
为全面掌握我国肉牛养殖多发常见腹泻病原感染情况,2025年国家肉牛牦牛产业技术体系细菌病防控岗组织18个体系试验站和8个一线企业和地方科研单位,开展了涵盖20个代表性养殖地区腹泻疾病的综合诊治工作,旨在通过临床诊断与病原检测,对肉牛腹泻疾病综合防控起到积极作用。现将主要情况报告如下:
一、整体情况摘要
通过对全国20个代表性养殖区域595份各类肉牛腹泻典型临床样本进行病原检测和耐药性调查分析,结果表明造成腹泻细菌性病原以大肠杆菌O157:H7的检出率最高(73.28%),病毒性病原以牛冠状病毒(BCoV)的检出率最高(52.60%)。细菌、病毒混合感染占比62.18%,多重混合感染突出。药敏分析发现阿莫西林-克拉维酸等4种药物敏感性较高;阿莫西林等6种药物较为耐受。林可霉素在16个地区均耐药,甲硝唑等4种药物在70%以上的地区耐药风险较高。综合分析,我国肉牛腹泻疾病细菌、病毒混合感染占主导,且感染重数越高,细菌与病毒混合感染的趋势越突出。大部分地区细菌阳性率高于病毒阳性率,但病毒性病原具有更强的地域聚集性和区域特征,呈空间异质性与局部聚集并存。同时,由于饲养管理细节导致的发病情况较多,存在较为明确的场间差异和地区差异。防治措施方面,重复用药、多药联合、随意加大剂量给药等情况非常突出,造成严重的耐药性问题。
二、工作开展情况
20个发病牧场进行实地疾病防控诊断与病原检测,共采集肛拭子样本588份,粪便样本7份(见表1)。
表1 2025年度采集样本信息

按临床表现纳入腹泻病例的临床样本来自安徽合肥、贵州毕节、河北石家庄、黑龙江哈尔滨、内蒙古通辽、山东济南、四川红原、云南昆明、河北保定、江西萍乡、吉林白城、新疆阿勒泰、湖南娄底、河北邢台、新疆利民合作社、新疆呼图壁、新疆布尔津、新疆博乐、新疆吉木乃及石家庄某牛场等20个地区/单位。主要采样地区及对应的典型临床发病表现汇总见表2。
表2 病例背景信息(部分地区因提供或信息不全这里只列举部分)

三、腹泻样本检测情况及药敏结果分析
3.1样本总体检测情况
3.1.1 总体病原阳性率
595份以临床腹泻症状样本细菌性病原检测结果显示,大肠杆菌O157:H7、产志贺毒素大肠杆菌、产气荚膜梭菌、奇异变形杆菌、空肠弯曲菌、牛副结核分枝杆菌、沙门菌的检出率分别为73.28%、49.24%、21.85%、16.30%、2.86%、1.34%、0.67%,其中大肠杆菌O157:H7的检出率最高(见图1);病毒性病原检测结果显示,牛冠状病毒、牛病毒性腹泻病毒、牛轮状病毒、牛肠炎病毒F型、牛诺如病毒、牛细小病毒、牛纽布病毒的检出率分别为52.60%、49.92%、10.59%、8.91%、5.21%、3.03%、0.17%,其中牛冠状病毒的检出率最高(见图2)。

图1 595份腹泻样本细菌性病原阳性率

图2 595份腹泻样本病毒性病原阳性率
3.1.2 感染类型分布
对腹泻样本进行感染类型分析,将其分为无感染、仅细菌感染、仅病毒感染及细菌+病毒混合感染四类。结果显示,在腹泻样本中,细菌+病毒混合感染占比最高(62.18%),为主要感染类型,其次为病毒感染(22.69%)、细菌感染(12.10%),无感染占比仅3.03%。提示在临床肉牛腹泻病例中,多病原共同参与的情况更为普遍,应在诊疗与防控中关注细菌与病毒的联合监测与综合干预(见图3)。

图3 腹泻样本总体感染类型分布
3.1.3 重感染负担
对所有样本检出病原个数(感染重数)进行统计分析,结果显示,平均感染重数为2.94,中位数为3,整体以2-4重感染为主,提示腹泻病例普遍存在多病原共同参与的情况。随着感染重数的增加,感染类型结构发生明显变化:3重及以上感染中,细菌+病毒混合感染占绝对优势,呈现出典型的“细菌-病毒交叉共感染”特征,6重以上的高重感染占极少数,属于偶发事件。总体表明,目前肉牛腹泻在病原学层面以多重混合感染为主要特点,且感染重数越高,细菌与病毒协同/叠加感染的趋势越突出(见图4)。

图4 肉牛腹泻样本病原检出重数分布及感染类型构成
进一步对病原阳性样本进行分析,共检出135种不同感染情况。按出现频次排序,排名前5的组合依次为:大肠杆菌O157:H7+产志贺毒素大肠杆菌+牛冠状病毒+牛病毒性腹泻病毒(10.42%)、大肠杆菌O157:H7(7.70%)、牛冠状病毒+牛病毒性腹泻病毒(6.00%)、大肠杆菌O157:H7+产志贺毒素大肠杆菌(5.80%)、 大肠杆菌O157:H7 +牛冠状病毒+牛病毒性腹泻病毒(3.30%)。具体对每一重感染种优势组合进行分析,上述结果提示,优势组合以大肠杆菌相关病原与冠状病毒/病毒性腹泻病毒为主的共同参与,混合感染为主,单一病原感染比例较低,多数病例涉及2种及以上病原的叠加或协同作用。
3.2 不同地区病原感染情况
不同地区腹泻样本细菌和病毒性病原阳性率差异明显(见图5)。细菌阳性率方面,合肥、毕节、哈尔滨、萍乡和布尔津均达100%,提示这些地区以细菌相关感染负担更突出,通辽、昆明和石家庄某牛场病毒阳性率100%,病毒相关风险更高。总体来看,多数地区细菌阳性率高于病毒阳性率,而昆明和石家庄某牛场以病毒感染为主,可能与当地流行病原、检测批次等因素有关。相较之下,红原地区病毒和细菌阳性率均处于较低水平,整体感染压力较低。

图5 各地区腹泻样本细菌vs病毒阳性率对比
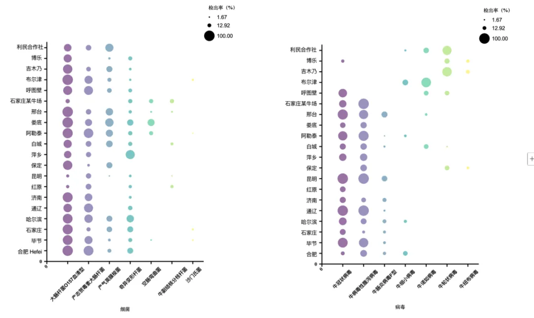
不同地区具体病原检测结果见图6。综合热图及MCA结果显示,不同地区的细菌检出率(χ²=1799.661,p<0.01)和病毒检出率(χ²=3657.259,p<0.01)存在显著差异,提示各地区的病原谱存在显著空间异质性(见表3-4)。为进一步突出不同病原在区域内的聚集特征,采用气泡图分别展示细菌和病毒在各地区主要病原的检出率,突出区域聚集特点与优势病原分布(见图7)。细菌病原中,以大肠杆菌O157:H7、产志贺毒素大肠杆菌为代表,多数地区维持较高检出率,具有普遍流行特点。而沙门菌、空肠弯曲菌等在多数地区检出率较低,呈现局部存在的分布格局。病毒的地域差异更为突出。牛冠状病毒、牛病毒性腹泻病毒在昆明、通辽、邢台和阿勒泰地区显著高值,而在其他地区检出较低。布尔津、吉木乃和利民合作社牛轮状病毒为主要流行病毒。比较而言,病毒较细菌具有更强的地域聚集性和区域特征。

图6 不同地区病原阳性检出率热图

图7 细菌及病原检出率气泡图
表3 不同地区细菌性病原阳性检出率的MCA结果

a,显著性水平基于114自由度的卡方检验;-未提供
表4 不同地区病毒性病原阳性检出率的MCA结果

a,显著性水平基于114自由度的卡方检验;-未提供
根据MCA双标图结果,细菌性病原中,牛副结核分枝杆菌、奇异变形杆菌坐落于第二象限,显示在红原、石家庄某牛场、萍乡、昆明检出率较高。空肠弯曲菌坐落于第三象限,显示在娄底检出率较高。产志贺毒素大肠杆菌、沙门菌坐落于第一象限,显示在合肥、济南、布尔津、毕节、博乐、通辽、呼图壁、石家庄、哈尔滨、检出率较高。大肠杆菌O157:H7、产气荚膜梭菌坐落于第四象限,显示在吉木乃、保定、邢台、白城、阿勒泰、利民合作社检出率较高(见图8)。病毒病原牛冠状病毒、牛病毒性腹泻病毒、牛肠炎病毒F型坐落于第四象限,显示在石家庄、通辽、济南、毕节、哈尔滨、合肥、白城检出率高。牛诺如病毒、牛细小病毒坐落于第二象限,显示在布尔津、呼图壁检出率高。牛轮状病毒、牛纽布病毒坐落于第三象限,显示在吉木乃、保定、博乐、利民合作社检出率高(见图9)。

图8 不同地区与7种细菌阳性检出率的MCA双标图

图9 不同地区与病毒阳性检出率的MCA双标图
3.3 腹泻样本药敏分析
整体药敏结果如表所示,不同药物之间存在明显的“敏感-低敏”分层,阿莫西林-克拉维酸、庆大霉素、新霉素、恩诺沙星平均抑菌圈较大,整体敏感性较高;阿莫西林、链霉素、大环内酯类、泰乐菌素、林可霉素和甲硝唑抑菌圈整体偏小,耐受信号更为突出(见表5和图10)。从地域分布看,热图及抗菌药物敏感分布图进一步揭示了药物的空间异质性,新霉素及庆大霉素在多数地区维持较高水平,阿莫西林-克拉维酸和头孢噻呋以中度敏感占比为主,提示其临床有效性可能受地区差异影响;而林可霉素在16个地区均耐药,甲硝唑、泰乐菌素、四环素和红霉素在70%以上的地区耐药风险较高,构成当前肉牛腹泻相关细菌群体药敏谱的主要特点(见图11)。
表5 整体样本抗菌药物抑菌圈结果汇总


图10 16个地区抗菌药物抑菌圈大小热图

图11 抗菌药物整体地区敏感分布
对各地区不同抗菌药物药敏结果进行汇总,并叠加细菌阳性率、混合感染率及平均感染重数,以综合分析区域药敏谱与病原感染特征(见图12)。结果显示,各地区的药敏谱以“高敏+低敏”占比为主,昆明、白城和邢台高敏抗菌药物占比超过50%,整体耐药压力较低,而合肥、哈尔滨、保定及娄底低敏抗菌药物占比在60-80%,耐药风险较高,用药可选择性可能受限。
结合病原学指标可见,在细菌阳性率或混合感染率较高的地区,低敏抗菌药物占比往往同步升高,且平均感染重数相对更高,反映出在多病原叠加、细菌与病毒混合感染背景下,细菌群体对多类抗菌药物的抑菌反应可能出现整体减弱趋势;部分地区(白城、邢台)虽存在较高细菌阳性率,但高敏占比相对较高,细菌感染相对更可控。总体而言,各地区在病原负荷与药敏表型上并非简单线性同步变化,应结合地区病原谱与药敏分层,制定差异化用药和监测策略,并对低敏占比高且混合感染/重数较高的地区进行重点监测,以提高精准防控与合理用药水平。

图12 不同地区抗菌药物敏感性构成与病原感染指标水平对比
四、主要问题和风险研判
4.1病原谱复杂,混合感染占主导
病原构成复杂且混合感染为核心特征,腹泻样本中细菌、病毒混合感染占比62.18%、为首要感染类型,平均感染重数分别为2.94,以2-4重感染为主,3重及以上感染中细菌、病毒交叉感染占绝对优势,单一病原感染占比极低。复杂的病原构成与高比例多重混合感染,使临床表现不典型、诊断难度增加、治疗失败与病程反复风险上升,并可能提高急性死亡发生风险。
4.2地区差异显著,病原谱呈空间异质性与局部聚集并存
各试验站所在地区的病原谱和耐药特征差异明显,且无明显地域规律,细菌中大肠杆菌O157:H7在多地保持较高检出,具有广泛流行特征;病毒中牛病毒性腹泻病毒、牛冠状病毒更易形成区域优势谱。比较而言,病毒较细菌具有更强的地域聚集性和区域特征,区域优势病原若未被识别和干预,或沿用传统经验性防控手段,可能导致治疗失败率上升,养殖成本增加、甚至引发区域性疾病发生,对产业经济效益造成影响。
4.3抗菌药物耐药问题突出,治疗选择受限
药敏结果显示,多类常用药物在部分地区出现普遍低敏/耐药信号(如β-内酰胺类、部分大环内酯类等),且不同地区药敏谱差异明显,提示长期经验性用药、重复用药或不规范联合用药可能推动耐药谱分化。在混合感染背景下盲目经验用药,易导致疗效不佳、疗程延长及用药成本上升,并进一步加重耐药风险。各牧场应注重结合本牧场实际用药经验和用药史,加强常用药物药敏监测与分层用药策略,有针对性的用药,提高临床疗效。
4.4养殖管理与生物安全短板仍是发病的重要驱动因素
多地病例与运输应激、圈舍通风保温、清粪消毒、犊牛初乳管理、分群隔离和环境湿度控制等环节密切相关。管理薄弱叠加高病原负荷与混合感染,可放大群体传播效率并引起聚集性发病。
五、相关对策和建议
5.1. 建立常态化病原监测-分析-预警体系,形成区域病原与耐药数据库
依托现有试验站、养殖企业及地方科研单位,统一采样与检测流程,建立覆盖主要养殖区的牛病病原监测网络,围绕腹泻疾病核心病原开展定期监测,同步统计感染类型、感染重数、优势病原分布等关键指标,重点跟踪喹诺酮类、氨基糖苷类、β-内酰胺类等常用药物的敏感性变化,建立可追溯数据库并定期发布监测报告,为精准防控提供数据支撑。
5.2. 推动防控策略由“一病一策”向“一区一策+优势病原”转变
鼓励各地根据本地病原谱和耐药特征,制定差异化防控方案。对病毒优势区优先开展针对性免疫与传播阻断,细菌高负荷地区强化养殖管理和疾病综合防控。对混合感染率高、平均重数高且低敏占比高的地区,优先开展药敏试验指导用药与现场技术干预。针对整体感染压力较低的地区,以常态化监测和预防性防控为主,避免过度用药。
5.3. 强化抗菌药物使用管理,推广精准用药
推动牧场建立抗菌药物使用台账与疗效反馈机制,严控不必要的联合用药、重复与大剂量用药,避免使用未获兽用批准的人用药物;鼓励开展药敏试验指导下的精准用药,将药敏试验作为临床用药的必要前提,优先选用高敏感性的药物,逐步淘汰林可霉素、青霉素、阿莫西林等普遍耐药药物。对疗效不佳病例及时复检病原与复测药敏,形成“检测—用药—复盘”的闭环。
5.4. 加强中兽药和替抗产品的应用
鉴于病原混合感染普遍存在,单一抗菌药物很难解决问题,疫苗免疫保护率不高等问题,在预防和治疗中可以结合临床精准辨证对症治疗,对感染程度较重或疑似细菌继发感染的病例,可在明确诊断与药敏指导下,将中兽药/替抗产品与必要的抗菌药物进行合理联用,以提高疗效、缩短病程并降低复发风险。
5.5 牧场管理与生物安全强化
坚持“预防前移”,将发病风险控制在养殖关键环节。强化引种隔离观察、优化圈舍通风与温湿度控制、保持舍内干燥并规范垫料管理、落实分群饲养与病弱牛隔离、加强清粪消毒、饮水与环境卫生;在高风险季节或高发牧场严格人员与车辆进出及动线管控,减少交叉污染,降低场内传播风险。
参加此项工作的试验站:安徽合肥试验站、贵州毕节试验站、河北石家庄试验站(石家庄、邢台采样)、黑龙江哈尔滨试验站、内蒙古通辽试验站、内蒙古乌拉盖试验站、山东济南试验站、四川红原试验站、云南昆明试验站、江西萍乡试验站、吉林白城试验站、湖南涟源试验站、新疆阿勒泰动物疫病预防控制中心、四川某牛场、石家庄某牛场、河北奥奈特肉牛种业有限公司、河北保定试验站、新疆农业大学(新疆博乐、布尔津、吉木乃、呼图壁和利民合作社采样)。
参与此项工作的人员:
中国农业大学:郝智慧、张晓松、陈卓、陈婷婷、赵奥天、常腾辉、张梦迪、于文娜
萍乡综合试验站:金相云
新疆农业大学:韩俊成、马雪莲、姚刚、钟旗
白城综合试验站:谷月
合肥综合试验站:徐磊
毕节综合试验站:王明进
保定综合试验站:肖阳
石家庄综合试验站:赵增元
哈尔滨综合试验站:王洪亮
通辽综合试验站:仝林
乌拉盖综合试验站:郝剑刚
济南综合试验站:成海建
红原综合试验站:官久强
昆明综合试验站:张继才
涟源综合试验站:李付强
河北奥奈特肉牛种业有限公司:李树静
新疆阿勒泰动物疫病预防控制中心:李鑫
四川某牛场:李珠峰
石家庄某牛场:李卫东


