
力学与我们的生活息息相关,大到航空航天、小到随处可见的工具(例如扳手)其中都有或多或少的力学知识。
而作为高等教育其中一环的大学课程更是如此,那么让我们看看测控技术与仪器专业课程中都有什么力学知识吧!
测控技术与仪器
测控技术与仪器专业以信息获取与信息应用为中心,以数理知识为基础,培养学生掌握信息获取理论与方法、精密机械与仪器设计、测试信号处理技术、智能控制理论与方法等相关基础知识,掌握信息获取、传输、处理和应用的基本技术与方法,具有研究、设计、开发和应用测控系统的基本技能。
能量变换
在实际应用中,存在六种基本的能量类型,即机械、热、磁、电、化学和辐射。其中机械能量的信号形式包括位置、速度、加速度、应力、力矩、动量等。什么是应力和力矩呢?
应力:物体由于外因(受力、湿度、温度场变化等)而变形时,在物体内各部分之间产生相互作用的内力,单位面积上的内力称为应力。同截面垂直的称为正应力或法向应力,同截面相切的称为剪应力或切应力。

力矩:力矩表示力对物体作用时所产生的转动效应的物理量。力和力臂的乘积叫做力对转动轴的力矩。

应变效应
金属导体或半导体材料制成的电阻体,当收到外力作用时,它的电阻值会发送变化,其相对变化量为:

应变:物体在受到外力作用下会产生一定的变形,变形的程度称应变。应变有正应变(线应变),切应变(角应变)及体应变。
泊松比:指材料在单向受拉或受压时,横向正应变与轴向正应变的比值,它是反映材料横向变形的弹性常数。
应变式传感器
应变式传感器的基本工作原理:当被测物理量作用在弹性元件上,弹性元件在力、力矩或压力等的作用下发生变形,变换成相应的应变或位移,然后传递给与之相连的应变片,将引起应变敏感元件的电阻值发生变化,通过转换电路变成电量输出。输出的电量大小反映了被测物理量的大小。
应变片:由敏感栅等构成用于测量应变的元件。
电阻应变片的工作原理:基于应变效应制作,即导体或半导体材料在外界力的作用下产生机械变形时,其电阻值相应的发生变化,这种现象称为“应变效应”。

电阻应变片
应变式传感器的应用
应变式力传感器:被测物理量为载荷或力的应变式传感器。
应变式压力传感器:主要用于测量流动介质的动态或者静态压力。
应变式加速度传感器:用于测量物体的加速度。
精密机械设计的强度问题
强度:强度是零件抵御外载荷作用的能力。在精密机械设计中,考虑精度要求时必须首先保证强度。任何一个机械类的零件和部件,在工作时首先必须保证有足够的强度。强度不足时,零件将发生断裂造成整体破坏,或产生塑性变形,使整个零件丧失工作能力而失效。零件产生破坏的原因主要是由于作用在零件上的拉伸、压缩、弯曲、扭转、剪切或复合应力过大而引起的。强度又可以分为整体强度和表面强度。
刚度:刚度是反映零件在载荷作用下抵抗弹性变形的能力,其大小用产生单位变形所需要的外力或外力矩来表示。
变形的基本形式
拉伸与压缩、弯曲、扭转、剪切。
许用应力
机械设计或工程结构设计中允许零件或构件承受的最大应力值。要判定零件或构件受载后的工作应力过高或过低,需要预先确定一个衡量的标准,这个标准就是许用应力。凡是零件或构件中的工作应力不超过许用应力时,这个零件或构件在运转中是安全的,否则就是不安全的。
精密机械结构设计的基本原则
运动学-半运动学原理:根据刚体运动学六点定位原理,任何一个机械类的零件,在三维空间共有6个自由度,即沿x,y,z 3个坐标方向的移动和绕x,y,z 3个坐标轴的转动。若要去除自由度,应施加约束,约束应是点接触。1 个约束消除1个自由度。约束点的安排应按三点决定一平面、二点决定一直线的原则,不允许产生过定位,即静不定。
最小变形原理:零部件在工作时,如果产生变形,则必将引起仪器误差。为此在设计时,应力求使由于重量、外力、热膨胀、内应力等的影响所引起的变形为最小,这就是变形最小原则。
考虑强度时应注意的原则
等强度原理:在设计零部件时,应尽量使同一零部件上各处的强度接近相等,以使各处都能充分利用其强度,保证最有效地利用材料,减小零部件的体积和减轻重量,使各处的寿命相等。
力的传递路径最短原理:是指设计时应使力或力矩,从其产生处一直到基座为止,其间所经过的路径应愈短愈好。因为力流所经过的区域,均会产生应力和变形。若能使传递路径最短,则可减少材料,减小体积和减轻重量,并可提高整机的精度和工作性能。
力自平衡原理:是指设计应尽可能把工作中产生不利的力或力矩,在其产生处予以力平衡,使其不致传递到其他地方,以免影响整机工作。例如,在轴上由于不平衡重量而引起的离心力,通常采用配重的办法予以力平衡。
力自加强原则:例如在设计密封装置时,密封圈的安放应保证在两边介质的压力差作用下,密封圈在工作时愈贴愈紧,以自动加强密封效果。
机械中的摩擦
两个接触表面作相对运动或有相对运动趋势时,将会有阻止其产生相对运动的现象发生,这种现象称为摩擦。摩擦的大小可通过摩擦系数来衡量。机械中常见的摩擦有两大类:一类是发生在物质内部,阻碍分子间相对运动的内摩擦;另一类是在物体接触表面上产生的阻碍其相对运动的外摩擦。在机械运动系统中关心的是外摩擦,根据摩擦运动副的运动状态,可分为静摩擦和动摩擦。

传动链中的力矩
作用在传动链中的力矩(载荷),一般有静力矩(静载荷)、动力矩(动载荷)和摩擦力矩3种。
静力矩:是指力矩的大小随时间变化很小或不变化,传动在正常稳定运转时所传递的力矩.即属静力矩。
动力矩:是指传动在启动或停止时,由于速度变化产生加速度而引起的附加力矩。
摩擦力矩:是指在轮齿啮合处和各轴承由于摩擦而引起的阻力矩。在确定驱动电机功率时可采用平均效率来处理,在研究传动的灵活性,防止传动出现卡滞等现象时应考虑瞬时效率。
机械传动
机械传动是精密机械中的一个极为重要的部分。传动是指传递运动(增速﹑减速或改变运动的回转方向)和动力(力或力矩)。机械传动是指采用机械的方式来实现运动和动力的传递。
(1)回转-回转运动:其中有依靠摩擦力传动的摩擦轮传动和皮带传动;有依靠轮齿啮合传动的精密齿轮传动和齿形带传动;有利用机械波传动的谐波齿轮传动等。
(2)力(功率)传动:主要用来传递动力,改变力或力矩的大小。对它的要求主要是应保证足够的强度。
摩擦传动
摩擦轮传动是利用主动轮与从动轮在直接接触处产生的摩擦力来传递运动和动力的。
齿轮传动的失效形式
齿轮传动的失效形式主要是轮齿的失效﹐轮齿在工作过程中可能产生的失效形式主要有轮齿折断和弯曲塑性变形、齿面点蚀和磨损。
弯曲塑性变形:由塑料或高塑性材料制成的齿轮,当受力过大时,轮齿会出现弯曲性变形。为了防止轮齿疲劳折断,应进行齿根弯曲疲劳强度计算。为了防止弯曲塑性变形,应验算短期过载时的弯曲静强度。采用正变位齿轮、加大齿根圆角半径﹑降低表面粗糙度值、采用表面强化处理(如喷丸、碾压)等,可提高齿轮的弯曲强度。
轴承的类型
精密机械中采用的轴承主要分为3类:
(1)滑动(摩擦)轴承。在轴承中产生的摩擦为滑动摩擦;
(2)滚动(摩擦)轴承。在轴承中产生的摩擦为滚动摩擦;
(3)仪表特种轴承。除上述两类轴承外,在仪器仪表中应用的结构尺寸比较小的轴承。
上述轴承按其所能承受载荷的方向,又可分为3类:
(1)向心(径向)轴承。主要承受径向载荷;
(2)推力(止推)轴承。主要承受轴向载荷;
(3)向心推力轴承。可同时承受径向载荷和轴向载荷。
对轴承的要求
在精密机械中,对轴承的主要要求是:(1)回转精度高;(2)摩擦力矩小;(3)在工作载荷作用下,有足够的强度,刚度和耐磨性。
轴的类型
应用在精密机械中的轴,按结构可分为直轴﹑曲轴和挠性曲,其中直轴又分光轴、阶梯轴和空心轴等;按轴所承受载荷的性质可分为心轴﹑转轴和传动轴,这些轴是精密机械设计中最常采用的。
心轴用来支承回转零件,工作时只承受弯矩而不传递转矩。它可以随回转零件一起转动,称为转动心轴;也可以不随回转零件一起转动,称为不转动心轴。转动的心轴受变应力,不转动的心轴受静应力。转轴工作时既承受弯矩又承受转矩。传动轴工作时只承受转矩或主要承受转矩,如仪器中的某些中间轴、万向联轴器的中间轴及机床中的光杠等。
轴的使用要求
(1)强度。指轴在外载荷作用下不应被破坏。对于承载较大的轴需进行强度计算;对于承载较小的轴,通常可根据结构要求进行设计,都需满足强度要求。
(2〉刚度。指轴在外载荷作用下所产生的弯曲和扭转变形,不能超过允许值,否则将影响轴的回转精度和缩短寿命。所以当精度要求较高时,保证足够的刚度是很重要的。
轴的强度计算
根据转矩T初步估算轴的最小直径dmin
根据弯扭复合强度计算轴径d
1)根据弯扭复合强度计算轴径d
2)作出弯矩图
3)作出转矩图
4)作出当量弯矩图
5)根据弯扭复合强度计算轴的直径d
轴的刚度计算
1.轴的弯曲刚度计算
2.轴的扭转刚度计算
线性压电驱动器PA系统
基于压电堆叠的对象的线性系统。分析可由压电性的本质方程开始,其次是力的产生,然后物体的移动。考虑压电效应,得到本质方程如下:

式中sigma为应力矢量;s为应变矢量;V为电场矢量;D为电动位移矢量;c为弹性刚度常数矩阵;e为一个压电常数矩阵,epsilon为介电常数矩阵;上标E和S分别指恒定电场和恒定应变。
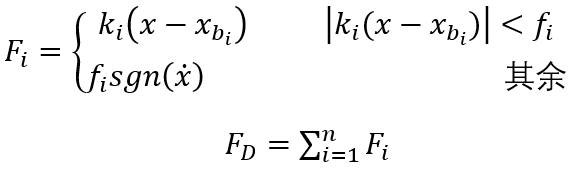
线性压电驱动器的推动力是靠压电叠堆筒产生的,每层施加了力Fi。考虑到压电叠堆的不平衡,驱动力可以表示如下:

式中,k为刚度;x为位置;xb为块位置;f为分裂力。
摆转压电驱动器系统
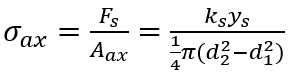
由于弹簧力压下电动机,轴向负荷出现在筒内。简可以视为管。以下方程被应用:

式中,Fs为弹簧力;ks弹簧常数;ys为弹簧位移。压缩力在控制之下,因为弹簧位置s是可调节的。弹簧常数取决于弹簧类型。由于轴向压力,弹簧力导致筒收缩

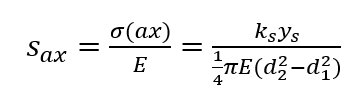
式中,sigma为轴向应力(由于轴向力的应力);Aax为面积;d2和d1分别是筒的内、外直径,并且应变为

式中,Sax为轴向应变;E为弹性模量。





