
Thermo-Mechanical and Creep Behaviour of Polylactic Acid/Thermoplastic Polyurethane Blends
《聚乳酸/热塑性聚氨酯共混物的热机械和蠕变行为》
作者:
Yi-Sheng Jhao, Hao Quyang, Fuqian Yang and Sanboh Lee
转自:
https://www.mdpi.com/2073-4360/14/23/5276
来源:
Polymers 2022, 14(23), 5276
文章来源网络 如有侵权 请联系删除
The article is sourced from network, if there is infringement, please contact to delete.
摘要

目前人们非常需要开发可生物降解的热塑性塑料,以满足各种温度范围内的各种应用。在这项工作中,我们在200°C下通过熔融共混方法使用聚乳酸(PLA)和热塑性聚氨酯(TPU)制备了聚合物共混物,并研究了PLA/TPU共混物在10至40°C温度范围内的蠕变变形,重点关注瞬态和稳态蠕变。PLA/TPU共混物稳态蠕变的幂律描述的应力指数随着TPU的质量分数从PLA的1.73增加到TPU的1.17而线性下降,稳态蠕变和瞬态蠕变速率过程的活化能随着TPU的质量分数从PLA的97.7±3.9kJ/mol和59.4±2.9kJ/mol增加到TPU的26.3±1.3kJ/mol和25.4±1.7kJ/mol而线性下降。这些线性下降趋势可归因于PLA和TPU之间的弱相互作用。PLA/TPU共混物的蠕变变形由PLA和TPU各自贡献而组成。
关键字:聚乳酸;热塑性聚氨酯;蠕变; 非线性伯格斯模型;活化能
介绍

聚乳酸(PLA)是一种热塑性脂肪族聚酯,被认为是一种有前途的可生物降解材料,具有替代石化塑料的潜力[1]。PLA的可生物降解特性引起了人们对各种潜在应用的极大兴趣。然而,PLA的应用受到其脆性、热稳定性和抗冲击性的限制。
为了增加PLA在各个领域的应用,人们开发了PLA基复合材料和PLA-聚合物共混物。例如,Matta等人[2]使用熔融共混法生产由PLA和聚己内酯(PCL)组成的可生物降解聚合物共混物,其冲击强度和韧性均优于PLA和PCL。Ho等[3]将PLA接枝到马来酸酐功能化的热塑性聚烯烃弹性体上,形成热塑性聚烯烃弹性体接枝聚丙交酯,提高了PLA的韧性。Tokoro等人[4]使用三种不同的竹纤维作为PLA增强材料形成PLA/竹复合材料,在室温下表现出比PLA更高的弯曲强度和冲击强度。
目前,大多数研究都集中在PLA基复合材料和共混物的拉伸和冲击变形上[5,6,7,8,9],关于PLA基复合材料和共混物的蠕变变形的研究很少。Yang等人[10]研究了短竹纤维对PLA基复合材料的短时蠕变的影响,并观察到抗蠕变性随着竹纤维重量分数的增加高达60%而增加。Georgiopoulos等人[11]评估了用木纤维增强的PLA/PBAT(聚(己二酸丁二醇酯-对苯二甲酸丁二醇酯))混合物的短时蠕变变形,并在蠕变分析中使用了Findley和Burger的模型。Morreale等人[12]研究了PLA基生物复合材料的拉伸蠕变,发现蠕变变形对温度和织物有很强的依赖性。Ye等[13]采用四元Burger模型分析熔丝工艺制备的PLA的蠕变,观察打印角度和应力的影响。Waseem等人[14]使用响应面法对通过增材制造的三维打印生产的PLA进行拉伸蠕变分析。Guedes等[15]表征了PLA/PCL纤维的蠕变变形和应力松弛,并在分析中使用了Burger模型和标准实体模型。Niaza等[16]研究了PLA/HA(羟基磷灰石)复合材料的长期蠕变,发现PLA/HA支架在高达10MPa的机械载荷下没有发生变形和机械强度损失。
热塑性聚氨酯(TPU)具有良好的弹性、透明性和耐磨性。TPU还具有生物相容性和生物稳定性,是一种很有前途的材料,可用于各种植入式医疗设备[17]。由于TPU具有良好的弹性性能,将TPU与PLA共混可以改变PLA的脆性并增加PLA的韧性[18],但尚不清楚将TPU与PLA共混是否会阻碍或促进聚合物链在恒定载荷下的运动。这项工作旨在研究PLA/TPU共混物的蠕变变形,评估了PLA与TPU的质量比对共混物蠕变变形活化能的影响。
应该指出的是,对包括聚氨酯在内的多种聚合物的蠕变变形进行了广泛的研究[19,20]。该分析基于使用阻尼弹簧模型来描述蠕变曲线。然而,关于聚合物蠕变变形速率过程的活化能计算的研究很少。
实验细节

本工作中使用的PLA(4032D,Tg约为55–60°C)和TPU(300系列,酯类)分别来自Natureworks LLC(明尼苏达州明尼苏达州,美国)和拜耳有限公司(德国勒沃库森)。PLA是一种半结晶聚合物,具有98% L-异构体和2% D-异构体。
在200°C下通过熔融共混方法制备PLA/TPU共混物,其中PLA与TPU的质量比不同(30/70、50/50和70/30)。简而言之,将预设质量比的PLA和TPU混合物在80°C的烘箱中干燥4小时。将PLA/TPU混合物加热至200°C至熔融状态,然后以2.94MPa将其注入模具中以形成PLA/TPU板材。将板冷却至30°C,使用激光切割,制备了如图1所示的哑铃形样品。样品用400、800、1200和2500粒度的CarbiMet纸连续进行机械研磨,然后用1μm氧化铝浆抛光。抛光后的试样在50°C的炉中置于空气中退火24h,以释放样品制备过程中引入的残余应力,然后在炉中自然冷却至室温。

图1. 蠕变试验试样几何尺寸示意图
在差示扫描量热仪(DSC)(Netzsch 200F3,Erich NETZSCH GmbH & Co.,Selb,Germany)上,在−80 °C至220 °C的温度范围内对制备的PLA/TPU共混物进行热分析。在DSC扫描期间使用氮气以防止样品氧化。氮气流速为100mL/min。以10°C/min和40°C/min的加热和冷却速率分别在220°C和-80°C下对质量载荷为8-10mg的样品分别进行10分钟的热循环。热循环消除了样品的热历史。热循环后,将样品以10°C/min的加热速率重新加热至220°C进行热分析。PLA、TPU和PLA/TPU共混物的玻璃化转变温度Tg被确定为热流与温度曲线图中相应热容量跳跃的中点温度。
PLA、TPU和PLA/TPU共混物的蠕变测试是在动态机械分析仪(TA Q800 DMA,TA instrument,New Castle,DE,USA)上在10至40°C的温度范围内进行的。由于仪器的限制和材料性能的差异,施加在PLA、TPU和PLA/TPU共混物上的应力是不同的。在蠕变试验之前,每个试样在预设温度下保持5分钟以达到热平衡,蠕变试验的时间为40分钟。蠕变试验后,蠕变试样在无应力状态下保持40分钟,在测试过程中测量应变随时间的变化。
结果

图2显示了PLA、TPU和PLA/TPU共混物的DSC曲线。对于PLA和TPU,玻璃化转变温度分别为57.4°C和−40.1°C。对于PLA/TPU共混物,DSC曲线中存在两个玻璃化转变温度,一个较弱的温度约为-40°C,与TPU玻璃化转变温度相关,另一个约为57°C,与PLA玻璃化转变温度相关。这样的结果表明PLA和TPU在热力学上是不混溶的,PLA[17] 和PLA/TPU共混物[21,22]的双重熔化支持这一点。有趣的是,PLA/TPU共混物的熔融温度随着TPU质量分数的增加而降低,揭示了TPU的贡献。

图2. PLA、TPU和PLA/TPU混合物的DSC曲线
已经观察到许多半结晶聚合物的双重熔融行为,包括聚(对苯二甲酸丁二醇酯)、聚(对苯二甲酸乙二醇酯)和聚(醚酮)[23,24,25,26]。低温吸热峰表示“原始”晶体的部分熔化,高温吸热峰表示加热过程中“重组”晶体的熔化[27]。
根据图2,TPU没有冷结晶放热峰,符合TPU的非晶结构。PLA是一种结晶速度较慢的半结晶聚合物。在DSC测量之前从220°C 快速淬火PLA使得PLA在冷却过程中不结晶,即PLA聚合物链没有足够的时间迁移到平衡位置。在加热过程中,聚合物吸收能量,使聚合物链发生迁移,并导致PLA在110.3°C左右出现冷结晶放热峰。PLA/TPU共混物的冷结晶放热峰随着TPU分数的增加而降低,正如预期的那样,TPU不存在冷结晶放热峰。
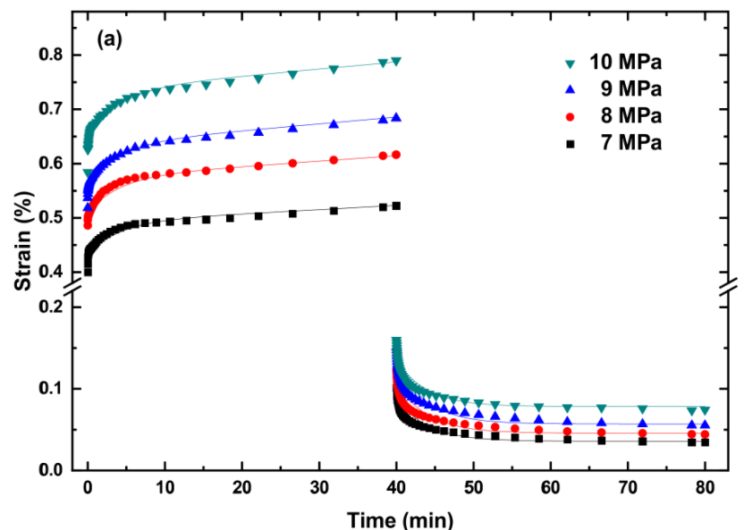
补充信息中的图3和图S1–S5显示了PLA、TPU和PLA/TPU共混物在10、20、30和40°C四种温度下不同拉伸应力下的蠕变曲线和恢复曲线。很明显,蠕变曲线由两种状态组成——瞬态和稳态(二次蠕变)。对于所有PLA、TPU和PLA/TPU共混物,在完全去除应力/负载后有一个恢复过程。应该注意的是,所有PLA、TPU和PLA/TPU共混物的蠕变变形仅限于二次蠕变,以避免出现三次蠕变和试样失效/断裂。




图3. 在(a)10°C,(b)20°C,(c)30°C和(d)40°C的不同拉伸应力下,PLA/TPU质量比为70:30的PLA/TPU共混物的蠕变曲线
讨论

从图3和图S1–S5,我们计算了稳态下的蠕变速率。图4显示了PLA、PLA/TPU共混物和TPU在不同蠕变温度下的稳态蠕变的蠕变速率随施加应力的变化。正如预期的那样,稳态下的蠕变速率随着温度和施加应力的增加而增加。

图4. 不同蠕变温度下,稳态蠕变情况下蠕变速率的应力依赖性:(a)PLA, (b) PLA/TPU共混物,PLA与TPU的比例为70:30 (c) PLA/TPU共混物,PLA与TPU的比例为50:50 (d)PLA/TPU共混物,PLA与TPU的比例为30:70
图5显示了应力指数随TPU质量分数的变化。应力指数从PLA的1.73线性下降到TPU的1.17。这种趋势表明,增加PLA/TPU共混物中TPU的比例会降低聚合物链运动的阻力。根据图5中的结果,应力指数对PLA/TPU共混物中TPU质量分数的依赖性可表示为:

其中mPLA和mTPU分别是PLA和TPU的质量。这样的结果与PLA和TPU在热力学上不混溶是一致的。

图5. 应力指数随TPU质量分数的变化
图6显示了非线性Burgers模型的Kelvin示意图。其中,E1和E2是相应弹簧元件的弹性常数,η1是非线性阻尼器I的粘度,η2是线性阻尼器II的粘度,σ、σA和σB是作用在相应元件上的应力,ε , ε1和ε2是相应单元的应变。弹簧I和II以及阻尼器II是线性元件。

图6. 非线性Burgers模型的Kelvin示意图
为了分析PLA、TPU和PLA/TPU混合物的蠕变变形以及稳态蠕变下应力和蠕变速率之间的幂律关系,我们引入了非线性Burgers模型的Kelvin示意图,如图6所示,其中阻尼器蠕变率的应力依赖性I遵循类似于方程式(1)的幂律关系,如下所示:

其他元素所经历的应变/应变率与相应的施加应力成正比。在恒定应力(蠕变变形)作用下,我们可以采用与线性Burgers模型的Kelvin示意图相同的方法来获得非线性Burgers模型的合成应变ε的时间依赖性,如下所示:

其中t为蠕变时间,βc=E2/η2。其中,E1和η1分别为弹簧1的弹性常数和非线性阻尼器1的粘性,E2和η2分别为弹簧2的弹性常数和线性阻尼器2的粘性,β−1c是非线性Burgers蠕变变形模型的特征时间。第一项代表瞬时弹性变形,第二项代表稳态蠕变,第三项对应瞬态蠕变变形。
使用图5和方程式(4)中显示的指数,我们对图3和图S1–S5中的蠕变曲线进行曲线拟合,并确定E1、E2、η1和η2的参数。为了进行比较,拟合曲线包含在图3和图S1–S5中。很明显,方程式(4)很好地描述了PLA、TPU和PLA/TPU混合物的蠕变变形直至稳态蠕变。
表1总结了PLA、TPU和PLA/TPU共混物的弹性常数对温度的依赖性。正如预期的那样,材料的E1和E2都随着蠕变温度的升高而降低,这是由于空间的增加导致对聚合物链拉伸的约束减少。根据表1,增加TPU的质量分数会导致E1和E2均降低,这是因为PLA的模量为2.382±0.114GPa,高于TPU的0.025±0.003GPa。
表1. PLA、TPU和PLA/TPU混合物的E1和E2的温度依赖性

根据热激活过程的理论,η1和η2的温度依赖性遵循Arrhenius关系:

其中η10和η20是两个常数,Qs和Qk分别是稳态蠕变和瞬态蠕变速率过程的活化能,R是气体常数,T是绝对温度。图7显示了η1和η2的温度依赖性。很明显,η-11和η-12都是T-1的指数递减函数。使用等式(5)拟合图7a、b中的数据,我们获得了PLA、TPU和PLA/TPU共混物蠕变变形的活化能。

图7. η1(a)和η2(b)的温度依赖性
图8显示了Qs和Qk随TPU质量分数的变化。随着TPU质量分数的增加,Qs和Qk呈线性下降,表明PLA/TPU共混物的活化能可表示为:

其中上标b代表PLA/TPU共混物,PLA和TPU的上标和下标代表对应的PLA和TPU。这样的结果再次与PLA和TPU在热力学上不混溶相一致。请注意,对于相同的PLA/TPU混合物,Qs大于Qk,这种行为与聚合物链的不同状态有关。在稳态蠕变开始之前,聚合物链处于相对松弛的状态,迁移阻力较小。在稳态蠕变下,聚合物链处于拉伸状态,对迁移有很大的阻力。与瞬态相比,聚合物链需要克服更大的能垒才能在稳态蠕变下达到新状态。

图8. Qs和Qk随TPU质量分数的变化
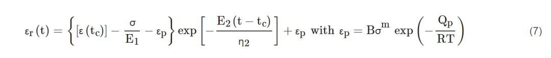
根据图3和图S1-S5,PLA/TPU共混物经历了瞬时弹性恢复,然后是与时间相关的恢复,最后是蠕变结束后的永久塑性变形。在分析PLA/TPU共混物的蠕变变形之后,我们使用非线性Burgers模型的Kelvin示意图来分析PLA/TPU共混物的恢复行为。恢复应变的时间依赖性表示为:

其中tc为蠕变试验的蠕变时间,ε(tc)为蠕变变形的最终应变,εp为塑性应变。对于塑性应变,B是指前常数,m是应力指数,Qp是塑性变形的激活能。使用方程(7)中的第一个方程对恢复曲线进行曲线拟合,我们得到塑性应变。补充信息中的图S6和S7分别显示了不同温度下PLA/TPU共混物恢复的塑性应变的应力依赖性和不同应力下PLA/TPU共混物恢复的塑性应变的温度依赖性。使用方程(7)中的第二个方程对图S6和S7中的结果进行曲线拟合,我们确定应力指数和活化能,如表2中所列。应力指数(m)和活化能(Qp)与相同PLA/TPU共混物的稳态蠕变的对应值(n和Qs)相同。这些结果揭示了在稳态蠕变和蠕变变形后控制聚合物链迁移的相同速率机制。
表2. 蠕变后PLA/TPU共混物恢复的m和Qp数值

结论

总之,我们研究了PLA、TPU和PLA/TPU共混物在10至40°C温度范围内不同应力下完全卸载后的热行为、拉伸蠕变变形和恢复。热分析表明,PLA/TPU共混物保持了单个PLA和TPU的热特性,这与PLA和TPU在热力学上不混溶一致。为避免出现三次蠕变和试样失效/破损,我们重点研究了PLA、TPU和PLA/TPU共混物在瞬态和稳态蠕变中的蠕变变形。在本研究中使用的条件下,PLA、TPU和PLA/TPU共混物的稳态蠕变蠕变速率的应力依赖性遵循幂律关系。幂律关系的应力指数是TPU质量分数的线性递减函数,这与PLA和TPU在热力学上不混溶一致。
基于稳态下拉伸应力与蠕变速率之间的幂律关系,我们提出了非线性Burgers模型的Kelvin示意图,用于分析PLA、TPU和PLA/TPU混合物。这种非线性Burgers模型的Kelvin示意图可以很好地描述PLA、TPU和PLA/TPU共混物的蠕变变形和恢复。蠕变和恢复曲线的曲线拟合结果表明,应力指数和活化能与TPU质量分数呈线性递减,这与PLA和TPU在热力学上不相容是一致的。对于相同的PLA/TPU共混物,瞬态蠕变的活化能小于稳态蠕变的活化能,表明在稳态蠕变下聚合物链迁移的阻力增加。
转自:
https://www.mdpi.com/2073-4360/14/23/5276
参考文献:
1.Drumright, R.E.; Gruber, P.R.; Henton, D.E. Polylactic acid technology. Adv. Mater. 2000, 12, 1841–1846.
2.Matta, A.; Rao, R.U.; Suman, K.; Rambabu, V. Preparation and characterization of biodegradable PLA/PCL polymeric blends. Procedia Mater. Sci. 2014, 6, 1266–1270.
3.Ho, C.-H.; Wang, C.-H.; Lin, C.-I.; Lee, Y.-D. Synthesis and characterization of TPO–PLA copolymer and its behavior as compatibilizer for PLA/TPO blends. Polymer 2008, 49, 3902–3910.
4.Tokoro, R.; Vu, D.M.; Okubo, K.; Tanaka, T.; Fujii, T.; Fujiura, T. How to improve mechanical properties of polylactic acid with bamboo fibers. J. Mater. Sci. 2008, 43, 775–787.
5.Bax, B.; Mussig, J. Impact and tensile properties of PLA/Cordenka and PLA/flax composites. Compos. Sci. Technol. 2008, 68, 1601–1607.
6.Rozite, L.; Varna, J.; Joffe, R.; Pupurs, A. Nonlinear behavior of PLA and lignin-based flax composites subjected to tensile loading. J. Thermoplast. Compos. 2013, 26, 476–496.
7.Couture, A.; Lebrun, G.; Laperriere, L. Mechanical properties of polylactic acid (PLA) composites reinforced with unidirectional flax and flax-paper layers. Compos. Struct. 2016, 154, 286–295.
8.Papa, I.; Lopresto, V.; Simeoli, G.; Langella, A.; Russo, P. Ultrasonic damage investigation on woven jute/poly (lactic acid) composites subjected to low velocity impact. Compos. Part B-Eng. 2017, 115, 282–288.
9.Gibeop, N.; Lee, D.W.; Prasad, C.V.; Toru, F.; Kim, B.S.; Song, J.I. Effect of plasma treatment on mechanical properties of jute fiber/poly (lactic acid) biodegradable composites. Adv. Compos. Mater. 2013, 22, 389–399.
10.Yang, T.C.; Wu, T.L.; Hung, K.C.; Chen, Y.L.; Wu, J.H. Mechanical properties and extended creep behavior of bamboo fiber reinforced recycled poly(lactic acid) composites using the time-temperature superposition principle. Constr. Build. Mater. 2015, 93, 558–563.
11.Georgiopoulos, P.; Kontou, E.; Christopoulos, A. Short-term creep behavior of a biodegradable polymer reinforced with wood-fibers. Compos. Part B-Eng. 2015, 80, 134–144.
12.Morreale, M.; Mistretta, M.C.; Fiore, V. Creep Behavior of Poly(lactic acid) Based Biocomposites. Materials 2017, 10, 395.
13.Ye, J.; Yao, T.Y.; Deng, Z.C.; Zhang, K.; Dai, S.; Liu, X.B. A modified creep model of polylactic acid (PLA-max) materials with different printing angles processed by fused filament fabrication. J. Appl. Polym. Sci. 2021, 138, 50270.
14.Waseem, M.; Salah, B.; Habib, T.; Saleem, W.; Abas, M.; Khan, R.; Ghani, U.; Siddiqi, M.U.R. Multi-Response Optimization of Tensile Creep Behavior of PLA 3D Printed Parts Using Categorical Response Surface Methodology. Polymers 2020, 12, 2962.
15.Guedes, R.M.; Singh, A.; Pinto, V. Viscoelastic modelling of creep and stress relaxation behaviour in PLA-PCL fibres. Fiber Polym. 2017, 18, 2443–2453.
16.Niaza, K.V.; Senatov, F.S.; Stepashkin, A.; Anisimova, N.Y.; Kiselevsky, M.V. Long-term creep and impact strength of biocompatible 3d-printed pla-based scaffolds. In Nano Hybrids and Composites; Trans Tech Publication Ltd.: Zurich, Switzerland, 2017; Volume 13, pp. 15–20.
17.Jing, X.; Mi, H.Y.; Peng, X.F.; Turng, L.S. The morphology, properties, and shape memory behavior of polylactic acid/thermoplastic polyurethane blends. Polym. Eng. Sci. 2015, 55, 70–80.
18.Li, Y.; Shimizu, H. Toughening of polylactide by melt blending with a biodegradable poly (ether) urethane elastomer. Macromol. Biosci. 2007, 7, 921–928.
19.Lubis, M.A.R.; Handika, S.O.; Sari, R.K.; Iswanto, A.H.; Antov, P.; Kristak, L.; Lee, S.H.; Pizzi, A. Modification of Ramie Fiber via Impregnation with Low Viscosity Bio-Polyurethane Resins Derived from Lignin. Polymers 2022, 14, 2165.
20.Aristri, M.A.; Lubis, M.A.R.; Iswanto, A.H.; Fatriasari, W.; Sari, R.K.; Antov, P.; Gajtanska, M.; Papadopoulos, A.N.; Pizzi, A.J.F. Bio-Based Polyurethane Resins Derived from Tannin: Source, Synthesis, Characterisation, and Application. Forests 2021, 12, 1516.
21.Yasuniwa, M.; Tsubakihara, S.; Sugimoto, Y.; Nakafuku, C. Thermal analysis of the double-melting behavior of poly (L-lactic acid). J. Polym. Sci. Part B Polym. Phys. 2004, 42, 25–32.
22.Shi, Q.; Mou, H.; Gao, L.; Yang, J.; Guo, W. Double-melting behavior of bamboo fiber/talc/poly (lactic acid) composites. J. Polym. Environ. 2010, 18, 567–575.
23.Yasuniwa, M.; Tsubakihara, S.; Ohoshita, K.; Tokudome, S.I. X-ray studies on the double melting behavior of poly (butylene terephthalate). J. Polym. Sci. Part B Polym. Phys. 2001, 39, 2005–2015.
24.Hobbs, S.; Pratt, C. Multiple melting in poly (butylene terephthalate). Polymer 1975, 16, 462–464.
25.Holdsworth, P.; Turner-Jones, A. The melting behaviour of heat crystallized poly (ethylene terephthalate). Polymer 1971, 12, 195–208.
26.Todoki, M.; Kawaguchi, T. Origin of double melting peaks in drawn nylon 6 yarns. J. Polym. Sci. Polym. Phys. Ed. 1977, 15, 1067–1075.
27.Chen, H.L.; Porter, R.S. Melting behavior of poly (ether ether ketone) in its blends with poly (ether imide). J. Polym. Sci. Part B Polym. Phys. 1993, 31, 1845–1850.
28.Mitchell, T.E.; Hirth, J.; Misra, A. Apparent activation energy and stress exponent in materials with a high Peierls stress. Acta Mater. 2002, 50, 1087–1093.
end
承办单位:

会议主题

会议费用
市场推广
特别说明
1.由于疫情原因,本次会议实行网上在线实名制报名、预订酒店,每位参会代表一人一证(代表证);没有成功在线提交参会回执的代表,会议将不能保证代表证。


嘉宾阵容


















TPE分会秘书处为本次鞋材会议精心编制了内容详实、印刷精美的《第五届鞋材新技术新产品研讨会TPE分会技术资讯汇编》, 所有提前进行会议注册的参会嘉宾都将现场获赠该技术汇编。




TPE分会公众号

扫码加入我们
部分支持单位风采:
推荐阅读:
1. 使用超临界CO2将TPU弹性体转化为TPU泡沫-一种新的后处理方法
2. 海藻酸盐增强的可持续、机械强度高和自修复的生物热塑性弹性体的开发


