对于咱们中小企业老板来说,一提到“企业估值”,是不是就头大?感觉这是投资人、金融专家们才搞得懂的高深学问。
但其实,把复杂的金融理论翻译成大白话,你会发现,看懂公司值多少钱,就像算自家生意的账本一样简单。
今天,我就用一个最经典、最能反映企业真实价值的“现金流折现法”(DCF模型),给你拆解一下。
别怕,我们不讲复杂公式,只聊核心逻辑,保证你一听就懂。
其实只要懂DCF,就能轻松看透所有估值的核心逻辑——无非是“未来收益的现值”。
比如PE估值的本质,是市场默认企业未来现金流会按当前盈利水平稳定增长,相当于DCF的简化版。懂DCF后,你不仅能看懂别人的估值,还能判断其合理性。
一句话说透:公司值多少钱,就看它未来能稳稳当当赚多少钱。
这就是DCF模型的核心思想。它认为,一个公司的全部价值,就等于它未来能赚到的所有真金白银,折算成今天的钱加起来的总和。
听起来有点绕?别急,我们把它拆成两步,你马上就明白:
1. 看未来能赚多少钱(未来现金流)
这个“钱”不是指利润表上的数字,而是指实实在在的“自由现金流”。你可以简单理解为:
自由现金流 = 公司一年赚到的现金 - 为了维持和扩大生产必须再投进去的钱
这才是公司真正能“落袋为安”、可以分给老板和股东的钱。
2. 把未来的钱“打折”到今天(折现)
这是最关键的一步。为什么要“打折”?因为今天的100块,比明年的100块更值钱。
原因一:通货膨胀,明年的100块可能买不到今天这么多东西。
原因二:有风险。谁也不能保证你的公司明年一定能赚到那100块。
所以,未来的钱需要打个折,才能反映它今天的真实价值。这个“折现率”,就代表了投资你的公司所承担的风险。
举个你肯定能懂的例子:
假设你开了一家包子铺,生意很稳定。你想算一下这个包子铺到底值多少钱。
1. 预测未来现金流
你预计,未来3年,每年抛去所有成本和再投入(比如买新蒸笼)后,能稳稳净赚(自由现金流):
第1年:10万元
第2年:12万元
第3年:15万元
2. 确定一个“折现率”
开包子铺风险不大,但也有风险(比如房租上涨、食材涨价),你觉得用10%的折现率来计算比较合理。
3. 开始“打折”计算
明年的10万元,折算到今天值多少钱?
10万 ÷ (1 + 10%) = 9.09万元
后年的12万元,折算到今天值多少钱?
12万 ÷ (1 + 10%)² = 9.92万元
大后年的15万元,折算到今天值多少钱?
15万 ÷ (1 + 10%)³ = 11.27万元
4. 加总得出结果
把这三笔“折后”的钱加起来:
9.09万 + 9.92万 + 11.27万 ≈ 30.28万元。而这30.28万元,就是你这家包子铺未来3年能创造的价值,在今天的“现值”。
再加上一个对更遥远未来的价值预估(永续价值),就构成了包子铺的总估值。
为什么老板们一定要懂这个逻辑?
因为它能帮你在三个关键时刻做出最正确的决策:
1. 融资谈判时,心里有底
当投资人给你一个估值时,你可以用这个逻辑去反问他:
“您给的这个估值,是基于我们公司未来每年能赚多少钱的预测?您用的“折现率”是多少?”
这一下就能显示出你的专业,让他不敢随便压价。
2. 做重大投资决策时,算清账
当你考虑要不要花50万去开一家分店时,你就可以用这个方法算一下:
这家新店未来每年能带来多少净现金流?把这些钱折算到今天,总和能不能超过50万?
如果能,就值得投;
如果不能,就要三思而后行。
3. 看清公司经营的本质
很多老板只看利润,但利润可以通过会计手法调整。而现金流是实打实的。
DCF模型让你把焦点放在如何持续、稳定地创造真金白银上,这才是企业健康发展的根本。
总而言之,DCF模型不是一个让你死记硬背的公式,而是一种帮你穿透迷雾、看清生意本质的思维方式。
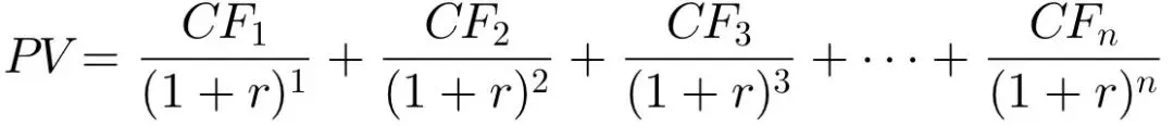
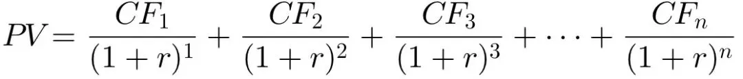
核心公式(看看即可):

其中:
PV 表示现值。
CF_n 表示第n年的现金流
r 表示折现率,反映了资金的时间价值和风险溢价。
n 表示对应的年份
它让你明白,做企业,不仅要埋头拉车,更要抬头看路,算清楚未来的每一笔账。
生意不行,找姜开成!
END-
我是姜开成,畅销书《引爆流量》作者,企业商业模式创新顾问,“中国本土企业商业模式创新”第一人,专注商业模式咨询服务12年。
先后服务过58同城、海底捞、唯品会、相宜本草、酷咖、一箱办等116家企业。专注为中国本土企业提供商业模式咨询服务,使其实现十倍速的新增长。
为了帮助更多加我微信的企业老板、年轻创业者掌握商业顶层智慧及商业模式创新思维,我坚持每日更新5条以上朋友圈。
扫码加我免费送你一本『提升赚钱能力11个方法』



