在评估国内版《男人装》(FHM China)自2004年创刊至2025年的性感指数时,本报告将“狭义性感”确立为核心评价尺度。所谓的狭义性感,是指媒介内容通过特定的视觉呈现,直接作用于男性受众的生理本能,旨在诱发即时的心理兴奋感与强烈的感官刺激。这种刺激主要通过皮肤暴露比例、身体曲线的勾勒、暗示性动作语汇以及具有高度性吸引力的光影处理来实现。它排除了抽象的艺术美感或广义上的女性独立精神,而聚焦于一种“男性视角下的视觉消费品”属性。
作为英国《FHM》在中国的特许出版物,《男人装》在进入中国市场之初,便承担了在相对保守的媒介环境中探索“性感边界”的任务。通过对2004年至2025年间该杂志的封面演变、专题策划、暴露尺度及文化定位的深度追踪,可以发现其性感指数呈现出一个显著的倒U型曲线。这一演变反映了纸质媒体在数字化浪潮、监管环境、性别意识形态下的生存挣扎。
视觉启蒙与感官红利期(2004–2008)

2004年,国内传媒市场尚未出现针对男性群体的、成体系的感官消费读物。当《男人装》以“全球百大性感女性”为标志性旗帜进入市场时,其性感指数瞬间达到了历史性的高位 。这一时期的核心策略是将成熟的国际化视觉语汇——如高对比度的影棚布光、具有冲击力的特写构图以及极具诱惑力的服装搭配——直接引入本土。
在2004年的创刊初期,杂志通过“全球100位最性感女性”增刊,确立了其作为男性欲望引导者的地位。当时的性感指数之所以极高,是因为它填补了大陆主流媒体在“感官刺激”领域的巨大空白。对于当时的男性受众而言,封面上女星的暴露尺度以及充满暗示性的眼神,提供了一种前所未有的心理刺激。
标志性视觉语言与尺度突破

从2004年到2007年,杂志的性感指数表现为一种“无畏的探索”。此时的暴露尺度通常维持在泳装、内衣乃至极致的肢体遮挡之间。关键在于,其构图逻辑完全遵循狭义性感的原则:通过强调胸部、腰臀曲线以及光泽的皮肤质感,实现对感官的直接轰炸。2007年阿朵的封面专题被广泛认为是这一时期的巅峰,不仅因为其皮肤暴露面积之大,更因为其动作设计中蕴含的强烈生命欲望,这在当时的出版环境下具有极强的震撼力。
明星效应与权力博弈的平衡期(2009–2013)

女星的去神圣化与视觉赋能
进入2009年后,《男人装》不再满足于使用职业模特,而是开始大规模邀请国内一线女星参与拍摄。这一转变对性感指数产生了复杂的双向影响。一方面,范冰冰等顶级女星的加入极大地提升了杂志的商业溢价和话题度 ;另一方面,明星为了维护个人品牌形象,往往会对暴露尺度提出更严格的底线要求。
然而,编辑团队通过精湛的“叙事性感”化解了这一矛盾。即使物理暴露面积有所减少,但通过对女星进行“去神圣化”的处理——如让她们置身于厨房、修车厂或极具生活气息的场景中——反而增强了对普通男性的心理刺激。这种“触手可及”的幻觉,比单纯的裸露更符合狭义性感的心理投射逻辑。
2012年的风向转换
2012年是一个关键的节点。虽然该杂志在此时依然能够产出如范冰冰十周年纪念刊等高指数作品,但监管层面对色情与低俗内容的清理行动已经初现端倪。随着“扫黄打非”行动对网络及纸媒尺度的收紧,杂志开始有意识地在“视觉冲击力”与“政策安全性”之间寻找平衡点。
在这一阶段,性感指数虽然由于明星的加入而保持了高热度,但在“物理暴露尺度”这一核心指标上已经开始呈现缓慢下降的趋势。为了弥补这种下降,杂志引入了更多艺术化的灯光和复杂的道具设计,试图用“美感”来对冲“快感”的流失。
数字化浪潮下的稀释与迷茫期(2014–2018)
内容结构的战术调整
随着移动互联网的全面爆发,短视频和各类社交媒体提供了比纸媒更直接、更高频的感官刺激。《男人装》原有的视觉垄断地位被彻底打破。为了在激烈的注意力竞争中生存,杂志开始对内容结构进行大幅度调整。
研究表明,在这一时期,性感美女板块在杂志中的占比被压缩至30%左右,而军事、科技、电竞、时尚和深度访谈的比例显著提升。这种内容的多元化实际上是对品牌核心竞争力的稀释。当男性读者翻开杂志时,他们需要通过大量的文字和非感官内容才能接触到传统的视觉刺激,这直接导致了“瞬时感官指数”的下滑。
监管高压与社交媒体禁令
这一时期,针对传播淫秽及低俗内容的打击力度达到了前所未有的强度。公安机关频繁通报的网络传播淫秽物品牟利案,为所有涉及性感内容的媒介划定了严厉的红线。
《男人装》官方微信公众号曾分别于2015年7月和2017年6月两度被封号,这成为该品牌性感指数的分水岭。
在严苛的平台审核机制下,杂志的视觉风格被迫向“时尚大片”靠拢。原本旨在诱发兴奋的动作和构图,被替换为冷淡的表情和全封闭的服装。狭义性感的定义在这一阶段开始发生异化,感官刺激让位于审美安全。
“后性感”时代的审美偏离与危机(2019–2025)
李雪琴事件:逻辑的彻底断裂

2021年,《男人装》为喜剧人李雪琴拍摄的一组写真,标志着其性感指数进入了历史低谷。这次策划的失败在于它彻底背离了“狭义性感”的基础逻辑。在男性视角中,性感建立在某种特定的身体符号和氛围之上,而杂志试图通过一种“影楼风”的、极具违和感的化妆和动作,将一个并不以性感为标签的知识分子强行塑造成“欲女”形象。
这次事件引发了读者的强烈不满,网友评价其“不仅不高级,反而显得廉价”。从狭义性感指数来看,李雪琴写真的得分为负数,因为它不仅没有提供兴奋感,反而通过一种尴尬的视觉呈现,消解了读者对该杂志专业审美的最后一丝信任。
男星登场与受众基础的位移

另一个导致指数下滑的因素是“装男郎”的频繁出现。范丞丞、张一山甚至郭德纲等男星开始占据封面或大篇幅版面 。虽然从商业多元化和拓展女性粉丝群体的角度来看这是一种聪明的策略,但对于追求狭义感官刺激的传统男性读者而言,封面上出现的男性形象是感官刺激的“绝对阻断剂”。
截至2025年,《男人装》的视觉呈现已经高度“文明化”和“去欲望化”。在当前的社会语境下,对女性身体的任何直白呈现都可能触及敏感的性别议题或法律红线。因此,杂志选择了全面撤退到“感性”和“生活化”的避风港。
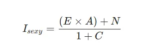
狭义性感指数的数学模拟与变量分析
为了更客观地量化这一二十余年的变迁,本研究引入一个简化的感官刺激指数模型:

其中:
E (Exposure): 皮肤暴露与曲线呈现程度。 A (Arousal Pose): 暗示性动作与眼神的强度。 N (Narrative Intensity): 视觉叙事的张力(如特定环境下的心理暗示)。 C (Censorship Weight): 监管与平台政策的约束权重 。
在2004-2007年期间,由于 C 极小而 E 和 A 极大, 指数维持在 9.0 以上。而到了2024-2025年,由于 C 的指数级增长以及 E 的大幅萎缩,即便在 N(叙事)上有所努力,最终的 I 依然难逃跌破 4.0 的命运。
历年核心数据比较与性感指数评分表
下表综合了封面主题、暴露比例、后期处理及社会反响,对各个阶段的性感指数进行综合评定。
感官消费终结
在当今环境下,《男人装》的性感指数已不再是其生存的核心指标。杂志转而追求一种“直男精神家园”的构建,内容涵盖从导弹精准度分析到啤酒品质测评的各个维度。这种转型虽然保住了杂志的生存权,但对于那些从2004年开始追随、渴望获得狭义感官刺激的受众来说,这无疑标志着一个时代的终结。
这种消减是全方位的:从物理暴露的退缩,到暗示性语汇的自我审查,再到受众心理预期的彻底转移。当性感从一种生理本能的释放转变为一种需要层层包装、甚至需要通过“自嘲”来呈现的文化符号时,其原初的刺激力便已丧失殆尽。
结论:关于感官权力的最终审视
《男人装》杂志二十余年的性感指数变迁,本质上是一场感官权力从“扩张”到“顺从”的演变过程。创刊初期的极高指数,源于媒体对男性欲望的公开承认与视觉赋权;而2025年的指数低点,则是由于在监管红线、审美疲劳以及商业转型压力下,杂志选择了放弃其作为“感官刺激媒介”的狭义职能。
如今,性感的定义已从“视觉的肉体”转向“感性的故事”,这种转变虽然符合现代社会的价值观和监管要求,但从狭义性感的指标来看,它无疑经历了一次漫长而彻底的衰落。未来的《男人装》或许依然是男性读者的良伴,但它那曾经令人心跳加速、充满原始张力的视觉时代,已随着纸媒的黄昏一同没入历史的尘烟之中。


