推广 热搜: 采购方式  甲带  滤芯  气动隔膜泵  减速机型号  减速机  履带  带式称重给煤机  链式给煤机  无级变速机 

以财务报告为目的的评估:服务于资产减值测试的资产评估

   日期:2026-01-26 11:53:40     来源:网络整理    作者:本站编辑    评论:0    
以财务报告为目的的评估:服务于资产减值测试的资产评估
一、资产减值测试及其流程
(一)资产减值及其测试  
资产减值是指资产的可收回金额低于其账面价值
资产可能发生减值的迹象是资产是否需要进行减值测试前提。  
减值迹象主要包括以下方面:
1、资产的市价当期大幅度下跌,其跌幅明显高于因时间的推移或者正常使用而预计的下跌。
2、企业经营所处的经济、技术或者法律等环境以及资产所处的市场在当期或者将在近期发生重大变化,从而对企业产生不利影响。
3、市场利率或者其他市场投资报酬率在当期已经提高,从而影响企业计算资产预计未来现金流量现值的折现率,导致资产可收回金额大幅度降低。
4、有证据表明资产已经陈旧过时或者其实体已经损坏。
5、资产已经或者将被闲置、终止使用或者其实体已经损坏
6、企业内部报告的证据表明资产的经济绩效已经低于或者将低于预期,如资产所创造的净现金流量或者实现的营业利润(或者亏损)远远低于(或者高于)预期金额等。
7、其他表明资产可能发生减值的迹象。  
因企业合并形成的商誉使用寿命不确定的无形资产无论是否存在减值迹象,每年都应当进行减值测试
(二)资产减值测试流程  
资产减值测试大致要经历以下阶段:
1、减值迹象的判断。
2、资产寿命的判断。
3、单个资产公允价值及其处置费用是否确定以及与账面价值的比较。
4、单个资产的预计未来现金流量现值是否确定以及与账面价值的比较。
5、资产组公允价值减处置费用的余值与账面价值的比较。
6、资产组的预计未来现金流量现值与账面价值的比较。  
注意2个先后顺序:
必须减值测试的情况:
二、资产减值测试评估中的评估对象确定
(一)资产减值测试对象  
如果有迹象表明一项资产可能发生减值,企业应当以单项资产为基础估计其可收回金额。  
企业如果难以对单项资产的可收回金额进行估计,则以该资产所属的资产组为基础确定资产组的可收回金额。  
【定义】
资产组是企业可以认定的最小资产组合,其产生的现金流入应当基本上独立于其他资产或资产组产生的现金流入。
资产组组合是指由若干个资产组组成的最小资产组组合。  
企业在判断一个资产或资产组是否独立于其他资产或资产组产生现金流,至少应当从以下两个方面来考虑:
1、经营层面的独立性。
2、合同的约束性限制。
(二)资产减值测试评估中的评估对象确定  
资产减值测试评估对象应当与资产、资产组或资产组组合账面价值的成分保持一致。  
对于资产组或资产组组合而言,其账面价值应当包括可直接归属于该资产组或资产组组合以及可以合理和一致地分摊至该资产组或资产组组合的商誉总部资产账面价值
【总部资产】  
企业总部资产包括:企业集团或其事业部的办公楼、电子数据处理设备、研发中心等资产。  
显著特征是难以脱离其他资产或者资产组产生独立的现金流入,而且其账面价值难以完全归属于某一资产组。  
因此,总部资产通常难以单独进行减值测试,需要结合其他相关资产组或者资产组组合进行。  
总部资产分摊步骤如下:
1、对于总部资产能够按照合理和一致的基础分摊至某资产组的部分,应当将总部资产的账面值分摊至该资产组
2、对于总部资产难以分摊至任何资产组的部分,应当按照合理和一致的基础分摊至由若干个资产组组成的最小的资产组组合。  
【负债】  
除非不考虑该负债的金额就无法确定资产组的可收回金额,资产组的账面价值一般不应包括已确认的计息负债的账面价值。
下表归纳了在固定资产减值测试中,常见的资产组或资产组组合的构成与评估对象。★★★
营运资金的主要组成为:存货、应收账款和应付账款等,严格来说并不属于非流动资产减值测试的涵盖范畴。  
然而在实务操作中,为了更加合理地模拟资产组组合的真实构成,有时也将其加入资产组组合。
在一般情况下以下两种处理方法都是可行的
1、如果资产组或资产组组合账面构成中不包含营运资本,则评估对象也不包含营运资本。  
在此基础上,预测期第一年的营运资本变动应在期初余额为零的基础上计算,即假设预测期第一年需要投入一笔额外的营运资本,并且到预测期结束时收回该笔营运资本投入。  
【例】(单位:万元)
2、如果资产组或资产组组合账面构成中包含营运资本,则评估对象也包含营运资本。  
预测期第一年的营运资本变动应以评估对象构成中包含的营运资本为期初余额进行计算。  
【例】(单位:万元)
三、资产值测试评估中的价值类型选择
在资产存在减值迹象时,应当估计其可收回金额。可收回金额应当根据资产的公允价值减去处置费用后的净额和资产预计未来现金流量的现值两者之间较高者确定。  
其具体关系如图所示:
会计准则下的公允价值减去处置费用的净额和资产预计未来现金流量的现值这两种计量属性,可以理解为相对应的评估价值类型。
在评估过程中,若已确信资产公允价值减去处置费用的净额或资产预计未来现金流量的现值其中任何一项已超过所对应资产的账面价值,并通过减值测试,可以不必计算另ー项数值。
四、资产减值测试的评估方法与参数
(一)评估方法选择  
进行以减值测试为目的的评估,应该结合评估对象特点、价值类型、资料收集情况和数据来源等分析市场法、收益法和成本法的适用性。
1、资产的公允价值减去处置费用的净额
处置费用的估计包括与资产处置有关的法律费用、相关税费、搬运费以及为使资产达到可销售状态所发生的直接费用等。
2、资产预计未来现金流量的现值  
估计资产预计未来现金流量的现值时通常采用收益法,即按照资产在持续使用过程中和最终处置时所产生的预计未来现金流量,选择恰当的折现率对其进行折现后的金额加以确定。
(二)评估参数确定
1、资产公允价值减去处置费用的净额估算中,收益法各项参数,与前述的预计未来现金流量所涉及的参数会有些不同。★
2、资产预计未来现金流量的现值评估中各参数的确定方法如下。 
(1)现金流预测基本要求。
不包括将来可能发生的、尚未做出承诺的重组事项或者与资产改良有关的预计未来现金流量。
(2)现金流预测期。
预测期一般只涵盖5年,若超过,询问管理层,并取得合理性证据。
(3)资本性支出预测。  
(4)使用年限最后一年的净现金流量。必须考虑处置费用。  
(5)企业所得税的影响。
税前折现率=税后折现率/(1-所得税率)。
(6)折现率。
五、固定资产组减值测试评估案例
(一)案例背景  
由某上市公司控制的一家生产企业A公司,最近3年由于市场需求变化较大,出现了间歇性亏损。A企业拥有的生产线工艺技术水平与目前同类主流生产线存在一定的差距,企业及注册会计师都认为A企业的生产线存在着减值的可能,因此,根据中国会计准则《企业会计准则第8号一一资产减值》的要求,聘请评估机构对该生产线进行减值测试。  
本次减值测试的目的是为了披露年报,初步确定的评估基准日为2010年12月31日
(二)评估对象的确定  
就A企业而言,被评估生产线既没有单独核算也不能独立产生现金流,现金流入的产生包括了产品在生产过程中所依赖的厂房、土地和其他辅助设施等。  
因此,本次评估的评估对象最终确定为包括该生产线及其生产性附属设施、生产厂房和厂房所占土地在内的固定资产组(以下简称“待估资产组”)。  
根据管理层提供的资料,待估资产组于评估基准日的账面价值人民币8123万元。  
(三)评估技术思路和方法的选取
1、公允价值评估思路  
评估专业人员通过市场调査发现,待估资产组缺乏相关参照物的交易案例,无法实施市场法评估,只能采用现金流折现法进行评估。  
具体评估思路为:假设在持续经营的前提下,考虑资产组内资产的有效配置、改良或重置的因素对资产组的未来收益进行预测,对净现金流以适当的折现率折现。
2、使用价值(VIU)的评估思路  
根据准则的要求,使用价值(VIU)的评估思路为:  
在生产线主要设备的剩余经济寿命年限内,不考虑改良或重置的因素,对待估资产组的未来净现金流量,以适当的折现率折现。
(四)评估假设和技术要点  
在本案例中,虽然评估对象相同,对公允价值使用价值评估采用的评估方法也相同(收益法),但由于两种价值类型的评估思路并不相同,公允价值和在用价值的评估需要确定的三大参数也不完全相同,而需要分别估测不同评估思路下各自的收益额、收益期和折现率。  
以公允价值现金流量折现思路为例说明如下:
1、公允价值估值思路中的主要假设和技术要点。
2、假设待估资产组(A公司)将会持续经营
3、综合考虑待估资产组(A公司)的营运周期、生产及销售水平、技术及经济更替等因素,预测资产组(A公司)2010年至2015年的营运水平,并假设通过A公司管理人员的努力,该营运水平的预测可合理地实现。
4、为了实现业务的预期增长且保持适当的竞争能力,待估资产组(A公司)可能需使用额外的资本投入。假设所有与资产组(A公司)相关的设施和技术人员均可配套运作,并且有能力实现预期的业务增长。5.假设现行法律法规、市场环境、宏观政策等不会发生重大变化,不会对待估资产组(A公司)及其行业的业务造成重大影响。
(五)公允价值评估模型的主要参数
1、收入预测  
根据待估资产组(A公司)提供的预测,并结合评估专业人员对资产组(A公司) 及其行业的研究,待估资产组(A公司)2011~2015年各年度的主营业务收入预测如表所示。(单位:万元)
2、成本及费用预测  
销售成本包括生产成本和生产设备折旧支出;销售费用为市场推广及营销费用;管理费用为生产经营管理相关的费用及支出;财务费用为利息支出。  
根据评估专业人员对待估资产组(A公司)的历史成本费用占主营业务收入的比例的分析结果,2011~2015年各年度的成本费用预测如表所示。(单位:万元)
3、折旧和摊销预测  
根据我们对待估资产组(A公司)的历史折旧和摊销分析的结果,2011~2015年各年度的折旧和摊销预测如表所示。(单位:万元)

4资本性支出  

   根据对待估资产组(A公司)的分析,评估专业人员采用了管理层提供的未来固定资产投资预测。营运资金支出主要根据A公司主营业务收入的变化分析确定(见表)。(单位:万元)

5、终

采取 GORDON模型来计算待估资产组于2015年的终值,其中假设未来现金流的永续增长率为1%,折现率为A公司的折现率。
6、折现率的确定  
在使用现金流量折现法时,必须根据所评估资产的性质计算一个适当的折现率。该折现率可视为一个第三方的投资者对同类投资项目的预期回报率。待估资产组的预期回报率与相应的项目风险有关。  
评估专业人员已考虑以下各项风险因素:  
(1)利率风险,衡量总体利率水平的变化对投资回报的影响。  
(2)购买力风险,衡量随时间变化因通货膨胀所丧失的购买力所造成的损失。 
(3)变现风险,衡量在目前市场情况下出售该投资项目的变现能力。  
(4)市场风险,衡量诸如经济和政治等综合市场因素对资产价格的影响。  
(5)业务风险,衡量预期营运收入的不确定性。
待估资产组所采用的折现率是根据资本资产定价模型(CAPM)的方法计算的。
基础投资回报率=无风险回报率+行业beta系数×市场风险回报率
除上述公式所得出的基础投资回报以外,有关项目的预期回报要求亦受其他非常市场因素的影响。此等额外回报率要求可视为个别项目风险,以希腊字母是代表。待估资产组回报率公式为:
待估资产组回报率(折现率)=无风险回报率+行业beta系数×市场风险回报率+S
确定待估资产组折现率时所用的参数:
无风险回报率以评估基准日的5年期国债利率为准。
市场回报率以2001年末至评估基准日10年上证指数年报酬率的平均值为准。
行业beta系数以与A公司同类上市的所在行业的平均beta系数为准。
S的构成主要包含流动性风险、业务风险及其他个别风险。
综合上述各种因素(计算过程略)待估资产组适用的股权资本回报率为12%,待估资产组加权平均资本成本(WeightedAverageCostofCapital,WACC)是经考虑行业平均资本结构后,按行业平均债务水平计算。  
所用的参数包括行业平均债务/股东权益比(0.67)、平均债务资本成本(7%)。
因为,待估资产组的WACC为10%。  
平均债务/股东权益=2/3WACC=12%×3/5+7%×2/5=10%
(六)公允价值和使用价值评估模型的主要差异  
在上述收入和成本的预计方面,这两个模型基本相同,二者的主要差异体现为:
1、收益期不同,分别为有限年期和无限年期。
2、资本性支出的考虑不同。
3、营运资金最终处理的方式不同。4.资产组收益期末是否有处置收益的考虑不同。
(七)评估过程和结论
1、公允价值评定估算相关数据(单位:万元)  
公允价值评估表
(1)依据企业以前年度生产增减变化及企业财务收支分析以及对未来市场的预测, 评估专业人员认为被评估资产组(企业)通过未来5年的不断更新改造,未来5年的主营业务收入将在2010年的基础上每年有2%的增长。  
(2)由于从2011年到2015年每年追加投资进行设备改造,根据企业的生产能力状况,从未来第6年起,净现金流量的增长速度将维持在1%的水平上。  
(3)根据前面的分析,待估资产组(A企业)适用的折现率为10%。  
(4)所得税税率为25%。
2、公允价值评估过程与结果列示  
(1)计算未来5年企业净现金流量的折现值之和。
605.2+560+517.3+478.27+442.23=2603.03(万元)  
(2)计算从未来第6年开始的永续性现金流量现值。
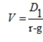
712.24×(1+1%)÷(10%-1%)×0.6209  
=7992.92×0.6209=4962.8(万元)
D1为下一期的净现金流,r为折现率,g为持续增长率  
(3)待估资产组的公允价值。
2603.03+4962.8=7565.83(万元)
3、使用价值评定估算过程与结论(单位:万元)  
使用价值评估表

(1)评估资产组使用价值预期收益的预测是建立在资产组按评估基准日状况和状态继续使用下去,不进行技术改造或重组的基础之上。

(2)未来5年企业经营状况和市场环境不发生重大改变。 
(3)未来5年的收益现值  
=890.38+834.18+758.37+689.43+626.74=3799.1 (万元)  
(4)未来第5年末资产组变现价值预计为3655.89万元。  
(5)未来第5年末资产组变现价值的现值  
=365.89×0.6209=2269.94(万元)。  
(6)资产组的使用价值  
=3799.1+2269.94=6069.04(万元)。
4、资产组减值测试结论  
通过比较,待估资产组的公允价值大于其使用价值。但是,待估资产组的公允价值低于其账面价值。根据孰高原则,待估资产组的可收回金额应以其公允价值的评估值为准,即7565.83万元。  
因此,该资产组存在减值,减值额为待估资产组的账面净值与其可收回金额的差额,即557.17万元(8123-7565.83)

专业资产评估机构

 
打赏
 
更多>同类资讯
0相关评论

推荐图文
推荐资讯
点击排行
网站首页  |  关于我们  |  联系方式  |  使用协议  |  版权隐私  |  网站地图  |  排名推广  |  广告服务  |  积分换礼  |  网站留言  |  RSS订阅  |  违规举报  |  皖ICP备20008326号-18
Powered By DESTOON