

本期我们推荐的是发表于《Optical and Quantum Electronics》,关于通过绿色溶胶-凝胶工艺制备聚酰亚胺聚合物(基质)和介孔二氧化硅纳米粒子(填料)纳米复合膜的研究,《Structural, optical, dielectric, and surface properties of polyimide hybrid nanocomposites films embedded mesoporous silica nanoparticles synthesized from rice husk ash for optoelectronic applications》
原文作者:A. A. Ebnalwaled, Ahmed H. Sadek, Sameh H. Ismail & Gehad G. Mohamed
导 读
如今,许多研究通过将纳米粒子纳入聚合物基质中,引入了杂化纳米复合材料作为本体聚合物的替代品。当聚合物与纳米颗粒相结合时,它们会产生相应的高级聚合物材料,可广泛应用于食品稳定系统、能量储存、生物技术、催化剂、光学器件、微电子和包装。一般来说,填充二氧化硅和硅酸盐的聚合物纳米复合材料在电气、光学和机械性能方面表现出非凡的增强。例如,有机-无机纳米复合材料表现出用于导电材料、光波导和光电器件的混合特性。由于聚酰亚胺具有优异的热稳定性、介电性能和机械性能,被称为用于光电应用的高温聚合物。通过使用不同分子量的特定偶联剂增强无机网络和有机部分之间的相互作用,聚酰亚胺-二氧化硅薄膜的透明度变得更加清晰。因此,无机和有机部分之间的共价键增加。研究发现,增加二氧化硅含量和减小二氧化硅粒径会增强二氧化硅和聚酰亚胺之间的相互作用,而不会发生相分离。

欢迎加v:Ar+Ag+Af方案商
聚酰亚胺是一种热塑性聚合物,可通过提高其阻燃性在高温环境中用作阻燃剂;也特别适用于溶胶-凝胶技术,用于制造纳米复合材料。其中,聚酰亚胺具有优异的性能,例如机械性能、耐溶剂性、热稳定性和氧化稳定性以及高玻璃化转变温度,并且在某些电子和电气应用中得到了极大的利用。基于无机-有机混合成分的聚酰亚胺纳米复合材料被归类为具有定制物理特性的新型材料。溶胶-凝胶法已用于制备许多具有纳米结构形貌的杂化聚酰亚胺系统。此外,这些纳米结构系统是通过在前体溶液中引入偶联剂来生产的,以在聚合物基质和二氧化硅填料之间产生高粘附力。因此,在较高温度范围内,聚酰亚胺纳米复合材料表现出比微米复合材料更好的机械性能。最近,溶胶-凝胶通过增加聚合物和二氧化硅之间的界面相互作用,在聚酰亚胺/二氧化硅纳米复合材料的生产中显示出了有价值的优势,这有助于改善它们之间的兼容性。许多研究人员对使用不同的有机硅烷和四烷氧基硅烷在聚酰亚胺基质中生成二氧化硅网络感兴趣。与此同时,聚酰亚胺/二氧化硅纳米复合材料的应用已经扩展到不同的领域,例如航空航天、光折变材料、微电子器件、非线性光学、光子学领域以及光电子以外的光波导。
尽管一些作者研究了聚酰亚胺/介孔二氧化硅杂化纳米复合薄膜或聚酰亚胺共混物,但这项研究报告制备的薄膜显示出光子能量 ≥ 3.1紫外线区域的eV,与可见光相比,支持其强烈的紫外线吸收倾向,并建议使用高度柔性和可见透明的纳米复合膜来屏蔽UVA。此外,二氧化硅纳米颗粒的加入影响了一些光学参数,这大大有助于降低制备薄膜的带隙(Eg)、透射率和透明度,并增加折射率和介电常数。由于纳米结构复合物的形成,这些光学量表现出较高的值,这改善了紫外-可见吸收、光学电导率、光学透射比和反射率,并增强了薄膜的表面性质,提供了广泛的应用。
因此,本文研究工作的目的是
合成和表征聚酰亚胺/介孔二氧化硅杂化纳米复合薄膜
研究纳米二氧化硅比例对所制备的纳米复合薄膜性能的影响
优化聚酰亚胺薄膜经不同浓度的二氧化硅纳米颗粒处理后的表面能特性。
此外,本研究还扩展到研究制备的纳米复合薄膜在光电应用中的适用性。
在本研究中,利用先前从稻壳灰中制备的介孔二氧化硅纳米颗粒作为纳米填料,制备不同比例(0、6、8、10和12%)的聚酰亚胺/二氧化硅杂化纳米复合材料薄膜。随后,利用XRD、SEM、AFM和接触角分析仪对所有杂化膜进行了进一步的综合表征。根据二氧化硅纳米颗粒的含量,薄膜显示出多种光电特性。其中,二氧化硅纳米填料影响聚酰亚胺薄膜的光学清晰度,增加二氧化硅比例导致薄膜透射率降低,从而导致透明度降低,增强了薄膜在UV范围内的吸收系数。此外,介电常数和自由电荷载流子浓度的增加也促进了薄膜的导电性。此外,增加二氧化硅含量导致薄膜从疏水表面转变为亲水表面,并改善了其在所有pH值下的润湿性。

简户仪器——环境试验设备专家
我们是国家高新技术企业
具有3项国家标准起草与制定
40+件原创知识产权
6次获得上海科技型中小企业
3200+家合作客户
主要产品:
盐雾箱系列、振动试验机、恒温恒湿箱、机械冲击机冷热冲击机以及跌落试验机。









以下内容与上述内容非同一篇,仅作为行业资讯展开,非严谨之处,请见谅,内容来自网络,侵删。版权归原作者所有,本公众号发表仅供科普和交流,欢迎大家阅读和留言,谢谢大家
文章链接:https://doi.org/10.1039/d3tc00877k


合成了一种脂环族四羧酸二酐——八氢-2,3,6,7-蒽四羧酸二酐(OHADA)以获得新型无色聚酰亚胺(PIs)。本文描述了OHADA原型的脱色方法和简化整个过程的方法,并提出了OHADA的一种可能的立体结构。OHADA和2,2′-双(三氟甲基)联苯胺的加聚反应不成功;具体而言,即使在长时间搅拌后,反应混合物仍保持不均匀。然而,改进的一锅法适用于OHADA/TFMB系统。分离出的PI粉末形式,以及其他基于OHADA的PI粉末形式,在多种溶剂中高度可溶,并提供具有高固体含量(20–30wt%)的均匀稳定的溶液。溶液浇铸产生具有非常高的玻璃化转变温度(Tg~300℃)的无色且可延展的PI膜。此外,与其他相关的TFMB衍生的半脂环族聚酰亚胺相比,OHADA/TFMB体系表现出显著的热稳定性。然而,与我们的预期相反,这种PI膜没有表现出低的线性热膨胀系数(CTE)。这种聚酰亚胺薄膜还具有优良的热塑性,可能反映了其特殊的空间结构。使用含酰胺的二胺显著提高了Tg(355℃),并在一定程度上降低了CTE(41.5ppmk-1),同时保持了高光学透明度和优异的溶解性。

OHADA原型的合成
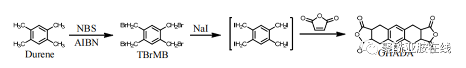
OHADA根据反应方案(图1)合成,将均四甲苯的甲基四溴化,得到1,2,4,5-四基(溴甲基)苯(TBrMB),然后在碘化钠存在下进行TBrMB和马来酸酐(MAn)的Diels-Alder反应。认为Diels-Alder反应是通过卤素交换生成的活性中间体1,2,4,5-四甲基(碘甲基)苯发生的。详细的合成步骤如下所述:

图1:OHADA合成的反应方案。
酰胺型二胺的合成
根据反应方案(图2)合成了一种酰胺型二胺(AB-TFMB),如我们之前的研究所述。发现:C,60.00;H,3.87;N,9.98。结果表明,该产物为理想的二胺(AB-TFMB)。

图2:合成酰胺型二胺(AB-TFMB)的反应方案。
聚合、酰亚胺化和聚酰亚胺薄膜制备
聚合、酰亚胺化和薄膜制备通过三种不同的途径进行(图3):常规两步法(路线T)、化学亚胺化法(路线C)和改进的一锅工艺法(路线R)。

图3:经由不同路线的聚合、酰亚胺化和膜制备方法的方案:(T)两步法,(C)溶液中的化学酰亚胺化方法,和(R)在催化剂存在下通过回流反应混合物的一锅工艺法。
两步过程(T)包括多加成、合成的PAAs的溶液铸造和PAA铸膜的热亚胺化。将四羧基二酐粉(1mmol)加入初始固体含量为30wt%的N-甲基-2-吡咯烷酮(NMP)溶液中,总固体含量为30%,室温下连续磁搅拌72h。在多加成过程中,用最小数量的相同溶剂逐渐稀释反应混合物,以确保有效的磁搅拌。将合成的PAA溶液适当稀释,将棒涂在玻璃基板上,并在空气对流烘箱中在80◦C下干燥2小时。得到的PAA膜在200◦C下+300◦C热固化1小时,然后在300◦C下退火1小时,以去除残余应力。


化学亚胺化过程(C)包括PAAs在溶液中的化学亚胺化、PI粉末的分离、PI粉末在新鲜溶剂中的再溶解以及通过溶液壳管形成PI膜。在PAA溶液中逐渐加入环脱水剂[乙酸酐(Ac2O)/吡啶(7/3,v/v)],以固定摩尔比[Ac2O]/PAA=5的PAA溶液,在密封瓶中室温连续搅拌12h。该过程仅适用于高可溶性PI体系,否则为凝胶或沉淀,从而防止在反应过程中发生后续的铸造过程。将合成的均相反应混合物用相同的溶剂适当稀释,并逐渐倒入大量的不良溶剂(甲醇或水)中。通过过滤收集形成的纤维白色沉淀,在100◦C下真空干燥12小时,然后在高固体含量(20-30wt%)的新鲜无水γ-丁内酯(GBL)中重新溶解。除非另有规定,PI薄膜的制备方法如下。将获得的均匀PI溶液涂在玻璃基底上,在80◦C中干燥2小时,然后在150◦C下加热0.5h+200◦C,0.5h+250◦C在真空下加热1小时。然后将PI薄膜(通常为20µm厚)在没有衬底的情况下,在250◦C下退火1小时,以去除残余应力。
改进的一锅工艺(R)通常适用于多加成反应性较差的体系。然而,仅适用于高可溶性PI体系,以避免一锅过程中的凝胶化或沉淀。该过程包括在催化剂存在下的溶液中缩聚,PI粉末的分离,PI粉末在新鲜溶剂中的重新溶解,以及通过溶液壳体形成PI膜。一锅缩聚在一个四颈可分离烧瓶中进行,配有干氮气入口和出口连接到硅油密封起泡器、冷凝器、迪恩-斯塔克陷阱和一个专门设计的机械搅拌器(中村科学仪器工业,UZ-SM1)。由于内部搅拌杆和外部磁转子之间的非接触磁耦合机构,这种混合装置具有完美的密封性。二胺(2mmol)和催化剂在100◦C的GBL中溶解在上述可分离的烧瓶中。在其中一部分加入OHADA粉末(2mmol)后,将初始总固体含量为30或40wt%的反应混合物快速加热至200◦C,并在氮气气氛中连续搅拌4小时。在反应过程中,用最低数量的GBL逐渐稀释反应混合物,以确保有效的机械混合。反应结束后,从均质PI溶液中分离纤维PI粉,在新鲜GBL中重新溶解。PI膜通过溶液铸造和退火,以上述相同的方式制备(见通过路线C的膜制备条件)。在某些情况下,通过微调,优化了薄膜制备过程中的热条件,以获得更好的PI薄膜质量。
在本研究中,PAA和PI体系的化学组成用单体组分的缩写表示[四羧基二酐(A)和二胺(B)]作为A/B作为均聚物,A1;A2/B作为共聚物。

结果与讨论
热稳定性
使用具有刚性和线性结构的TFMB(#2)通过改进的一锅法提供了无色的PI膜。这种PI的一个特点是它的热稳定性。图14a比较了由一个固定的二胺(TFMB)和不同的环脂肪族四羧酸二酐衍生出来的相关PIs的Td5(N2)值。热稳定性增加的顺序如下:HTA-HQ/TFMB<CBDA/TFMB<H-PMDA/TFMB<<OHADA/TFMB。HTA-HQ/TFMB薄膜的最低热稳定性与键合能相对较低的酯基团的存在有关。CBDA/TFMB薄膜相对较低的热稳定性可能是由于CBDA结构的中心环丁烷单元中的环状应变所致。HPMDA/TFMB薄膜(#9)的热稳定性高于基于CBDA的同类薄膜的热稳定性,这是因为前者中没有环应变的中心六元环己烷单元。OHADA/TFMB薄膜的最高热稳定性可能与OHADA结构中的两个环己烷单元和中心苯单元的缩合结构有关。

图14:从TFMB和各种脂环族四羧酸二酐获得的PI膜的N2中的Td5)和Tg(通过DMA)(B):(A)HTA-HQ,(B)CBDA,(C)H-PMDA,和(D)OHADA。
热塑性
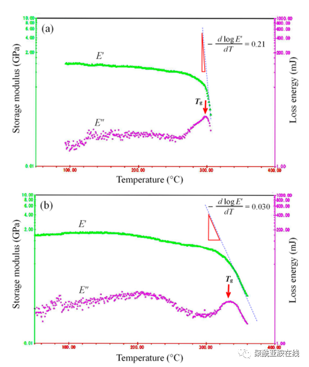
利用DMA评价了基于OHADA的PIs的热塑性。我们之前证明了PI薄膜的热塑性与玻璃化转变的陡度密切相关,可以通过DMA(频率:0.1Hz)曲线的最大斜率(−dlogE′/dT)来评估。例如,可注射可塑双酚a型聚(乙酰亚胺)ULTEM1000具有非常高的热塑性指数(−dlogE′/dT=0.65),而典型的非热塑性PIs-BPDA/对苯二胺具有非常低的热塑性指数(0.008)。
图16为OHADA/TFMB薄膜(#2,R)的DMA曲线,并与CBDA/TFMB系统(T)的DMA曲线进行比较。OHADA/TFMB薄膜在Tg以上的E0曲线突然下降,没有橡胶高原区域,如图16a所示。这与它的高热塑性指数(0.21)相对应。这一结果可能与近链堆积的中断和分子间力的减弱有关。相比之下,CBDA/TFMB薄膜的E0曲线在Tg以上逐渐下降(图16b),其热塑性指数要低得多(0.030)。这反映了它的曲柄-轴状,相对线性的链结构。

图16:聚酰亚胺薄膜的DMA曲线和热塑性指数(-dlogE′/dT):(a)OHADA/TFMB和(b)CBDA/TFMB系统。
在OHADA/TFMB系统中观察到的这些特征(即组合性能(非着色+高Tg+优异的热塑性和溶解度))在光学透明的PIs中几乎是前所未有的。这可能归因于OHADA独特的(阶梯状的+高度扭曲)的空间结构。

结论
通过硬脑烯的四溴化和随后的四溴和马来酸酐的Diels-Alder反应,合成了一种新型的环脂肪族四羧酸二酐(OHADA),克服了无色PIs结构修饰和性能改进的问题。OHADA原型具有足够高的化学纯度,尽管它的颜色很强烈。OHADA原型与4,4′-ODA具有较高的多加成反应活性,形成了具有较高分子量的PAA。然而,PAA铸膜的热亚胺化导致了强烈的PI膜。
因此,OHADA使新的溶液可处理无色PIs具有优异的组合性能,作为潜在的光电材料。

翻译:罗丽莎
文章来源:Macromol 2023, 3, 175–199.
文章链接:https://doi.org/10.1039/d3tc00877k


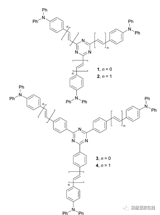
制备了四个基于均三嗪中心受体和三个氨基供体末端支链的向心(D–π–)3–A生色团。这些发色团被证明在高达300℃的温度下是热稳定的,具有可调的HOMO-LUMO能隙(3.02-2.51eV),最大吸收/发射波长在390-427/485-551nm范围内。基于发色团结构和使用环境,观察到相对较大的斯托克斯位移高达8000cm-1,量子产率高达78%,荧光寿命在2-4ns之间。一般来说,改变π-接头被证明是调节这些发色团基本性质的非常有用的策略。双光子吸收测量显示良好到极好的截面达到1000GM。进一步制备了掺杂发色团(0.1%)的高质量和良好透明的聚酰亚胺薄膜,并且在蓝色和黄/绿色区域显示出明亮的发射

结果与讨论
合成

图1.向心三嗪发色团1–4的分子结构。

方案1.TPA-BIA-NH2(a)和TPA-BIB-NH2(b)的合成路线。


热稳定性
通过DSC和TGA研究制备的聚酰亚胺膜的基本热性能,如表3所示。考虑到发生5%重量损失(T5%d)时的温度,所制备的聚酰亚胺CHDA-BAPP证明在高达450℃时具有高度的热稳定性。与结构相关的市售Kapton(T5%d=556℃)相比,CHDA-BAPP能够承受更少的热应力,这归因于CHDA的脂肪族核心(环己烯对苯)和BAPP中存在的额外(CH3)2C部分。根据表3中的热数据判断,在CHDA-BAPP中引入三嗪发色体1-4(0.1%)后,其热性能变化很小,玻璃化转变温度(Tg)和T5%d几乎保持不变(因为聚酰亚胺主链)。

表3.聚酰亚胺薄膜的热学和光学性质。
光学特性
通过电子吸收、透射和发射光谱评估PI膜的光学性质(图9);基本参数如表3所示。根据图9(A)中所示的透射率,与Kapton相比,CHDA-BAPP的光学窗口明显宽了近200nm(λcut-off295vs470nm)。CHDA-BAPP的这一光学特性源于其部分脂肪族结构,允许其用作在近紫外和可见区发射荧光团的聚合物基质。与黄橙色Kapton相反,纯CHDA-BAPP几乎完全透明,没有伴随的泛黄(图9(B))。掺杂1–4的CHDA–BAPP薄膜降低的T400值清楚地反映了发色体的存在及其吸收。掺杂膜的颜色范围从淡黄到黄色(图9(B))。与上述溶液中的吸收相似,嵌入CHDA-BAPP的三嗪1-4在390-430nm处出现一个最长波长吸收带,高能带(<320nm)与PI骨架的吸收重叠(图S30)。吸收最大值与在THF测得的几乎相同,并遵循溶液中观察到的相同趋势。

图9.在日光下(B)和254nm照射下(C),PI薄膜的透射率(A),CHDA-BAPP和掺杂1-4的薄膜的颜色(红色编号),薄膜的发射光谱(D)。光谱和天然薄膜(CHDA-BAPP掺杂0.1%的1-4)与参考Kapton薄膜一起显示。

图S30.掺杂0.1%1-4的CHDA-BAPP薄膜的吸收光谱。

结论
基于均三嗪中心受体、三个N,N-二苯基-氨基供体和一个系统变化长度的p-连接基,合成了一系列星形向心推拉型发色团,并进行了进一步的研究。这些发色体表现出超过300℃的热稳定性,而电化学揭示了三嗪核的可逆还原和周围氨基给体的动力学不可逆氧化。在实验和理论上都观察到了通过延伸π-体系来调节HOMO-LUMO能隙以及通过额外的烯属亚单元来平面化的明显趋势。在各种溶剂中筛选了基本的单光子和双光子吸收和发射性质,并记录了明显的分子内电荷转移带。发色团的发射光谱显示出一个分辨良好的谱带,其位置强烈地受发色团结构和使用环境的影响。揭示了非平面和平面发色团的单指数和双指数荧光动力学。平面性和π系统延伸也影响双光子吸收性质,后者显示出显著增强的2PA活性,达到1000GM。
将合成的发色团进一步嵌入到由1,2,4,5-环己烷四羧酸二酐和2,2-双[4-(4-氨基苯氧基)苯基]-丙烷制备的聚酰亚胺薄膜中。与基准Kapton相比,这些聚酰亚胺薄膜具有良好的光学透明性,热稳定性可持续高达450℃,可用作近紫外和可见光区发色团的聚合物基质。虽然非平面发色团的膜在蓝色区域发射,但是平面化和π-连接体延伸将发射转移到黄色/绿色区域。总之,开发的三嗪衍生的三脚架发色团1-4被证明是多功能的有机材料,表现出优异的2PA活性,可用于制备高质量的发射聚酰亚胺薄膜。

文章来源:J. Mater. Chem. C
翻译:王超悦
以下内容与上述内容非同一篇,仅作为行业资讯展开,非严谨之处,请见谅,内容来自网络,侵删。版权归原作者所有,本公众号发表仅供科普和交流,欢迎大家阅读和留言,谢谢大家
文章链接:https://doi.org/10.1039/d3tc00877k


合成了一种脂环族四羧酸二酐——八氢-2,3,6,7-蒽四羧酸二酐(OHADA)以获得新型无色聚酰亚胺(PIs)。本文描述了OHADA原型的脱色方法和简化整个过程的方法,并提出了OHADA的一种可能的立体结构。OHADA和2,2′-双(三氟甲基)联苯胺的加聚反应不成功;具体而言,即使在长时间搅拌后,反应混合物仍保持不均匀。然而,改进的一锅法适用于OHADA/TFMB系统。分离出的PI粉末形式,以及其他基于OHADA的PI粉末形式,在多种溶剂中高度可溶,并提供具有高固体含量(20–30wt%)的均匀稳定的溶液。溶液浇铸产生具有非常高的玻璃化转变温度(Tg~300℃)的无色且可延展的PI膜。此外,与其他相关的TFMB衍生的半脂环族聚酰亚胺相比,OHADA/TFMB体系表现出显著的热稳定性。然而,与我们的预期相反,这种PI膜没有表现出低的线性热膨胀系数(CTE)。这种聚酰亚胺薄膜还具有优良的热塑性,可能反映了其特殊的空间结构。使用含酰胺的二胺显著提高了Tg(355℃),并在一定程度上降低了CTE(41.5ppmk-1),同时保持了高光学透明度和优异的溶解性。

OHADA原型的合成
OHADA根据反应方案(图1)合成,将均四甲苯的甲基四溴化,得到1,2,4,5-四基(溴甲基)苯(TBrMB),然后在碘化钠存在下进行TBrMB和马来酸酐(MAn)的Diels-Alder反应。认为Diels-Alder反应是通过卤素交换生成的活性中间体1,2,4,5-四甲基(碘甲基)苯发生的。详细的合成步骤如下所述:

图1:OHADA合成的反应方案。
酰胺型二胺的合成
根据反应方案(图2)合成了一种酰胺型二胺(AB-TFMB),如我们之前的研究所述。发现:C,60.00;H,3.87;N,9.98。结果表明,该产物为理想的二胺(AB-TFMB)。

图2:合成酰胺型二胺(AB-TFMB)的反应方案。
聚合、酰亚胺化和聚酰亚胺薄膜制备
聚合、酰亚胺化和薄膜制备通过三种不同的途径进行(图3):常规两步法(路线T)、化学亚胺化法(路线C)和改进的一锅工艺法(路线R)。

图3:经由不同路线的聚合、酰亚胺化和膜制备方法的方案:(T)两步法,(C)溶液中的化学酰亚胺化方法,和(R)在催化剂存在下通过回流反应混合物的一锅工艺法。
两步过程(T)包括多加成、合成的PAAs的溶液铸造和PAA铸膜的热亚胺化。将四羧基二酐粉(1mmol)加入初始固体含量为30wt%的N-甲基-2-吡咯烷酮(NMP)溶液中,总固体含量为30%,室温下连续磁搅拌72h。在多加成过程中,用最小数量的相同溶剂逐渐稀释反应混合物,以确保有效的磁搅拌。将合成的PAA溶液适当稀释,将棒涂在玻璃基板上,并在空气对流烘箱中在80◦C下干燥2小时。得到的PAA膜在200◦C下+300◦C热固化1小时,然后在300◦C下退火1小时,以去除残余应力。


化学亚胺化过程(C)包括PAAs在溶液中的化学亚胺化、PI粉末的分离、PI粉末在新鲜溶剂中的再溶解以及通过溶液壳管形成PI膜。在PAA溶液中逐渐加入环脱水剂[乙酸酐(Ac2O)/吡啶(7/3,v/v)],以固定摩尔比[Ac2O]/PAA=5的PAA溶液,在密封瓶中室温连续搅拌12h。该过程仅适用于高可溶性PI体系,否则为凝胶或沉淀,从而防止在反应过程中发生后续的铸造过程。将合成的均相反应混合物用相同的溶剂适当稀释,并逐渐倒入大量的不良溶剂(甲醇或水)中。通过过滤收集形成的纤维白色沉淀,在100◦C下真空干燥12小时,然后在高固体含量(20-30wt%)的新鲜无水γ-丁内酯(GBL)中重新溶解。除非另有规定,PI薄膜的制备方法如下。将获得的均匀PI溶液涂在玻璃基底上,在80◦C中干燥2小时,然后在150◦C下加热0.5h+200◦C,0.5h+250◦C在真空下加热1小时。然后将PI薄膜(通常为20µm厚)在没有衬底的情况下,在250◦C下退火1小时,以去除残余应力。
改进的一锅工艺(R)通常适用于多加成反应性较差的体系。然而,仅适用于高可溶性PI体系,以避免一锅过程中的凝胶化或沉淀。该过程包括在催化剂存在下的溶液中缩聚,PI粉末的分离,PI粉末在新鲜溶剂中的重新溶解,以及通过溶液壳体形成PI膜。一锅缩聚在一个四颈可分离烧瓶中进行,配有干氮气入口和出口连接到硅油密封起泡器、冷凝器、迪恩-斯塔克陷阱和一个专门设计的机械搅拌器(中村科学仪器工业,UZ-SM1)。由于内部搅拌杆和外部磁转子之间的非接触磁耦合机构,这种混合装置具有完美的密封性。二胺(2mmol)和催化剂在100◦C的GBL中溶解在上述可分离的烧瓶中。在其中一部分加入OHADA粉末(2mmol)后,将初始总固体含量为30或40wt%的反应混合物快速加热至200◦C,并在氮气气氛中连续搅拌4小时。在反应过程中,用最低数量的GBL逐渐稀释反应混合物,以确保有效的机械混合。反应结束后,从均质PI溶液中分离纤维PI粉,在新鲜GBL中重新溶解。PI膜通过溶液铸造和退火,以上述相同的方式制备(见通过路线C的膜制备条件)。在某些情况下,通过微调,优化了薄膜制备过程中的热条件,以获得更好的PI薄膜质量。
在本研究中,PAA和PI体系的化学组成用单体组分的缩写表示[四羧基二酐(A)和二胺(B)]作为A/B作为均聚物,A1;A2/B作为共聚物。

结果与讨论
热稳定性
使用具有刚性和线性结构的TFMB(#2)通过改进的一锅法提供了无色的PI膜。这种PI的一个特点是它的热稳定性。图14a比较了由一个固定的二胺(TFMB)和不同的环脂肪族四羧酸二酐衍生出来的相关PIs的Td5(N2)值。热稳定性增加的顺序如下:HTA-HQ/TFMB<CBDA/TFMB<H-PMDA/TFMB<<OHADA/TFMB。HTA-HQ/TFMB薄膜的最低热稳定性与键合能相对较低的酯基团的存在有关。CBDA/TFMB薄膜相对较低的热稳定性可能是由于CBDA结构的中心环丁烷单元中的环状应变所致。HPMDA/TFMB薄膜(#9)的热稳定性高于基于CBDA的同类薄膜的热稳定性,这是因为前者中没有环应变的中心六元环己烷单元。OHADA/TFMB薄膜的最高热稳定性可能与OHADA结构中的两个环己烷单元和中心苯单元的缩合结构有关。

图14:从TFMB和各种脂环族四羧酸二酐获得的PI膜的N2中的Td5)和Tg(通过DMA)(B):(A)HTA-HQ,(B)CBDA,(C)H-PMDA,和(D)OHADA。
热塑性
利用DMA评价了基于OHADA的PIs的热塑性。我们之前证明了PI薄膜的热塑性与玻璃化转变的陡度密切相关,可以通过DMA(频率:0.1Hz)曲线的最大斜率(−dlogE′/dT)来评估。例如,可注射可塑双酚a型聚(乙酰亚胺)ULTEM1000具有非常高的热塑性指数(−dlogE′/dT=0.65),而典型的非热塑性PIs-BPDA/对苯二胺具有非常低的热塑性指数(0.008)。
图16为OHADA/TFMB薄膜(#2,R)的DMA曲线,并与CBDA/TFMB系统(T)的DMA曲线进行比较。OHADA/TFMB薄膜在Tg以上的E0曲线突然下降,没有橡胶高原区域,如图16a所示。这与它的高热塑性指数(0.21)相对应。这一结果可能与近链堆积的中断和分子间力的减弱有关。相比之下,CBDA/TFMB薄膜的E0曲线在Tg以上逐渐下降(图16b),其热塑性指数要低得多(0.030)。这反映了它的曲柄-轴状,相对线性的链结构。

图16:聚酰亚胺薄膜的DMA曲线和热塑性指数(-dlogE′/dT):(a)OHADA/TFMB和(b)CBDA/TFMB系统。
在OHADA/TFMB系统中观察到的这些特征(即组合性能(非着色+高Tg+优异的热塑性和溶解度))在光学透明的PIs中几乎是前所未有的。这可能归因于OHADA独特的(阶梯状的+高度扭曲)的空间结构。

结论
通过硬脑烯的四溴化和随后的四溴和马来酸酐的Diels-Alder反应,合成了一种新型的环脂肪族四羧酸二酐(OHADA),克服了无色PIs结构修饰和性能改进的问题。OHADA原型具有足够高的化学纯度,尽管它的颜色很强烈。OHADA原型与4,4′-ODA具有较高的多加成反应活性,形成了具有较高分子量的PAA。然而,PAA铸膜的热亚胺化导致了强烈的PI膜。
因此,OHADA使新的溶液可处理无色PIs具有优异的组合性能,作为潜在的光电材料。

翻译:罗丽莎
文章来源:Macromol 2023, 3, 175–199.
文章链接:https://doi.org/10.1039/d3tc00877k


制备了四个基于均三嗪中心受体和三个氨基供体末端支链的向心(D–π–)3–A生色团。这些发色团被证明在高达300℃的温度下是热稳定的,具有可调的HOMO-LUMO能隙(3.02-2.51eV),最大吸收/发射波长在390-427/485-551nm范围内。基于发色团结构和使用环境,观察到相对较大的斯托克斯位移高达8000cm-1,量子产率高达78%,荧光寿命在2-4ns之间。一般来说,改变π-接头被证明是调节这些发色团基本性质的非常有用的策略。双光子吸收测量显示良好到极好的截面达到1000GM。进一步制备了掺杂发色团(0.1%)的高质量和良好透明的聚酰亚胺薄膜,并且在蓝色和黄/绿色区域显示出明亮的发射

结果与讨论
合成

图1.向心三嗪发色团1–4的分子结构。

方案1.TPA-BIA-NH2(a)和TPA-BIB-NH2(b)的合成路线。


热稳定性
通过DSC和TGA研究制备的聚酰亚胺膜的基本热性能,如表3所示。考虑到发生5%重量损失(T5%d)时的温度,所制备的聚酰亚胺CHDA-BAPP证明在高达450℃时具有高度的热稳定性。与结构相关的市售Kapton(T5%d=556℃)相比,CHDA-BAPP能够承受更少的热应力,这归因于CHDA的脂肪族核心(环己烯对苯)和BAPP中存在的额外(CH3)2C部分。根据表3中的热数据判断,在CHDA-BAPP中引入三嗪发色体1-4(0.1%)后,其热性能变化很小,玻璃化转变温度(Tg)和T5%d几乎保持不变(因为聚酰亚胺主链)。

表3.聚酰亚胺薄膜的热学和光学性质。
光学特性
通过电子吸收、透射和发射光谱评估PI膜的光学性质(图9);基本参数如表3所示。根据图9(A)中所示的透射率,与Kapton相比,CHDA-BAPP的光学窗口明显宽了近200nm(λcut-off295vs470nm)。CHDA-BAPP的这一光学特性源于其部分脂肪族结构,允许其用作在近紫外和可见区发射荧光团的聚合物基质。与黄橙色Kapton相反,纯CHDA-BAPP几乎完全透明,没有伴随的泛黄(图9(B))。掺杂1–4的CHDA–BAPP薄膜降低的T400值清楚地反映了发色体的存在及其吸收。掺杂膜的颜色范围从淡黄到黄色(图9(B))。与上述溶液中的吸收相似,嵌入CHDA-BAPP的三嗪1-4在390-430nm处出现一个最长波长吸收带,高能带(<320nm)与PI骨架的吸收重叠(图S30)。吸收最大值与在THF测得的几乎相同,并遵循溶液中观察到的相同趋势。

图9.在日光下(B)和254nm照射下(C),PI薄膜的透射率(A),CHDA-BAPP和掺杂1-4的薄膜的颜色(红色编号),薄膜的发射光谱(D)。光谱和天然薄膜(CHDA-BAPP掺杂0.1%的1-4)与参考Kapton薄膜一起显示。

图S30.掺杂0.1%1-4的CHDA-BAPP薄膜的吸收光谱。

结论
基于均三嗪中心受体、三个N,N-二苯基-氨基供体和一个系统变化长度的p-连接基,合成了一系列星形向心推拉型发色团,并进行了进一步的研究。这些发色体表现出超过300℃的热稳定性,而电化学揭示了三嗪核的可逆还原和周围氨基给体的动力学不可逆氧化。在实验和理论上都观察到了通过延伸π-体系来调节HOMO-LUMO能隙以及通过额外的烯属亚单元来平面化的明显趋势。在各种溶剂中筛选了基本的单光子和双光子吸收和发射性质,并记录了明显的分子内电荷转移带。发色团的发射光谱显示出一个分辨良好的谱带,其位置强烈地受发色团结构和使用环境的影响。揭示了非平面和平面发色团的单指数和双指数荧光动力学。平面性和π系统延伸也影响双光子吸收性质,后者显示出显著增强的2PA活性,达到1000GM。
将合成的发色团进一步嵌入到由1,2,4,5-环己烷四羧酸二酐和2,2-双[4-(4-氨基苯氧基)苯基]-丙烷制备的聚酰亚胺薄膜中。与基准Kapton相比,这些聚酰亚胺薄膜具有良好的光学透明性,热稳定性可持续高达450℃,可用作近紫外和可见光区发色团的聚合物基质。虽然非平面发色团的膜在蓝色区域发射,但是平面化和π-连接体延伸将发射转移到黄色/绿色区域。总之,开发的三嗪衍生的三脚架发色团1-4被证明是多功能的有机材料,表现出优异的2PA活性,可用于制备高质量的发射聚酰亚胺薄膜。

文章来源:J. Mater. Chem. C
翻译:王超悦





文章链接:https://doi.org/10.1039/d3tc00877k


合成了一种脂环族四羧酸二酐——八氢-2,3,6,7-蒽四羧酸二酐(OHADA)以获得新型无色聚酰亚胺(PIs)。本文描述了OHADA原型的脱色方法和简化整个过程的方法,并提出了OHADA的一种可能的立体结构。OHADA和2,2′-双(三氟甲基)联苯胺的加聚反应不成功;具体而言,即使在长时间搅拌后,反应混合物仍保持不均匀。然而,改进的一锅法适用于OHADA/TFMB系统。分离出的PI粉末形式,以及其他基于OHADA的PI粉末形式,在多种溶剂中高度可溶,并提供具有高固体含量(20–30wt%)的均匀稳定的溶液。溶液浇铸产生具有非常高的玻璃化转变温度(Tg~300℃)的无色且可延展的PI膜。此外,与其他相关的TFMB衍生的半脂环族聚酰亚胺相比,OHADA/TFMB体系表现出显著的热稳定性。然而,与我们的预期相反,这种PI膜没有表现出低的线性热膨胀系数(CTE)。这种聚酰亚胺薄膜还具有优良的热塑性,可能反映了其特殊的空间结构。使用含酰胺的二胺显著提高了Tg(355℃),并在一定程度上降低了CTE(41.5ppmk-1),同时保持了高光学透明度和优异的溶解性。

OHADA原型的合成
OHADA根据反应方案(图1)合成,将均四甲苯的甲基四溴化,得到1,2,4,5-四基(溴甲基)苯(TBrMB),然后在碘化钠存在下进行TBrMB和马来酸酐(MAn)的Diels-Alder反应。认为Diels-Alder反应是通过卤素交换生成的活性中间体1,2,4,5-四甲基(碘甲基)苯发生的。详细的合成步骤如下所述:

图1:OHADA合成的反应方案。
酰胺型二胺的合成
根据反应方案(图2)合成了一种酰胺型二胺(AB-TFMB),如我们之前的研究所述。发现:C,60.00;H,3.87;N,9.98。结果表明,该产物为理想的二胺(AB-TFMB)。

图2:合成酰胺型二胺(AB-TFMB)的反应方案。
聚合、酰亚胺化和聚酰亚胺薄膜制备
聚合、酰亚胺化和薄膜制备通过三种不同的途径进行(图3):常规两步法(路线T)、化学亚胺化法(路线C)和改进的一锅工艺法(路线R)。

图3:经由不同路线的聚合、酰亚胺化和膜制备方法的方案:(T)两步法,(C)溶液中的化学酰亚胺化方法,和(R)在催化剂存在下通过回流反应混合物的一锅工艺法。
两步过程(T)包括多加成、合成的PAAs的溶液铸造和PAA铸膜的热亚胺化。将四羧基二酐粉(1mmol)加入初始固体含量为30wt%的N-甲基-2-吡咯烷酮(NMP)溶液中,总固体含量为30%,室温下连续磁搅拌72h。在多加成过程中,用最小数量的相同溶剂逐渐稀释反应混合物,以确保有效的磁搅拌。将合成的PAA溶液适当稀释,将棒涂在玻璃基板上,并在空气对流烘箱中在80◦C下干燥2小时。得到的PAA膜在200◦C下+300◦C热固化1小时,然后在300◦C下退火1小时,以去除残余应力。


化学亚胺化过程(C)包括PAAs在溶液中的化学亚胺化、PI粉末的分离、PI粉末在新鲜溶剂中的再溶解以及通过溶液壳管形成PI膜。在PAA溶液中逐渐加入环脱水剂[乙酸酐(Ac2O)/吡啶(7/3,v/v)],以固定摩尔比[Ac2O]/PAA=5的PAA溶液,在密封瓶中室温连续搅拌12h。该过程仅适用于高可溶性PI体系,否则为凝胶或沉淀,从而防止在反应过程中发生后续的铸造过程。将合成的均相反应混合物用相同的溶剂适当稀释,并逐渐倒入大量的不良溶剂(甲醇或水)中。通过过滤收集形成的纤维白色沉淀,在100◦C下真空干燥12小时,然后在高固体含量(20-30wt%)的新鲜无水γ-丁内酯(GBL)中重新溶解。除非另有规定,PI薄膜的制备方法如下。将获得的均匀PI溶液涂在玻璃基底上,在80◦C中干燥2小时,然后在150◦C下加热0.5h+200◦C,0.5h+250◦C在真空下加热1小时。然后将PI薄膜(通常为20µm厚)在没有衬底的情况下,在250◦C下退火1小时,以去除残余应力。
改进的一锅工艺(R)通常适用于多加成反应性较差的体系。然而,仅适用于高可溶性PI体系,以避免一锅过程中的凝胶化或沉淀。该过程包括在催化剂存在下的溶液中缩聚,PI粉末的分离,PI粉末在新鲜溶剂中的重新溶解,以及通过溶液壳体形成PI膜。一锅缩聚在一个四颈可分离烧瓶中进行,配有干氮气入口和出口连接到硅油密封起泡器、冷凝器、迪恩-斯塔克陷阱和一个专门设计的机械搅拌器(中村科学仪器工业,UZ-SM1)。由于内部搅拌杆和外部磁转子之间的非接触磁耦合机构,这种混合装置具有完美的密封性。二胺(2mmol)和催化剂在100◦C的GBL中溶解在上述可分离的烧瓶中。在其中一部分加入OHADA粉末(2mmol)后,将初始总固体含量为30或40wt%的反应混合物快速加热至200◦C,并在氮气气氛中连续搅拌4小时。在反应过程中,用最低数量的GBL逐渐稀释反应混合物,以确保有效的机械混合。反应结束后,从均质PI溶液中分离纤维PI粉,在新鲜GBL中重新溶解。PI膜通过溶液铸造和退火,以上述相同的方式制备(见通过路线C的膜制备条件)。在某些情况下,通过微调,优化了薄膜制备过程中的热条件,以获得更好的PI薄膜质量。
在本研究中,PAA和PI体系的化学组成用单体组分的缩写表示[四羧基二酐(A)和二胺(B)]作为A/B作为均聚物,A1;A2/B作为共聚物。

结果与讨论
热稳定性
使用具有刚性和线性结构的TFMB(#2)通过改进的一锅法提供了无色的PI膜。这种PI的一个特点是它的热稳定性。图14a比较了由一个固定的二胺(TFMB)和不同的环脂肪族四羧酸二酐衍生出来的相关PIs的Td5(N2)值。热稳定性增加的顺序如下:HTA-HQ/TFMB<CBDA/TFMB<H-PMDA/TFMB<<OHADA/TFMB。HTA-HQ/TFMB薄膜的最低热稳定性与键合能相对较低的酯基团的存在有关。CBDA/TFMB薄膜相对较低的热稳定性可能是由于CBDA结构的中心环丁烷单元中的环状应变所致。HPMDA/TFMB薄膜(#9)的热稳定性高于基于CBDA的同类薄膜的热稳定性,这是因为前者中没有环应变的中心六元环己烷单元。OHADA/TFMB薄膜的最高热稳定性可能与OHADA结构中的两个环己烷单元和中心苯单元的缩合结构有关。

图14:从TFMB和各种脂环族四羧酸二酐获得的PI膜的N2中的Td5)和Tg(通过DMA)(B):(A)HTA-HQ,(B)CBDA,(C)H-PMDA,和(D)OHADA。
热塑性
利用DMA评价了基于OHADA的PIs的热塑性。我们之前证明了PI薄膜的热塑性与玻璃化转变的陡度密切相关,可以通过DMA(频率:0.1Hz)曲线的最大斜率(−dlogE′/dT)来评估。例如,可注射可塑双酚a型聚(乙酰亚胺)ULTEM1000具有非常高的热塑性指数(−dlogE′/dT=0.65),而典型的非热塑性PIs-BPDA/对苯二胺具有非常低的热塑性指数(0.008)。
图16为OHADA/TFMB薄膜(#2,R)的DMA曲线,并与CBDA/TFMB系统(T)的DMA曲线进行比较。OHADA/TFMB薄膜在Tg以上的E0曲线突然下降,没有橡胶高原区域,如图16a所示。这与它的高热塑性指数(0.21)相对应。这一结果可能与近链堆积的中断和分子间力的减弱有关。相比之下,CBDA/TFMB薄膜的E0曲线在Tg以上逐渐下降(图16b),其热塑性指数要低得多(0.030)。这反映了它的曲柄-轴状,相对线性的链结构。

图16:聚酰亚胺薄膜的DMA曲线和热塑性指数(-dlogE′/dT):(a)OHADA/TFMB和(b)CBDA/TFMB系统。
在OHADA/TFMB系统中观察到的这些特征(即组合性能(非着色+高Tg+优异的热塑性和溶解度))在光学透明的PIs中几乎是前所未有的。这可能归因于OHADA独特的(阶梯状的+高度扭曲)的空间结构。

结论
通过硬脑烯的四溴化和随后的四溴和马来酸酐的Diels-Alder反应,合成了一种新型的环脂肪族四羧酸二酐(OHADA),克服了无色PIs结构修饰和性能改进的问题。OHADA原型具有足够高的化学纯度,尽管它的颜色很强烈。OHADA原型与4,4′-ODA具有较高的多加成反应活性,形成了具有较高分子量的PAA。然而,PAA铸膜的热亚胺化导致了强烈的PI膜。
因此,OHADA使新的溶液可处理无色PIs具有优异的组合性能,作为潜在的光电材料。

翻译:罗丽莎
文章来源:Macromol 2023, 3, 175–199.









文章链接:https://doi.org/10.3390/polym15122609


聚酰亚胺泡沫塑料(PIF)是航空航天隔热、军事吸声等高端应用领域的后起之秀。然而,PIF的分子主链设计和均匀成孔的基本规律仍有待探索。本工作以3,3',4,4'-二苯甲酮四羧酸二酐(BTDE)的醇解酯与不同链柔性和构象对称性的芳香二胺为原料,合成了聚酯铵盐(PEAS)前驱体粉末。然后,使用标准的“逐步加热”热发泡方法来制备具有综合性能的PIF。基于对加热过程中气孔形成的原位观察,设计了合理的热发泡方案。所制备的PIFs具有均匀的孔结构,其中PIFBTDA-PDA具有最小的尺寸(147μm)和较窄的分布。有趣的是,PIFBTDA-PDA还呈现平衡的应变恢复率(SR=91%)和机械坚固性(在25%应变下为0.051MPa),并且其孔结构在10次压缩-恢复循环后保持规整性,这主要是由于链的高刚性。此外,所有PIFs具有轻质特性(15–20kg·m-3)、良好的耐热性(Tg为270–340°C)、热稳定性(T5%为480–530°C)、隔热性能(20°C时λ=0.046-0.053W·m-1K-1,200°C时λ=0.078-0.089W·m-1K-1)和优异阻燃性(LOI>40%)。所报道的单体介导孔结构控制策略可为高性能PIF的制备及其工业应用提供指导。


聚合物泡沫是一种基于聚合物树脂的具有大量内部孔隙的多孔材料,因其具有低密度、高比强度、耐腐蚀、耐溶剂、隔热等优异性能而备受关注。传统的聚合物泡沫包括聚氯乙烯(PVC)泡沫、聚乙烯(PE)泡沫、聚苯乙烯(PS)泡沫、聚氨酯(PU)泡沫等。许多聚合物泡沫材料已经用于房屋建筑领域,用于隔热、吸声和降噪。随着经济、社会和科学技术的发展,人们对聚合物泡沫材料的安全性、稳定性和功能性的要求越来越高,传统的聚合物泡沫已经不能满足人们的要求。
本研究选用廉价的二酐和二胺单体,采用两步粉末热发泡法制备轻质、耐高温、隔热、阻燃的PIFs。将二酐固定为3,3',4,4'-二苯甲酮四羧酸二酐(BTDA),化学改性为醇解酯(BTDE)。选择5种具有不同链柔性和构象对称性的二胺单体与BTDE进一步反应,形成聚酯铵盐前驱体(PEAS)粉末。利用光学显微镜对原位微发泡过程进行了(,设计了优化的发泡工艺。然后,我们通过详细的分子链柔性和发泡动力学讨论了所选单体如何影响PIFs的孔结构和最终力学性能。通过这种方式,进一步阐明了一般的热发泡原理,当然有助于精细调节PIFs的多尺度孔结构。此外,还比较了不同PIFs的耐热性、热稳定性、隔热性和阻燃性等物理性能。通过对其综合性能的分析,可以清楚地看到其在特殊工况或工业中的应用潜力,为高性能PIFs的工业化生产提供指导。为今后更稳定地制备和开发更耐热的聚酰亚胺泡沫材料提供了坚实的理论和实践基础。


聚酯铵前驱体粉末的合成及泡沫的制备
在氮气保护下,先将适量的无水乙醇加入到浸在70℃油浴中的三口烧瓶中,然后在连续机械搅拌和冷却回流下加入BTDA(32.22g,0.1mol)和开环催化剂2-MI(0.03g),反应2h,得到3,3',4,4'-二苯甲酮四羧酸二酯(BTDE)。直至溶液由白色逐渐变为淡黄色。此时,加入等摩尔二胺ODA、MDA、MPD、DDS或PDA,进一步搅拌2小时,然后加入硅油AK8805(0.5ml)作为表面活性剂20分钟以获得五种不同的聚酯铵盐(PEAS)前体溶液。反应完成后,通过旋转蒸发得到所得的豌豆粉末。在热发泡之前,最后将豌豆粉末研磨并过筛以获得精细的粉末尺寸。由于DDS中的砜基与乙醇之间存在潜在的氢键作用,且该分子容易与乙醇中的稠环形成氢键,因此对PEASBDTA-DDS前驱体粉末进行了两次干燥。
在热发泡过程中,首先将PEAS粉末铺在石墨板上,然后将其一起转移到控温烘箱中,同时进行亚胺化和热发泡。烘箱在预设的加热协议下编程,即,首先预先升温至160℃预热粉末,然后升温至220℃并恒温1小时,最后再升温至300℃并恒温1小时,完成分步加热热发泡过程。此外,对PIFBTDA-DDS的成型工艺进行了微调,并将其置于室温烘箱中完成预热程序。相关制备过程如图1所示。

图1.不同二胺结构PIFs的合成路线和制备过程:(a)制备过程;(b)合成路线。
特征化
傅里叶变换红外光谱(FTIR)
使用红外光谱仪(NicoletiS50FTIR,ThermoScientific,Massachusetts,USA)光谱仪在衰减全反射(ATR)检测模式下分析PEAS粉末和PIFs的化学结构。测试波数范围从500cm-1到4000cm-1。
扫描电子显微镜(SEM)
使用扫描电子显微镜(VEGA3LMH,Tescan,Brno,Czech)观察豌豆粉末的颗粒形态和不同PIFs的细胞结构。在观察之前,在粉末表面和PIF样品的低温断裂表面上完成金溅射。通过使用ImagePro(Plus6.0)软件测量和计算孔径和孔径分布。
热台光学显微镜
使用配备有热台的光学显微镜(EclipseE400,Nikon,Tokyo,Japan)原位监测PEAS粉末的发泡行为。在10℃/min的恒定升温速率下逐渐升高温度,并使用彩色数码相机记录不同温度下前驱体粉末的形貌。
压缩恢复实验
使用万能试验机(CMT6303,SANS,Shenzhen,China)在室温下测试PIFs的循环压缩-恢复性能。将PIF样品裁剪成30mm×30mm×30mm的立方体。将压头速度设置为3mm/min,并沿平行于细胞生长方向的压缩方向压缩至固定的最大应变60%。将每个样品压缩并释放10个循环。每组PIF样品的试验至少重复5次。基于质量/体积比计算PIFs的表观密度,并计算应变恢复率。

在方程中,SR是应变恢复率,H1是循环压缩后的泡沫高度,H0是循环压缩前的泡沫高度。
差示扫描热量法(DSC)
使用差示扫描量热仪(MettlerDSC3,Mettler-Toledo,Zurich,Switzerland)在简单的加热运行下分析了前体PEAS粉末的同时亚胺化和发泡过程,并且还测量了PIFs的玻璃化转变温度。所有测试均在氮气气氛下进行,加热速率为10℃/min,温度范围为25℃至350℃。
热重分析(TGA)
使用热重分析仪(TG209F3,Netzsch,Selb,Germany)在干燥氮气气氛下以20ml/min的流速收集重量损失。以10℃/min的加热速率将样品从50℃加热至800℃,并记录每个样品的剩余质量。同时,对前驱体粉末进行了热重分析(TGA),以表征粉末中残留溶剂的含量。
阻燃性
使用垂直燃烧测试仪(Zr-02,Shanfang,Qingdao,China)和氧指数测试仪(Zr-01,Shanfang,Qingdao,China)测试泡沫样品的阻燃性能。通过固定泡沫进行垂直燃烧试验样品尺寸为125mm×13mm×6mm,垂直位于甲烷火焰上方10mm处,火焰作用时间为25s。氧指数的测定按照GB/T2406.2-2009进行,试样尺寸为80mm×10mm×10mm。
保温性能
分别在20℃和200℃下,使用热导率仪(DRH-100和DRH-GW,湘科,湘潭,中国)测量PIFs的热导率。测试样品尺寸为50mm×50mm×6mm。为了评估PIFS的隔热性能,使用Testo875-2i红外摄像机(TI480Pro,Fluke,Everett,WA,USA)定期记录200°C热板上加热样品的实时温度分布。
粉末中的残留溶剂含量
将质量为(m1)的前体粉末称重,并在90℃下干燥8小时。然后,再次称重干燥后的质量(m2),前体粉末中的残留溶剂含量表示为(m1-m2)/m1×100%。每种结构的粉末样品测量三次。


FTIR光谱中的特征吸收峰
在图2中,显示了前体粉末的外观及其微观形态的数字照片。由于二胺单体的不同,所制备的粉体呈现不同的颜色;同时,将这些前驱体粉末进行研磨和过150目筛,发现其粒径均小于100μm,但也由于研磨和过筛的原因,粉末的形貌呈现出不规则的块状。研磨和筛分的目的是获得具有较小粒径的前体粉末,以增加其比表面积,因此,我们期望获得更均匀的泡状结构。

图2.PEAS前体粉末的数码照片和SEM图像:(a)PEASBTDA-ODA;(b)PEASBTDA-MDA;(C)PEASBTDA-MPD;(d)PEASBTDA-DDS;(e)PEISBTDA-PDA·
FTIR光谱可以提供关于各种官能团的重要信息。如图3a,b所示,使用FTIR表征了具有不同结构的BTDA、BTDE和PEA的化学结构。图3a显示,BTDAVASC=O和VSC=O中的五元环酐的C=O伸缩振动的特征峰分别位于1855cm-1和1777cm-1,并且特征峰的C-O-C伸缩振动位于1224cm-1,1668cm-1的峰是苯环共轭影响下的酮羰基的特征峰。1720cm-1处的VC=O特征峰和1284cm-1和1240cm-1处的VaSC-O-C特征峰共同证明了酯基的存在,表明BTDA被醇酯化,分子中酸酐的五元环被打开形成BTDE。随后出现的具有2610cm-1附近特征峰的COONH3基团和位于3300和3550cm-1之间的N-H伸缩振动吸收峰表明PEAS的成功合成。

图3.BTDA和BTDE(a)以及PEAS前体粉末(b)的FTIR光谱。
PEAS的微发泡行为及热发泡工艺的优化
为了观察前驱体粉末的发泡过程和熔体的形貌,进而研究制备具有更均匀气泡形貌的PIFs的最佳发泡温度,使用热台偏光显微镜对5种不同二胺结构前驱体粉末的热发泡行为进行了可视化研究,并使用数码彩色相机记录了形貌变化,如图4所示。

图4.PEAS前体粉末的微发泡行为:(a)PEASBTDA-ODA;(b)PEASBTDA-MDA;(c)PEASBTDA-MPD;(d)PEASBTDA-DDS;(e)PEASBTDA-PDA
从显微照片中可以看出,前驱体粉末的发泡过程具有不同二胺结构的泡沫相对相似且一致聚合物泡沫的过程,大致分为三个阶段:(1)介于30-80℃,随着温度的升高,过饱和气体溶解在树脂基体中逐渐转变为气相并迁移到诸如微孔或粉末颗粒内部出现裂纹,形成气泡核;(2)当温度在这个过程中继续上升到200℃,粉末熔化,熔体粘度降低,气体继续从树脂基体中沉淀出来,汇聚到气泡核,气泡克服了液膜的界面张力,外部压力继续增长同时相邻气泡之间挤出合并,泡沫迅速膨胀发生;(3)在200℃之后,粉末酰亚胺,并且当熔体的强度不足以支撑它将破裂的稳定泡沫,最终,在300℃下,泡沫固化并且形状变得稳定。
同时,利用DSC分析了不同结构的前驱体粉末在不同温度下的热变化。在图5a中,前驱体粉末在30-80°C下吸热,粉末中的残留溶剂挥发释放;当发生熔化时,粉末在80-200℃下继续吸热。在前体粉末的情况下,粉末在80-200°C下继续吸热并熔化。200°C后,粉末发生酰亚胺反应,这与前体粉末的微观热发泡行为一致(图4)。将热台偏光显微镜的可视化研究结果与PEAS前驱体粉末的DSC分析相结合,设计了不同结构前驱体粉末的“逐步加热”热发泡工艺,如图5b所示。首先将烘箱预热至160℃,对粉料进行预热,然后将铺好的粉料迅速放入烘箱,烘箱开始按b-c段的升温速率升温至220℃,恒温1h。保温结束后,烘箱按照d-e段的升温速率继续升温至300°C,并继续恒温1h,完成泡沫的后固化,最后自然冷却至室温,得到PIFs。此外,前驱体粉末中的残留溶剂含量对热发泡过程也有重要影响。测量前体粉末中的残留溶剂含量,PEASBTDA-ODA、PEASBTDA-MDA、PEASBTCA-MPD、PEASBTDA-DDS和PEASBTDA-PDA的残留溶剂含量分别为12.65%、13.65%、13.38%、17.62%和12.95%。其中,PEASBTDA-DDS的残留溶剂由于DDS中砜基与乙醇的潜在氢键相互作用,含量最高。D因此,PEASBTDA-DDS前体粉末需要与烘箱同时升温以降低残留溶剂含量,以获得均匀的PIFs,而其余结构如果通过升温发泡则会残留溶剂含量过低,最终导致前体粉末无法发泡。

图5.PEAS的DSC曲线(a)和发泡温度程序设定曲线(b)。
表1.不同结构的PEAS前驱体粉末的残留溶剂含量和发泡升温速率。

PIFs的亚胺化、发泡和泡孔结构

图6.不同二胺结构的PIFs的ATR-FTIR光谱。

图7.不同PIFs的外观照片(a)、SEM图像(b)和孔径分布(c)。
PIFs的孔隙结构规整性与压缩恢复特性


PIFS孔结构和力学性能的分子起源
用差示扫描量热法(DSC)测定了不同二胺结构的PIFs的玻璃化转变温度(Tg),以评价分子主链的刚性。在图9a中,显示了具有不同二胺结构的PIFs的主链片段的构象模型。图9b显示,测得的PIFBTDA-ODA、PIFBTDA-MDA、PIFBTDA-MPD、PIFBTDA-DDS和PIFBTDA-PDA的Tg分别为271.3℃、277.9℃、302.8℃、327.1℃和340.4℃。结果表明,由于所选二胺的链柔性不同,所制备的PIFs具有不同的链刚性,其顺序为PDA>DDS>MPD>MDA>ODA。本文中,PIFs的Tg增加表明链刚度有效增加,从而赋予PIFBTDA-PDA·高的机械强度和良好的孔结构规整性。

图9.具有不同二胺结构的PIFs的主链片段的构象模型(a)和DSC曲线(b)。
PIFs的热稳定性和隔热性能
采用TGA对PIFs的热稳定性进行表征,如图10所示,结果显示,在480~530°C之间发生5%的质量损失(T5%),表明所有PIFs都具有较高的热稳定性。不同链结构的PIFs的T5%值大小顺序为:PIFBTDA-PDA(526.9°C)>PIFBTDA-DDS(523.3°C)>PIFBTDA-MPD(493.3°C)>PIFBTDA-MDA(492.7°C)>PIFBTDA-ODA(487.1°C)。类似地,在DTG图中可以看出,所有五种PIF的Tmax都在570°C以上,并且五种二胺的Tmax是材料热失重速率最快的温度。在所研究的样品中,PIFBTDA-PDA表现出最高的T5%和T0%值,表明其具有最好的热稳定性。

图10.具有不同二胺结构的PIFs的TGA(a)和DTG(b)曲线。
导热系数是评价材料隔热性能的关键指标之一。在图11中,分别使用室温和高温热导率测试仪在20°C和200°C下测试了PIFs的热导率。所有PIFs的室温热导率约为0.05W·m-1·K-1,其足够低并显示出良好的热绝缘和绝热性能。在200°C时,热导率略有增加,约为0.08W·m⁻1·k-1,表明PIFs在高温下仍能保持良好的隔热性能。此外,还发现二胺的刚性通常有利于提高PIFs的热导率,但由于PIFBTDA-PDA具有最小的平均孔径和最窄的孔径分布,因此PIFBTDA-PDA的热导率降低。因此,PIFBTDA-PDA热导率的降低可归因于孔结构的规则性和较高的气体密度以抑制热传递。

图11.PIFs在20℃和200℃时的热导率。
此外,将PIFs放置在200°C的热板上,并使用红外相机进行实时成像检查其隔热性能(图12)。每隔常规时段从泡沫侧面检测泡沫温度的变化,发现经过长时间热扩散后,泡沫上表面温度处于30~60°C的低温区间。加热300s后,PIFBTDA-ODA、PIFBTDA-MDA、PIFBTDA-MPD、PIBBTDA-DDS和PIFBTDA-PDA的上表面温度分别升高了10.6°C、10.9°C、13.9°C、13.8°C和7.1°C。所有PIFs均表现出优异的隔热性能,其中PIFBTDA-PDA表现出最好的隔热性能,这与测试的热导率一致。上述研究表明,这些轻质、柔性的PIFs可广泛应用于航空航天、轨道交通等领域的隔热。

图12.放置在200°C热台上5分钟的PIFS侧面的红外热图像。
表3.由不同二胺合成的PIFs的热性能和极限氧指数(LOI)。

如表4所示,与现有文献报道的PIFs相比,所制备的PIFs在耐热性、热稳定性、阻燃性和机械性能方面表现出更好的性能。与文献中的PIFBTDA-MDA相比,本研究中相同分子结构的PIFs在200°C时具有更高的Tg值和更低的热导率,表明其具有更好的耐热性和隔热性。此外,所制备的PIFs在阻燃性、耐热性和热稳定性方面明显优于基于异氰酸酯的PIFs。其中,PIFBTDA-PDA的Tg达到340°C,热失重率超过520°C,LOI>42%。结果表明,与改性的PIFBTDA-ODA/graphene相比,未改性的PIFBTDA-PDA仍具有综合性能,包括耐热性、热稳定性和成本控制。因此,本研究制备的PIFs可大规模制备轻质、耐热、隔热和阻燃材料,具有良好的孔结构和力学性能。
表4.聚酰亚胺泡沫的各种性能。




简户仪器——环境试验设备专家
我们是国家高新技术企业
具有3项国家标准起草与制定
40+件原创知识产权
6次获得上海科技型中小企业
3200+家合作客户
主要产品:
盐雾箱系列、振动试验机、恒温恒湿箱、机械冲击机冷热冲击机以及跌落试验机。













