机械专业的学生和机械爱好者大家好。本期介绍机械原理中最基础的一个知识点,曲柄连杆机构。
下面,咱们首先了解一下曲柄连杆机构各个部件的名字。

我有四个构件,见图1,分别叫作曲柄、连杆、摇杆和机架,有时直接用序号命名,如杆1、杆2、杆3、杆4,或者用字母命名,如杆AB、杆BC、杆CD、杆DA。我通常长成图1的样子,但工程实践中,我的样子变化多端,如图2所示的样子。
为什么人们叫我曲柄摇杆机构呢?顾名思义,就是这个机构中有一个曲柄,有一个连杆。
因为我确实有一个曲柄和摇杆,曲柄能作整周转动,摇杆作往复摆动。


你看我的运动,“让我们一起摇摆”!姿势这么“风骚”、转的这么“花里胡哨”,到底有什么用呢?你可不要低估了我的作用,我在各类机械中可是最基础的存在,我是将连续的转动转换为往复的摆动,如图2中的天线调节机构。当然也可以反过来,将往复的摆动转换为整周的连续转动,例如缝纫机的脚踏驱动机构就是将往复的摆动转换为带轮的连续的转动,如图3所示。我有时力大无穷,可以将矿石破碎,如图4的额式破碎机。我有时很臭美,利用我连杆上不同点绘制美丽的曲线,如图5所示。

我还有很多变型,最常用的变身法术是:1)选用不同的构件做机架;2)转动副转化为移动副;3)扩大运动副。例如,选我的最短杆(曲柄)作为机架,就变成了双曲柄机构(图4上右);选我最短杆的对边杆作为机架,我就变成了双摇杆机构(图4上中)。将C点转动副演变成移动副,我就会变成曲柄滑块机构(图4下左)。

我的曲柄是机构中的最短杆,而且是和机架连接的,这样才能使最短杆整周转动。各个杆长应该满足:最短杆与最长杆之和应小于或等于其余两杆之和,同时也有最长杆应小于其余三杆长度之和;而且最短杆必须和机架相连。如果不满足这些条件,组成的机构就不是我。
别看我就是来回摇摆转动,我可不是那种简单的“糙汉”,我也是“技术男”,下面咱们一起来分析一下我的技术原理吧!
我的使命就是“四两拨千斤”,尽可能提高传力效果。对,用压力角来衡量传力效果。请看图5a,从动件C点的受力与运动方向的夹角是压力角。由于压力角不好直接测量,也可以用与压力角互余的传动角来衡量传力效果。传动角就是杆BC(连杆)和杆CD(摇杆)所夹的角。工程实践中,传动角越大越好,我一般希望最小传动角大于40-50°。最小传动角如何得到呢?看看图5b和5c,曲柄与机架两次共线位置,连杆与摇杆之间夹角的最小值为最小传动角。

当然,我和大多数小伙伴一样,不仅在工作中爱省力,而且在“回家”的时候也会“溜”得很快。所以我回程时为了节省时间,运动很快。人们把这种特性称为急回特性。

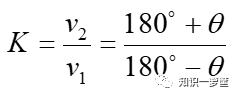
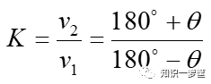
怎么表示急回特性呢?可以用极位夹角与行程速比系数来描述。极位夹角是指摇杆处于两个极限位置时,这时连杆与曲柄共线,连杆两个位置之间的夹角,如图6所示的θ。而行程速比系数,是回程速度与工作行程速度之比,用公式表示为:


我们通常情况下是有急回特性的,但有时也有那种“下班不爱回家的小伙伴”,没有急回特性,你能发现它并画出来么?
月有阴晴圆缺,人有生老病死
。我也有“死点”,也是我爱卡bug的地方。当摇杆为主动件时,在曲柄与连杆共线的位置,无论在摇杆上施加多大的力,我都不能运动,这个位置是我的死点位置,如图7所示。说白了,就是曲柄和连杆到了一条直线,我们“对着干开了”或者“反向拉锯了”,我就会卡bug。


对于死点,我有时想办法克服,有时利用它做一些事情。当需要避免死点时,我会在输出曲柄上安装飞轮(如内燃机安装的飞轮),借助飞轮的惯性,使机构闯过死点;或者借助特别的结构避免死点;或者采用多个相同机构驱动同一个曲柄,这些多套机构的相位相互错开,从而使各机构的死点位置不同以度过死点,分别如图8所示。(这是不是和三相电的原理有点相似呢?)

当然,有些人有时候就是不想让我好过,让我在卡bug中沉默。当需要利用死点时,我就让机构工作在死点位置,可以夹紧工件、保障支撑工作可靠等,如图9所示。这种方式在机械加工中的机械卡具的设计中经常用到。我恨夹具!


今日工作完毕,我要“急回”了,防止你们利用我的“死点”再卡bug。下期由我的好朋友齿轮介绍他吧!

最后,再打个广告,如果您有正在上中小学的孩子或者您同事有上中小学的孩子,请您关注一下“平时学习提升”微信小程序,里面有中小学阶段各科学习视频、测试题、试卷等资料,教材试卷还可以打印邮寄到家。



