偿器,并通过法兰或双金属接头(Bi-metallic Joints)实现异种材料过渡,以控制热应力与结构失配风险。
动力学抑制:
POGO:在设计阶段必须开展推进系统—结构的耦合动力学分析/仿真,并在液氧泵入口位置预留**蓄压器(Accumulator)**接口,以便进行被动抑制方案的参数化设计与集成。

空化:通过加压与管路压降控制确保足够的NPSP 裕度,并对孔板与弯头等局部构型进行流动优化,降低局部低压与分离风险,从而减小空化发生概率。
间歇泉防治:
对于长垂直管路,必须设计氦气注入系统或再循环回路。
如果地面设施允许,推荐采用**推进剂过冷(Densification)**技术,从物理属性上提高系统的热稳定性。
波纹管细节:
所有高速流体管路中的波纹管必须配备伸缩式导流衬套(Telescoping Flow Liners)。
设计中需包含万向节结构以吸收发动机摆动载荷,不仅仅依赖波纹管的柔性。
8. 结论 (Conclusion)
液体火箭输送管路的设计,本质上是在流体稳定性、热管理效率与结构可靠性之间持续权衡与优化的系统工程。SpaceX 的工程实践表明,合理利用材料在低温环境下的物理特性(如 30X 系列不锈钢的低温强化行为),并结合系统级优化手段(如推进剂过冷),能够在现有工程体系内实现成本与性能的有效平衡。
然而,这一路线并非材料与结构设计的唯一答案。随着商业火箭任务复杂度与工程目标的不断提升,推进剂输送管路仍有必要在材料体系、制造工艺与结构形式等方面开展进一步的研究与验证,以探索具备更高性能潜力与成本效率的解决方案。
作为管路供应商,我们建议客户在总体设计阶段即充分结合任务剖面与制造条件,对材料与结构方案进行综合评估与验证,从而在工程可行性、长期可靠性与成本控制之间实现更具突破性的平衡。
引用文献:
Astleford, W. J., J. L. Holster, and C. R. Gerlach. Analysis of Propellant Feedline Dynamics. Interim Technical Report No. 1, NASA-CR-123913, Southwest Research Institute, Aug. 1972.
Berrier, William F., Jr. Dynamics of Propellant Feedline Systems. MS thesis, Air Force Institute of Technology, 1985. Defense Technical Information Center, ADA184865.
Brennen, Christopher E. Hydrodynamics of Pumps. Oxford UP, 1994.
Hitt, Matthew A., David M. Lineberry, Vineet Ahuja, and Robert A. Frederick. “Experimental Investigation of Cavitation Induced Feedline Instability from an Orifice.” 49th AIAA Aerospace Sciences Meeting, AIAA 2011-808, Jan. 2011.
Holster, J. L., W. J. Astleford, and C. R. Gerlach. Analysis of Propellant Feedline Dynamics. Final Report, NASA-CR-124396, Southwest Research Institute, May 1973.
Korteweg, D. J. “Ueber die Fortpflanzungsgeschwindigkeit des Schalles in elastischen Röhren.” Annalen der Physik, vol. 241, no. 12, 1878, pp. 525–542.
Musk, Elon. “Starship Update.” SpaceX, 29 Sept. 2019, Boca Chica, TX. Presentation.
NASA. Liquid Rocket Lines, Bellows, Flexible Hoses, and Filters. NASA-SP-8123, Lewis Research Center, 1977.
NASA. Liquid Rocket Metal Tanks and Tank Components. NASA-SP-8088, Lewis Research Center, 1974.
NASA. Prevention of Coupled Structure-Propulsion Instability (POGO). NASA-SP-8055, Oct. 1970.
Pasch, James. “Ares I Reaction Control System Propellant Feedline Decontamination Modeling.” 46th AIAA Joint Propulsion Conference, AIAA 2010-6701, July 2010.
Perry, G. L. E., J. D. Suter, and S. G. Turner. Advanced Liquid Oxygen (LO₂) Propellant Conditioning Concept Testing. NASA-TM-108477, Marshall Space Flight Center, Jan. 1995.
SpaceX. “Starship.” SpaceX, www.spacex.com/vehicles/starship/. Accessed 14 Jan. 2026.
Streeter, Victor L., and E. Benjamin Wylie. Fluid Transients in Systems. Prentice-Hall, 1993.
Tijsseling, A. S. “Fluid-Structure Interaction in Liquid-Filled Pipe Systems: A Review.” Journal of Fluids and Structures, vol. 10, no. 2, 1996, pp. 109–146.
Van Hooser, K., et al. Liquid Propulsion: Propellant Feed System Design. NASA-SP-2010-35254, Marshall Space Flight Center, 2010. 本文为原创内容,版权归作者所有,未经授权禁止转载,摘编或用于商业用途。侵权必究。 获取更多产品信息,或定制专属技术方案,欢迎随时与我们联系。


