为提升佛山市工程技术研究中心(以下简称“市工程中心”)建设质量效能,根据《佛山市研发机构建设管理办法》(佛科〔2023〕34号)和年度工作安排,现组织开展2025年度市工程中心动态评估及年度报告填报工作,有关事项通知如下:
一、填报对象
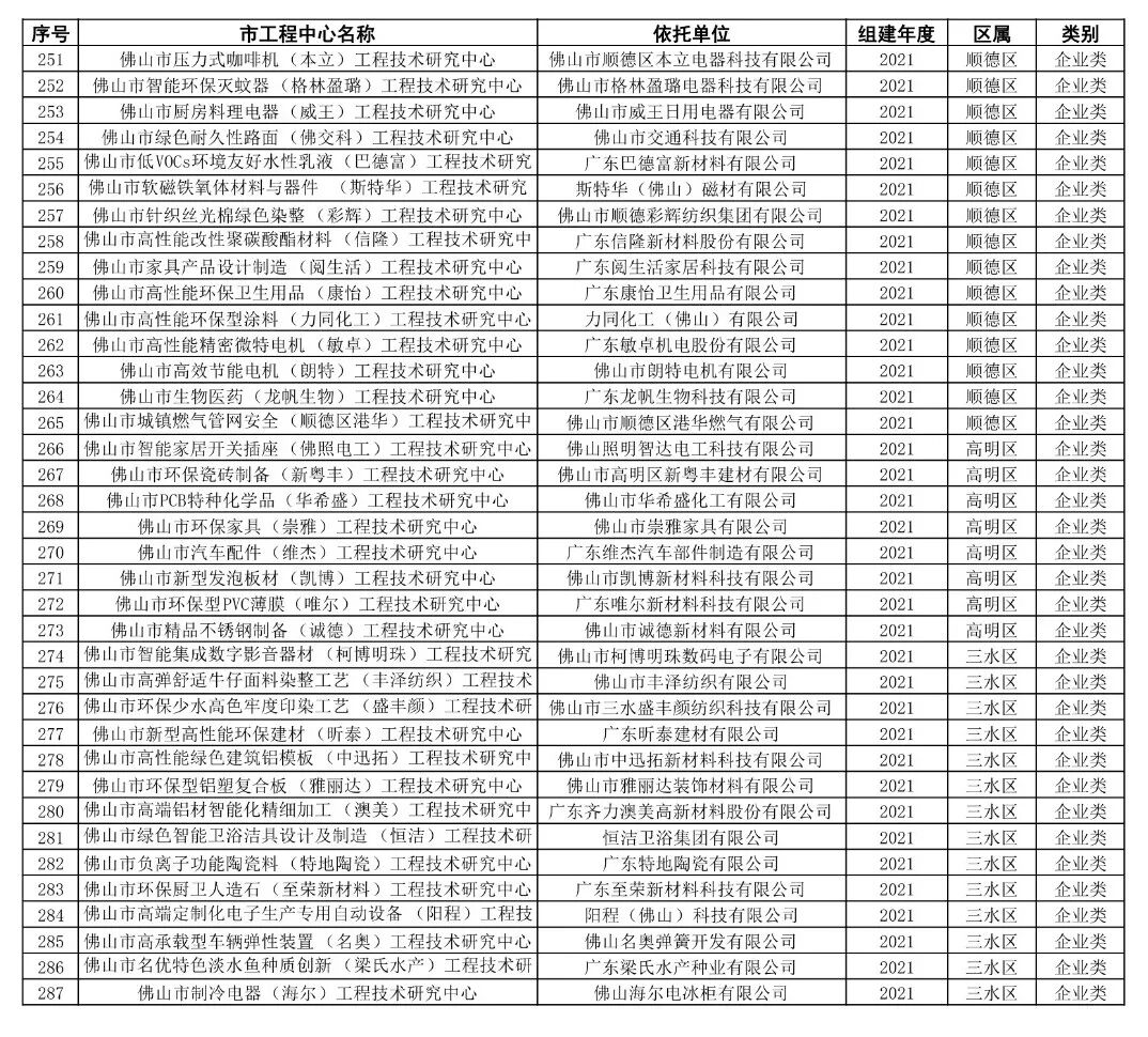
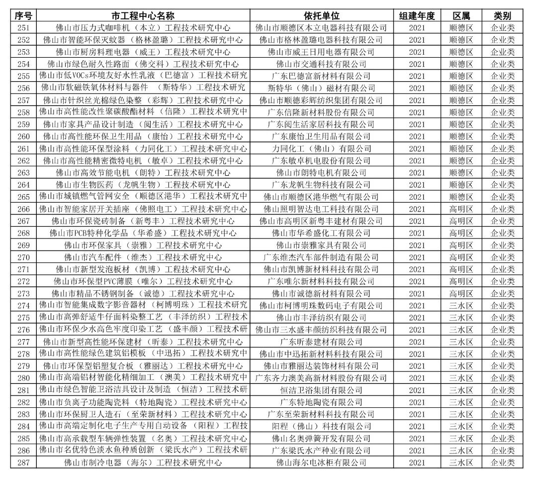
(一)动态评估:本批次需要填报评估共287家市工程中心(名单见附件1)
(二)年度报告:未列为本次评估对象的市工程中心均需填报年度报告。
二、评估内容
对照市工程中心管理办法、建设目标与要求,从以下4个方面近3年的运行情况开展评估:
(一)运行情况:工程中心开展的实际工作(包括研发活动、研发投入、产学研合作、管理机制等)。
(二)研发条件:依托单位规模,已有研发试验场地配置、平台资质情况;新建的研发试验场地、科研平台,新增的仪器设备等情况。
(三)科研能力:人才队伍实力(包括研发人员构成、中心主任、骨干研发人员、技术委员会专家构成等)。
(四)建设成效:取得的专利、标准、软件著作、论文等知识产权相关成果,新材料、新部件、新工艺、新产品等技术成果,科技奖励,其它标志性科研成果等。
三、填报时间
根据《管理办法》,未列为本次评估对象的市工程中心,请于2026年1月30日17:00前在扶持通系统完成年度报告填报,包括《佛山市工程技术研究中心年度报告数据填报表(2025年)》;上一年度工程中心建设情况总结;《真实性承诺函》。上述材料均需要工程中心主任签字和加盖依托单位公章。
四、评估结果
本次评估结果分为优秀、合格和不合格3个等级。对评估为优秀且建设成效显著的市工程中心,鼓励区科技主管部门在相关支持政策中给予优先考虑;对评估为合格的市工程中心,请区科技主管部门做好指导帮扶;对评估为不合格的市工程中心,撤销佛山市工程技术研究中心资格。
五、其他说明
有下列情况之一的,撤销市级研发机构资格:
(一)逾期未参加评估或评估结果为不合格的;
(二)未按要求提交年度报告,经提醒后30个自然日内仍未提交的;
(三)存在科研诚信问题、违反科研伦理、科技安全等违法违规情形的;
(四)依托单位发生重大变故或其他因素导致研发机构无法继续运行的;
(五)依托单位发生重大安全、环保、质量等责任事故造成严重不良影响的;
(六)依托单位自行要求撤销的;
(七)存在其他应予以撤销情形的。
附件1:2025年度佛山市工程技术研究中心评估名单(共287家)






【欢迎分享到朋友圈】 感谢大家对“聚悦咨询”本公众号的支持
咨询热线:李总15986317824


