
2025年11月,MI “绿色电力未来” 使命(Green Powered Future Mission,GPFM)联盟于第三十届联合国气候变化大会(COP30)期间,重磅发布2025年GPFM《全球创新优先事项深度洞察报告》。
洞察报告由MI中方秘书处牵头组织,联合来自中国科学院电工研究所、中国电建西北院等国内重点科研单位,以及意大利、英国、西班牙、澳大利亚、加拿大等国家的四十余位专家完成编写。报告围绕GPFM全球创新优先事项(Innovation Priorities, IPs)开展系统性技术综述,汇聚国际前沿观点与实践经验,累计收录全球五十余个典型示范案例,内容涵盖综合可再生能源系统、AI赋能可再生能源、电网灵活性、生态友好型光伏系统等关键技术方向,旨在加速清洁能源可行性研究与技术创新。
报告将于MI公众号进行专题连载,本期主题为“提升电网灵活性的工具与解决方案”。

在全球能源转型进程的推动下,可再生能源的整合发展、交通与供暖的大规模电气化,以及分布式能源资源(Distributed Energy Resources, DERs)的快速发展,已成为能源转型的核心驱动力。然而,可再生能源的波动性和间歇性、发电与用电模式的复杂化、大量活跃分布式资源的随机性以及双向潮流的出现,均对电网运行的稳定性及适应性带来了重大挑战。电网灵活性作为应对这些挑战的必备关键能力,对于缓解电力系统局部阻塞、维持电压稳定至关重要。本报告围绕先进自动化控制系统、市场灵活性与商业模式、储能及创新技术,系统梳理了增强输电与配电系统灵活性的创新技术、关键路径及解决方案,汇集了全球不同场景的实践案例,为解决局部电网拥堵、电压越限、可再生能源弃电等问题提供可行解决方案。
一、先进自动化控制系统
随着可再生能源和DERs(如电动汽车基础设施、储能系统等)渗透率的不断提高,电网复杂性显著上升。与之相适应,用于电网运行调控的现代控制系统需要具备三大核心功能:一是实时监控,通过实时监测获取电网电压、频率、负荷变化、设备状态等高精度数据,帮助运营商及时发现异常并快速响应;二是智能算法,利用机器学习、人工智能等技术,能够全面挖掘海量数据价值,识别运行模式、预测设备故障、优化电网性能从而降低运维成本与停机时间;三是自动决策,依托实时监测与智能分析,快速实现网络拓扑重构、潮流优化、需求响应等操作,保障电网在源荷波动条件下的稳定运行。
中国应用案例:风光发电系统的灵活性提升技术
风电与光伏已成为中国第二大电源,现有电力电子变换器和风电机组多基于强电网设计,采用固定的变流器拓扑与控制策略,难以适应高比例新能源接入与能源资源的大幅波动。研发风光发电变结构拓扑及多变流器协同控制技术,成为提升风光发电系统灵活性的重要手段。
• 风光变流器柔性变结构拓扑
本案例研究提出了一种基于熵权法的风光变流器灵活性评估方法,并在此基础上设计了6种新型柔性变结构拓扑。通过柔性开关器件实现拓扑结构的无缝重构,以适配电网动态需求。该拓扑的暂态过流能力从额定电流的1.3倍提升至2.6倍,显著提升了电力电子器件的利用率与发电单元灵活性。在无缝切换控制策略下,所提柔性变结构拓扑可在10毫秒内完成柔性模块的快速切换,解决了风光发电结构和容量固定、难以灵活应对自然资源和电网功率需求大范围变化的难题。

图1 风光并网变流器的柔性变结构拓扑及实验样机
• 风光发电系统资源尽限利用的多机协同灵活控制技术
传统风光发电单元在故障暂态或电网强度剧烈波动下难以尽限利用可控资源支撑电网。针对这一问题,本案例提出了风光发电系统资源尽限利用的多机协同灵活控制技术。在故障暂态期间,基于可控状态快速辨识的自适应协同穿越控制技术,使故障穿越无功支撑能力相较传统方法提升≥76.40%;在故障恢复期间,发明了场站跟/构网可切换单元配置技术,提出频率快速响应和电压主动支撑协同优化方法,实现风光场站在短路比1~26.35下稳定运行,解决了弱电网风光发电系统灵活支撑能力不足的难题。

图2 风光发电系统多机协同控制实验平台
英国应用案例:国家电网SPEED与BRIDGES创新项目
为提升电网效率、供电可靠性与韧性,英国国家电网启动了增强型配电仿真与优先级规划项目(Simulation and Prioritisation for Enhanced Electric Distribution, SPEED)以及构建韧性和智能动态电网增强系统项目(Building a Resilient and Intelligent Dynamic Grid Enhancement System, BRIDGES)。
• SPEED项目已研发出一套基于地理信息系统(Geographic Information System, GIS)的分析平台,整合了馈线级负荷预测数据、DERs项目信息及经济模型分析功能,可定制化展示电力负荷影响,并仿真模拟各类新型非线路替代方案(Non-Wire Alternatives, NWAs)对电网产生的影响,从而简化采购流程。该项目预计五年内可节约350万至400万美元的成本。
• BRIDGES项目开发了新一代动态系统评级(Dynamic System Rating, DSR)解决方案,将多种电网增强技术(Grid-Enhancing Technologies, GETs)整合到统一的控制架构中,可有效缓解电网拥堵、提升输电能力,同时大幅减少对大规模、高成本电网加固工程的依赖。通过降低电网阻塞成本与弃电成本,预计在15年内可为终端用户带来约7600万英镑的经济效益,并大幅提升电网的调节灵活性与抗干扰能力。

图3 引自美国EPRI《灵活并网容量解决方案的价值表征》研究报告
二、本地化市场与创新商业模式
随着DERs的普及,电网管理模式正从集中式向去中心化转型。构建本地灵活性市场与创新商业模式,通过市场化激励激活用户与DERs参与电网调节,是释放分布式灵活性潜力的关键。本地灵活性市场为特定区域提供灵活交易平台,针对性地解决配网阻塞、电压越限等问题;创新商业模式则有助于聚合分散资源,形成规模化调度能力,并为用户提供能源自治、成本节约与额外收益等多重价值。
意大利应用案例:MiNDFlex 配电网络灵活性市场平台
2021年,意大利能源监管局批准开展面向配电系统运营商(Distribution System Operators, DSOs)的地方辅助服务市场试点,推动了配网灵活性市场建设。由意大利Unareti配电公司发起、意大利能源系统研究所(RSE)提供科研支持的MiNDFlex项目,在米兰落地实施了一套本土化的地方灵活性市场架构体系,整体框架如图4所示。项目通过现场测试积累了丰富的实操经验,为配网阻塞与电压越限问题提供了市场化解决方案。
• DSOs技术平台:通过算法预测电网状态,识别拥堵、电压越限等风险,并向市场平台发送灵活性需求;
• 市场平台:负责匹配需求与平衡服务提供商(Balancing Service Providers, BSPs)的供给方案,完成价格核算及结算;
• BSPs平台:分布式资源注册与信息管理;
• 灵活性数据库:存储资源基础数据与调度指令。

图4 MiNDFlex项目市场架构
三、储能与创新技术
随着可再生能源在全球电力系统中的占比持续攀升,实时平衡电力供需的能力对维持电网稳定性和可靠性变得愈发关键。储能系统可在发电高峰存储电能、低谷释放,有效平抑功率波动、降低电网运行风险,是解决可再生能源波动性、提供快速响应调节服务的核心资产。除储能技术外,电网灵活性提升还需依托电力电子设备、需求侧响应等创新技术,共同构建多元灵活的电网支撑体系。
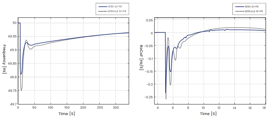
意大利案例:风电参与调频的硬件在环(Power Hardware-in-the-Loop, PHIL)仿真测试平台

图5 不同场景下系统频率(左)与频率变化率(右)随时间的响应
谐波、间谐波及高频噪声对电网构成多层面威胁,可能导致设备过热、网损增加甚至引发火灾。可再生能源综合系统(Integrated Renewable Energy System, IRES)谐波治理方案包括无源滤波、有源滤波和混合滤波等。典型案例如德国西门子有源滤波器采用多电平拓扑和自适应算法,将柏林工业园总谐波畸变率从7.2%降至2.3%。
西班牙应用案例:CEDER-CIEMAT 智能微电网灵活性试验平台
西班牙可再生能源中心-西班牙能源、环境与技术研究中心(CEDER-CIEMAT)建设了一套智能微电网试验平台,集成了370kW光伏、165kW风力发电及总容量超1000kWh的多种混合储能系统。该平台整合了可再生能源发电、储能、用电负荷及电动汽车充放电设施,依托自动化能源管理系统实现协同运行。平台成功实现以下功能:零上网功率运行,动态匹配本地发电与负荷、储能需求,避免向主网反送电力;最大化自发自用率,协调电化学、机械、液压等储能充放电,提升可再生能源就地消纳比例;通过需求响应与储能协调控制实现削峰填谷;优先利用可再生能源为电动汽车充电,并支持车辆到电网(Vehicle-to-Grid, V2G)功能。该项目为智能微电网规模化应用提供了成熟的案例支撑。目前,项目正推进人工智能技术在可再生能源预测、储能调度与设备预防性维护中的应用,未来旨在实现微电网高度能源自给,打造可持续智慧灵活能源系统标杆。

图6 CEDER-CIEMAT 智能微电网灵活性试验平台
五、结论与展望
面对现代电力系统电网复杂性提升、电力系统发展面临的电网阻塞、电压稳定等电网灵活性提升的核心挑战,需从多维度采取举措:一是发展融合实时监测与智能算法的先进自动化控制系统,以实现动态电网优化、预测性维护和高级故障检测;二是建立有效的本地市场与创新商业模式,通过经济激励充分释放DERs灵活性潜力,使资源从被动接入转为主动参与;三是部署储能技术与其他智能设备等创新解决方案,以快速平衡功率、维持电网稳定。未来,创新技术路径、市场模式与前沿方案的有机结合,将为构建更具韧性、高效与可持续的能源系统奠定坚实基础。
专题作者
Ken Chadha:加拿大Alectra电力公司
Mattia Cabiatì:GPFM技术方向2负责人、意大利RSE国际交流合作负责人
Omar Pasqualotto:意大利RSE国际交流合作技术助理
Oscar Izquierdo Monge:西班牙CIEMAT研究员
María Izquierdo Sanz:西班牙CIRCE基金会项目管理部负责人
Leon Nielsen:西班牙CIRCE基金会项目经理
Tim Gregory:英国国家电网公司脱碳项目经理
毕天姝:华北电力大学教授、校长
贾科:华北电力大学教授
张兴:合肥工业大学教授
技术顾问委员会
Yibo Wang:GPFM技术方向1负责人、中国科学院电工研究所可再生能源发电部主任、研究员
Mattia Cabiati:GPFM技术方向2负责人、意大利RSE国际交流合作负责人
Craig Fraser:GPFM技术方向3负责人、英国能源安全与净零部
编辑委员会

MI中方秘书处
受国家科技部国际合作司委托,中国科学院电工研究所于2019年成立MI中方秘书处,支撑我国参与MI部长级会议合作机制,并履行相关管理职责
来源:MI官网
https://explore.mission-innovation.net/mission/green-powered-future/
本篇为本系列连载第二期,后续将陆续发布更多洞察报告,涵盖可再生能源前沿领域的深度分析,为您提供高质量的技术解读与行业资讯,敬请关注。
下载英文版报告全文:扫描文章底部二维码,关注并进入“创新使命”微信公众号,发送“电网灵活性”,即可获得全文下载链接及提取码。
往期推荐
专题报告 | 《GPFM创新优先事项深度洞察报告》专题连载第一期——综合可再生能源系统新型控制架构
专题报告 | 《GPFM创新优先事项深度洞察报告》专题连载第二期——具有工业化潜力的新兴光伏技术




