一项对现有研究数据的综合分析发现,油炸食品的摄入与罹患主要心脏病和卒中的风险增加有关,每增加114g/周的油炸食品摄入,患病风险就会增加!
——DOI:10.1136/heartjnl-2020-317883
就有这么一种食物,它让你又爱又恨,你知道应该跟它保持一定的距离,但就是控制不住自己,想要跟它爱恨纠缠,它就是油炸食品。
油炸食品在全世界都很流行,全球不分地区、不分人种、不分性别的被这神奇的力量牢牢拴住口味,无法抑制对油炸食品的渴望。
然而,油炸食品被世界卫生组织列为垃圾食品之首,它的危害远超过你的想象力,但其是否会增加心血管疾病(CVD)的风险和死亡率仍不清楚。近日,广东省深圳大学医学部公共卫生学院流行病与卫生统计学副教授胡付兰博士等人发表在《Heart》杂志上的一项荟萃分析发现,油炸食品的摄入与罹患主要心脏病和卒中的风险增加有关。研究人员检索了PubMed、EMBASE和Web of Science数据库中截至2020年4月发表的相关研究,筛选出19项相关研究。最终利用其中17项研究,纳入562,445名参与者和36,727个主要心血管事件(如心脏病发作或卒中)数据,以评估CVD的风险;并利用其中6项研究,纳入754,873名参与者,以及在平均监测期为9.5年期间85,906例死亡患者数据,以评估油炸食品消费与CVD和任何原因死亡之间的潜在联系。图2. 最高与最低油炸食品摄入量和主要心血管疾病事件、冠心病、卒中、心力衰竭、心血管死亡率和全因死亡率风险的森林图
分析表明,与每周油炸食品摄入量最低者相比,摄入量最高者与主要心血管事件风险增加28%、冠心病风险增加22%、心力衰竭风险增加37%相关。
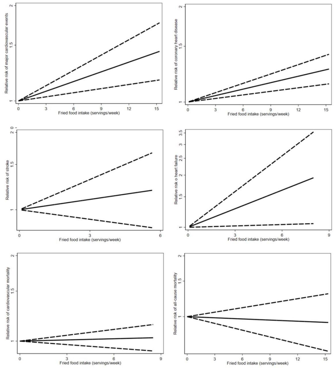
图3. 采用限制性三次样条曲线建模油炸食品摄入量与主要心血管疾病事件、冠心病、卒中、心力衰竭、心血管死亡率和全因死亡率风险的剂量-反应关联
当根据不同的研究和参与者特征进行分层时,这些关联均成立。更重要的是,油炸食品摄入与主要心血管事件、冠心病和心力衰竭之间存在线性关联。图4. 油炸食品摄入量(每增加一份/周)和主要心血管疾病事件、冠心病、卒中、心力衰竭、心血管死亡率和全因死亡率风险的森林图
每增加一份(114g)/周油炸食品摄入量,主要心血管事件、冠心病和心力衰竭风险分别大幅增加了3%,2%和12%。研究人员表示,几项研究只包括一种油炸食品,如炸鱼、土豆或零食,而不是总的油炸食品摄入量,这可能低估了发现的关联;该分析没有发现与CVD或任何原因导致死亡的关联,但这可能是因为涉及的人数相对较少。同时该荟萃分析纳入研究的设计差异很大,此外,研究人员指出,它们都依赖于记忆因素,在解释结果时应该考虑到这些。油炸食品究竟如何影响CVD的发展尚不完全清楚,但研究人员提出了几种可能的解释:油炸食品由于其脂肪含量而增加了能量的摄入,并且在烹饪过程中,与氢化植物油产生有害的反式脂肪酸;油炸食品还会促进与人体炎症反应有关的化学副产品的产生;同时炸鸡和炸薯条等食物通常含盐量很高,且通常会与含糖饮料一起食用,尤其是在快餐店里。研究结果表明,油炸食品摄入与心血管疾病的风险增加有关。这些结果可能支持关于控制油炸食品的摄入量,以防止心血管疾病的公共卫生建议。当然,仍需要更多的研究来确定油炸食品的摄入量与卒中、心力衰竭、心血管死亡率和全因死亡率的关系。参考文献:Pei Qin, et al. Fried-food consumption and risk of cardiovascular disease and all-cause mortality: a meta-analysis of observational studies , Heart (2021). DOI: 10.1136/heartjnl-2020-317883.内容来源:心关注