大家在做GaN(氮化镓)功率器件的时候,最头疼的问题是什么?除了晶圆的翘曲、欧姆接触的电阻,恐怕就是界面的热稳定性了。
我们都知道,HEMT(高电子迁移率晶体管)的灵魂在于异质结界面处的2DEG(二维电子气)。这个薄薄的电子通道,依靠的是势垒层(如AlGaN或AlN)与GaN沟道层之间的能带断裂和极化效应。理论上,这个界面越陡峭、越完美,器件性能就越强。
但在实际制造工艺中,无论是生长过程中的高温,还是后续为了激活掺杂、形成欧姆接触而进行的快速热退火,温度往往会飙升到1000°C甚至更高。在这个温度下,原本泾渭分明的界面开始变得不安分。
原子是会跑的。特别是铝(Al)原子,它们如果发生了扩散,就会像洪水冲垮堤坝一样,模糊掉原本锐利的异质结界面。这种“界面模糊化”的直接后果,就是2DEG浓度的下降、迁移率的恶化,最终导致器件在长期服役中失效。
今天,我们就把目光聚焦到微观的原子尺度,通过一项基于MOCVD和SIMS(二次离子质谱)的深度研究,来看看到底是什么力量在驱动铝原子的“大逃亡”,以及AlGaN和AlN到底谁才是更可靠的“防洪堤”。

二、捕获原子:SIMS下的微观“犯罪现场”
要研究扩散,首先得有双“火眼金睛”。在这项研究中,研究团队制备了两种典型的结构:
1、结构A:AlN/GaN/AlGaN多层结构。这是为了模拟我们常见的HEMT器件结构,重点观察AlGaN与GaN之间的互动。
2、结构B:AlN/GaN/AlN/GaN结构。这是为了测试纯AlN层作为势垒时的极限稳定性。
为了看清原子怎么跑,研究人员对样品进行了阶梯式的高温退火处理,温度分别设定在1050°C、1100°C和1150°C,并利用高分辨率的SIMS技术,对退火前后的铝浓度分布进行了逐层扫描。
结果是非常直观且令人深思的。
对于AlGaN样品(结构A),在未退火前,我们能看到非常漂亮的方波状浓度分布,界面陡峭。但随着温度升高,这个方波的边缘开始变塌、变宽。这说明铝原子正在跨越边界,向GaN层渗透。
更有趣的是,这种扩散并不是对称的。研究发现了一个明显的“不对称扩散”现象。

在AlGaN层中,存在两种截然不同的扩散路径:
第一,向内扩散(In-diffusion):即铝原子沿着c轴负方向,向衬底方向移动。
第二,向外扩散(Out-diffusion):即铝原子沿着c轴正方向,向表面方向移动。
在1050°C到1150°C的炙烤下,SIMS数据不仅捕捉到了界面的模糊,更通过数据拟合,让我们算出了具体的扩散系数。这不仅是现象的描述,更是对物理本质的量化。接下来,我们将深入剖析这背后的动力学机制。
三、AlGaN的软肋:低激活能与缺陷高速公路
让我们先来谈谈目前应用最广泛的AlGaN势垒层。数据告诉我们一个略显残酷的事实:AlGaN层的热稳定性其实相当脆弱。
通过对实验数据的Arrhenius(阿伦尼乌斯)拟合,我们得到了决定扩散快慢的核心参数——激活能(Ea)。激活能可以理解为原子要跳出原本位置所需要跨越的“门槛”。门槛越低,原子越容易逃逸。
在AlGaN/GaN结构中,研究揭示了以下几个关键发现:
1、极低的激活能
在AlGaN向外扩散的过程中,计算出的激活能(Ea)仅为2.1eV到2.4eV之间。这个数值在半导体物理中属于偏低的范围。作为对比,通常认为GaN的热降解能垒都在3.2eV以上。这意味在仅仅1000°C出头的工艺温度下,AlGaN中的铝原子就已经非常活跃,极易发生迁移。
2、惊人的扩散前因子
除了激活能低,扩散前因子(D0)却异常大,达到4.03×10⁻⁵cm²/s。扩散前因子通常与缺陷密度和跳跃频率有关。如此巨大的D0值,强烈暗示了这是一个“缺陷辅助”的扩散过程。
3、缺陷充当了“高速公路”
为什么AlGaN这么容易扩散?根本原因在于晶体质量。由于AlGaN是生长在GaN之上的,两者存在晶格失配。虽然我们尽力控制,但在界面处依然存在大量的位错(Dislocations),特别是螺型位错和刃型位错。
这些位错就像是原子扩散的“高速公路”。同时,AlGaN层中由于应变的存在,更容易形成镓空位(VGa)。铝原子的扩散,本质上就是铝原子跳进镓空位的过程(Substitutional mechanism)。

我们可以得出一个阶段性结论:在AlGaN/GaN界面,铝原子的扩散主要是由高密度的原生点缺陷(特别是金属空位)主导的替代式扩散。
这就是为什么在早期的GaN外延生长阶段(S1界面),由于晶核尚未完全合并,位错密度极高(可达10⁹-10¹⁰cm⁻²),导致向内扩散虽然慢,但一直在发生。而在生长后期的界面(S2界面),虽然位错密度降低了,但由于AlN盖层引入的应变梯度,导致向外扩散(Out-diffusion)变得异常剧烈。
这也给工艺工程师提了个醒:在设计AlGaN HEMT时,必须警惕应变引入的缺陷对热稳定性的破坏。
四、AlN的防线:高能垒下的双刃剑
既然AlGaN因为合金无序和缺陷容易扩散,那么换成纯组分的AlN势垒层会不会好一点?答案是肯定的,但也伴随着新的挑战。
我们来看结构B(纯AlN层)的数据表现。
1、能垒显著提升
实验数据表明,纯AlN层的扩散激活能有了质的飞跃。其向内扩散的激活能提升到了3.66eV,而向外扩散的激活能更是高达4.59eV。
相比AlGaN的2.4eV,这1.2eV以上的提升是巨大的。在指数规律的支配下,这意味着在同等温度下,铝原子想要从AlN晶格里跑出来的难度呈指数级增加。这主要归功于Al-N键本身比Al-Ga键更强的键能,以及纯AlN材料在未松弛状态下更低的本征缺陷浓度。
2、更强的热稳定性
高激活能意味着AlN/GaN界面天生就比AlGaN/GaN界面更“耐热”。这对于需要在高温环境下工作的功率器件来说,无疑是一个利好消息。如果你的应用场景涉及极端高温,采用AlN作为隔离层或势垒层,理论上能提供更好的长期可靠性。

3、但是,存在“临界厚度”的隐患
虽然AlN很强,但我们不能忽视一个物理限制:临界厚度。
在实验中发现,虽然激活能高,但AlN层的扩散系数(D)在某些高温点并没有想象中那么低。为什么?
因为纯AlN与GaN的晶格失配度非常大(约2.4%)。一旦AlN层的厚度超过了临界值(通常只有几纳米),材料就会发生应力松弛,产生大量的失配位错。
一旦这些位错产生,它们就会立刻变成新的扩散通道。这就解释了为什么在厚度较厚的AlN实验样品中,我们依然观测到了明显的扩散现象。
启示十分明确:AlN是极佳的热阻挡层,前提是你必须把它做得足够薄,薄到保持完全应变状态(Fully Strained),避免松弛产生的缺陷抵消了材料本身的化学稳定性优势。
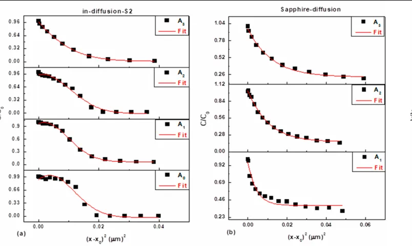
五、遗忘的角落:蓝宝石衬底的反攻
在分析完器件表面的热闹后,我们不得不提一下底层的隐患—蓝宝石衬底(Al₂O₃)。
很多人认为衬底就是个托盘,且蓝宝石化学性质极其稳定,应该没事。但SIMS数据狠狠打脸了这种侥幸心理。
研究发现在极高的退火温度下,铝原子竟然从蓝宝石衬底里“跑”出来了,扩散到了GaN缓冲层里。
极高的门槛好消息是,这个过程非常难。从蓝宝石向GaN扩散的激活能高达3.34eV。这与Al-O键极强的结合能是一致的(毕竟氧化铝是陶瓷)。
不可忽视的杂质源虽然难,但在1100°C以上的高温处理中,这种扩散依然是可以测量的。这意味着,原本应该是纯净的GaN缓冲层,在靠近衬底的地方,可能会因为铝(以及伴随的氧)的扩散而改变性质。
对于追求极致低漏电、高击穿电压的器件来说,衬底界面的这种非故意掺杂,可能会带来寄生导电通道,影响器件的关断特性。这也解释了为什么现在高端GaN外延片越来越重视成核层(Nucleation Layer)的质量,目的就是为了阻挡来自衬底的杂质反扩散。
六、总结与工艺启示
通过这场微观世界的“侦探行动”,我们将数千字的研究浓缩为以下几个核心逻辑,希望能给各位半导体同仁带来实际的参考:
第一,扩散机制是“替代式”而非“间隙式”。
Al原子的移动不是在晶格间隙里乱窜,而是必须借助空位(主要是镓空位VGa)进行跳跃。这意味着,控制扩散的核心,在于控制外延层的缺陷密度。低位错密度的外延生长工艺,是提高器件热稳定性的根本。
第二,AlGaN的热稳定性短板明显。
2.4eV左右的低激活能警示我们,对于常规AlGaN/GaN HEMT,高温退火工艺的窗口期非常窄。过高温度或过长时间,都会导致界面模糊,从而牺牲2DEG特性。在制定热预算(Thermal Budget)时,必须以此为红线。
第三,AlN是把双刃剑。
AlN能提供高达4.59eV的扩散能垒,是极佳的保护层。但必须严格控制厚度,防止应力松弛。“薄而致密”的AlN插入层,是提升高温稳定性的最优解;一旦做厚松弛,反而会因为缺陷爆发而适得其反。
第四,应变梯度决定扩散方向。
实验观测到的“向外扩散”强于“向内扩散”的现象,揭示了应力场对原子迁移的驱动作用。在进行多层异质结设计时,需要通过能带工程和应力工程的平衡,来抵消这种不对称扩散带来的老化风险。
[结语]
每一颗能够在高压、高温下稳定工作的GaN芯片背后,都是工程师与原子扩散这一物理规律的殊死搏斗。从AlGaN的缺陷控制,到AlN的厚度拿捏,每一个纳米的精度,都对应着宏观世界里器件的十年寿命。
理解扩散,就是理解失效;掌握界面,就是掌握未来。
希望这篇关于铝原子微观扩散的深度解析,能为你优化外延工艺或改进器件结构,提供一个新的视角。
本公众号长期专注于:
GaN 率器件的外延、芯片、封装、可靠性及工程应用
所有内容基于工程经验与技术逻辑展开,
不做参数堆砌,不做厂商软文,只讨论可落地的问题。欢迎转发关注。


