手机版
二维码
购物车
(
0
)
供应
求购
公司
团购
展会
资讯
招商
品牌
人才
知道
专题
图库
视频
下载
商圈
推广
热搜:
采购方式
甲带
滤芯
气动隔膜泵
带式称重给煤机
减速机型号
无级变速机
链式给煤机
履带
减速机
首页
供应
求购
公司
团购
展会
资讯
招商
品牌
人才
知道
专题
图库
视频
下载
商圈
首页
>
资讯
>
社会热点
企业估值的9个经典方法:找到“价值之锚”
日期:2026-02-03 20:32:02 来源:网络整理 作者:本站编辑
评论:0
企业估值的9个经典方法:找到“价值之锚”
梦想还是要有的,万一实现了呢。嗨,我是蜗牛。
聊起企业估值,大部分人都是劈头盖脸地扔出两个概念:绝对估值法和相对估值法。但估值实操的第一步,首先要回答一个根本问题:
对于眼前这家企业,究竟用什么经营指标来衡量它的价值最可靠?
是看它的盈利,还是资产?是关注销售额,还是实实在在的分红?
虽然书里反复强调“企业的内在价值是其未来现金流的现值之和”,但经典的DCF(自由现金流折现)模型参数繁多,实操中“差之毫厘,谬以千里”。所以,
今天我们就抛开复杂的理论,回归本质,梳理一套更接地气的估值方法体系
。
一、以盈利为锚:投资就是为了赚钱
以盈利为企业估值之锚是评估投资能赚多少钱
。很好理解,因为投资企业的目的就是为了赚钱,盈利多少直接决定了企业的估值。
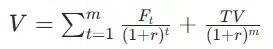
1.自由现金流折现估值法DCF
现金流折现法(DCF)是企业估值的绝对正确的公式,因为
“企业的内在价值就是未来现金流的现值之和”
。
其中,Ft为第t年的自由现金流,r为折现率(一般取加权资本成本或预期收益率),TV为终值。
经验告诉我们,公式越复杂、结果越不靠谱…公式从理论上很完美,但对于现金流未来增长率、折现率很敏感。所以,
自由现金流折现估值法只是告诉我们企业估值的思想,要追求“思想上模糊的正确”!
关于现金流折现估值法,详情可见
估值的圣杯:DCF现金流折现估值法(附实操)
。
2.市盈率PE法
市盈率PE=Price/EPS
,即股价/每股收益,反映投资回报的年限。
那PE是多少是合理的呢?这是个常见而又很重要的问题。
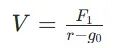
其实可以通过上述DCF法进行推导,假设企业现金流未来永续恒定增长g0,则企业价值公式可简化为:
假设再投资率为b,则:
自由现金流F1=净利润*(1-b)
增长率g0=b*ROE
股,
企业价值/净利润=(1-g0/ROE)/(r-g0)=PE
。
即PE主要受折现率r、增长率g0和ROE影响。
折现率r(反映风险)越高,PE越低;增长率g0越大,PE越高;ROE越高,PE越高
。例如r=10%,增长率g0=3%,ROE=10%,则PE=(1-3%/10%)/(10%-3%)=10倍。这与我们经验相符,但来源其实是这里。
格雷厄姆在计算市盈率时,
不使用上一年的收益,而是采用过去3年的平均收益
,以平滑经济周期的影响,体现其保守态度。他对市盈率本身设定了严格的上限:
市盈率不得超过15倍。
3.PEG法
PE估值法忽略了企业的成长性,所以传奇基金经理彼得·林奇大力推广使用PEG估值法,即:
PEG=PE/G,G=利润增长率*100
该指标在PE静态估值基础上引
入动态增长因素,
适用于成长型企业估值。通常认为PEG=1估值合理(即20%增长率的企业PE为20倍),PEG>1表明股价高估,PEG<1表明股价低估
。
二、以净资产为锚:资产是盈利的基石
以净资产为企业估值之锚是在分析什么情况下才能不亏钱
。也不难理解,因为资产是盈利之本,而且资产的可预测性更高、波动也更小。
4.净资产价值法NAV
通过计算企业
资产市场价值的净值
,来估计企业的价值。
资产净值NAV=总资产市场价值-总负债市场价值
常用于对房地产、石油、采矿等拥有大量实物资源储备行业的通用估值方法。
净资产客观易计算,但忽略无形资产和盈利成长性,依赖
公允价值(市场价值)评估
的准确性。
5.重置成本法
这个方法问的是:在今天,
重新建造一个一模一样的企业需要花多少钱?
它计算了所有直接、间接成本及合理利润。然而,企业的品牌、客户关系、商誉等无形资产难以被“重置”。
因此,
重置成本法常被视为企业价值的底线参考
,而非全部。
6.市净率PB法
相比于净资产价值法NAV,更常用的是市净率PB法。
市净率PB=Price/Book Value
,即股价/每股账面价值,反映每股实际拥有的资产是多少。
这种方法直接采用资产负债表中的账面价值(净资产),不受主观评估的影响,一般认为PB<1可能低估。
格雷厄姆将PB法和PE法相结合,提出了一个著名的复合筛选标准:市净率PB与市盈率PE的乘积不应大于22。
对于金融、周期类、重资产型行业,PB法具有重要的参考价值。
三、以股息为锚:真金白银的回报
以股息为企业估值之锚,也有重要的价值,
股息是投资者从企业直接获得的现金流,而且股息是投资回报的重要组成
。“持股收息”也是一个重要的投资策略。
7.股利折现估值法DDM
DDM是DCF的一个特例,
它将未来所有股息折现来评估价值
,即计算公式中的现金流就是股息。
由于DDM法需要预测未来的股息及其增长率,所以
仅适用于分红比例高、且现金流平稳的企业
,如公用事业股票。
8.股息率法
更直接的指标是
股息率=每股股息/股价
。
将其与十年国债收益率对比,
若基于盈利分红产生的股息率持续高于国债利率,就意味着即使股价不涨,每年也有股息率的收益率
。对于非衰退行业,股息率>5%,一般都是持股收息的不错目标。
然而,以股息率为锚,
需要评估股息率的可持续性
,其实也是对企业未来盈利的分析。
四、以销售额为锚:为未来潜力定价
对于尚未正常盈利的企业(如许多科技初创公司),常用的一个方法是根据销售额评估企业价值。
9.市销率PS法
对于利润为负或微利的成长阶段企业,PS=市值/销售额 是一个常用指标
。它关注的是收入规模和市场份额的增长潜力。但使用时需格外谨慎,必须结合企业的盈利路径和毛利率水平一同分析。
写在最后:估值是综合艺术,而非单一公式
必须强调的是,上述方法绝非孤立使用。正如格雷厄姆在《聪明的投资者》中所强调的,
股票的内在价值是由资产、盈利能力、股息和未来前景共同决定的
。我们估值时不仅要思考能赚多少钱、更要思考怎么样才能不亏钱。
因此,一个完整的估值思考应该是:
以净资产和股息率为价值底线,以盈利能力和成长前景为价值预期,最终在市场价格显著低于这个综合内在价值时果断买入
。这才是“安全边际”思想的精髓所在。
估值,不是追求精确的计算,而是寻找模糊的正确。
希望这份“精华版”汇总,能帮你拨开估值的迷雾,找到属于你的那把“价值之锚”。
(风险提示:本文不构成投资建议,市场有风险,决策需谨慎。)
【完】
如果对你有帮助,欢迎
点赞+在看
鼓励我
^_^
打赏
更多
>
同类资讯
• 质量与创新双轮驱动:新时代医疗
0
条
相关评论
推荐图文
推荐资讯
点击排行
0
1
转载 | 【白皮书】2026中国睡眠健康研究白皮书
0
2
【澐璟】价值白皮书 --建筑规划篇
0
3
今日影视热点观察:内容回归与行业变革,好故事才是长久底气
0
4
【行业观察】光谱仪:探索物质世界的隐形钥匙
0
5
2026年中国银行全球资产配置白皮书:财富迁移潮来临,香港保险成资金“避风港”
0
6
咸丰大钱投资白皮书 2026市场走势与价值重塑 抓住主力品种躺赢
0
7
中国眼镜片行业白皮书-78页
0
8
2025年中国充电桩及储能设备出口白皮书
0
9
厦门具身智能产业机遇报告(2026-2035)|附70页PDF文件下载
网站首页
|
关于我们
|
联系方式
|
使用协议
|
版权隐私
|
网站地图
|
排名推广
|
广告服务
|
积分换礼
|
网站留言
|
RSS订阅
|
违规举报
|
皖ICP备20008326号-18
(c)2008-2022 免费发布网 All Rights Reserved