
吲哚螨砜(sulfindoflufen)是沈阳化工大学2019年研发的新型三氟乙基亚砜类杀螨剂,2023年沈阳化工大学将专利权转让给了陕西上格,目前由陕西上格进行商业化开发。
吲哚螨砜是继氟螨双醚、苯苄螨胺、氟螨硫醚之后国内报道的第4个三氟乙硫醚(亚砜)类结构的化合物,区别于国内其他3个硫醚结构,吲哚螨砜的苯环5位上是三氟乙基亚磺酰基,与氟戊螨硫醚和硫氟螨一致,虽然只是一点很小的变化,但是接亚砜结构相比于其他硫醚结构在活性和低温稳定性方面表现更为突出,另外,吲哚螨砜引入了苯并吡咯结构,这在杀虫剂设计中并不常见,是非常大胆的尝试,可能赋予化合物特别的生物活性,笔者团队通过将苯并吡咯引入其他杀虫剂中,也表现出了较好的生物活性,这表明该基团可能本身就是关键药效团,直接贡献生物活性(有兴趣也可尝试引入苯并噁唑)。


英文名称:sulfindoflufen;
中文名称:吲哚螨砜;
化学名称:rac-2-{2-氟-4-甲基-5-[(R)-2,2,2-三氟乙基亚磺酰基]苯基}-2,3-二氢-1H-异吲哚-1-酮;
分子式:C17H13F4NO2S;
相对分子质量:371.348;
CAS登录号:2410561-41-8;
结构式:
理化性质:原药为白色固体。
作用机理并未见报道。据笔者推测,可能是通过抑制螨虫琥珀酸脱氢酶的活性,进而破坏螨虫的能量合成过程,从而达到防治螨虫的目的。但作用位点与嘧螨胺、嘧螨酯、唑醚螨腈不同,不存在交互抗性。
应用作物:柑橘、苹果、蔬菜、棉花、马铃薯等;
靶标害螨:叶螨科(二斑叶螨、朱砂叶螨、苹果全爪螨、柑橘叶螨、神泽氏叶螨、山楂叶螨等)、瘿螨科、跗线螨科、走螨科、细须螨科等;
开发剂型:10%吲哚螨砜EC、20%吲哚螨砜SC。
4.1 化合物专利
2019年沈阳化工大学在WIPO、美国、中国、申请了基于吲哚螨砜在内的三氟乙基硫醚(亚砜)取代苯类化合物专利。
专利名称:一种三氟乙基硫醚(亚砜)取代苯类化合物及其用途;
申请号:CN201910455062.4;
授权日:2021/01/08;
申请日:2019/05/29;
失效日:2039/05/29;
公开号:CN110028431B。
摘要:本发明属农用杀螨剂领域。具体地涉及一种三氟乙基硫醚(亚砜)取代苯类化合物及其用途。结构如通式Ⅰ所示。式中,各取代基的定义见说明书。通式Ⅰ化合物具有优异的杀螨活性,可用于防治各种害螨。

4.2 制备及中间体专利
2022年,沈阳化工大学申请了基于吲哚螨砜及其中间体的合成路线专利。
专利名称:三氟乙基硫醚(亚砜)取代苯类化合物的制备方法及其中间体;
申请号:CN202210856313.1;
授权日:2025/03/25;
申请日:2022/07/21;
失效日:2042/07/21;
公开号:CN115701423B。
摘要:本发明涉及一种三氟乙基硫醚取代苯类化合物的制备方法以及在该方法中使用的中间体。所述方法包括如下步骤:
步骤1:使通式Ⅶ化合物与通式Ⅵ化合物进行缩合反应得到通式Ⅴ化合物;
步骤2:使通式Ⅴ化合物经历磺化反应得到通式Ⅳ化合物;
步骤3:通式Ⅳ化合物经历还原反应得到通式Ⅲ化合物;
步骤4:通式Ⅲ化合物经历烷基化反应得到通式Ⅱ化合物。
本发明还涉及一种三氟乙基亚砜取代苯类化合物的制备方法,其包括步骤为,使上述通式Ⅱ化合物经历氧化反应,得到通式Ⅰ化合物。本发明所述的方法具有简单、高效、高收率、降低成本等优点。

路线一:以3-(2,2,2-三氟乙硫基)-4-甲基-6-氟苯胺和2-(氯甲基)苯甲酰氯为起始原料,经酰胺化、氧化、环化3步反应生成最终产物吲哚螨砜。合成路线如下:

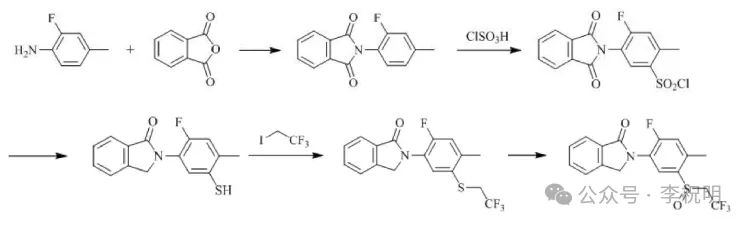
路线二:以2-氟-4-甲基苯胺和苯酐为起始原料,经缩合、磺化、还原、烷基化、氧化5步反应生成最终产物吲哚螨砜。合成路线如下:

可选择与阿维菌素、乙螨唑、苯丁锡、乙唑螨腈、螺螨酯、联苯肼酯、吡螨胺、灭螨醌、唑醚螨腈、环己螨酯、螺甲螨酯、氟螨啶、异噁唑虫酰胺、氟虫碳酸酯、氟吡甲酰胺等复配。
三氟乙硫醚(亚砜)类杀螨剂是目前市场上最火爆的杀螨剂,吲哚螨砜具有后发优势,引入亚砜和吲哚环,能提高多种生物靶标的结合能力,提高稳定的防效和持效期。同时,吲哚环上的多个位置还可进行定向化学修饰,这为构效关系研究和活性优化提供了巨大空间,通过引入不同官能团,还可以精细调控分子的电子分布、logP值、代谢稳定性等。
合成方面,目前报道路线所涉及中间体都已商品化,且报道路线收率较高,没有危险反应,适合工业化生产。后续,吲哚螨砜还需完成田间试验、毒性评价、环境行为研究,合成放大、登记等一系列开发流程,漫长的时间投入可能存在同类产品的交互抗性风险,这是企业可能面临的最大挑战。



声明

点击“阅读原文”查看更多


