
SOON
文末附解析哦~

亲爱的考研er
今天是2026全国研究生考试倒计时200天的日子。
从今天起,材子考研将陪你稳扎稳打,开启 【英语+数学】每日学习计划!
? 每日单词:高频单词,带你重点掌握
? 每日一题:精选高频考点题,助你洞悉命题脉络
无论此刻是破晓启程,还是挑灯夜战,
材子愿做你书页旁的灯塔!逐光而行,彼岸终抵!
今年的初试日期是12月20日,比去年提前了1天。200天!号角已吹响!是时候火力全开,拼尽全力了!关掉干扰,专注当下,用汗水浇灌梦想。此刻的拼搏,终将兑换成考场的从容!
干就完了,考研必胜!
接下来将为大家揭晓五月备考调查报告:
关于五月的备考进度调研共计1106位同学参与,非常感谢各位同学的关注与支持。让我们一起来查收这份五月备考进度调查报告吧!
材子考研
PART 01

每天学习时长


分 析:从图中可以看出超过三分之二的同学每日学习时间在4小时以上,其中,学习时长在4-6小时的同学占比最高,是绝对的主力群体。学习时长在6小时以上的同学也占据了相当比例,体现了较高的学习投入度。考虑到临近暑期,学业压力增大,这一分布符合预期,反映了同学们备考的普遍紧张状态。
PART 02

考研单词背诵个数


分 析:超过三分之一的同学词汇量已达到3000-4000,基础较为扎实。另一方面,词汇量低于2000的同学占比也接近四成,其中20%的同学词汇量甚至在1000以下,这构成了一个不小的群体。词汇量在2000-3000区间的同学占比居中。整体来看,词汇积累仍是部分同学需要重点加强的环节。
PART 03

考研数学复习进度


分 析:绝大多数同学已开始数学复习,但复习进度差异较大。超过一半的同学正在进行线代一轮复习,这是正常的速度,保持即可。有40%的同学在进行高数的一轮复习。从图中看出还有5%还没开始的同学,这属于复习进度的滞后。虽然大家对于复习都有自己的进度,但是临近暑期,还是保持一点紧张感最好。
PART 04

是否已经购买专业课相关教辅资料


分 析:大部分同学已经购买了专业课教辅资料,这表明在资料准备方面,多数同学行动较早或意识较强。但仍有超过三分之一的同学尚未购买,这部分同学可能需要尽快完成资料准备,以免影响后续复习计划的执行。
还处在择校阶段的小伙伴可以看下咱们材子考研B站的各高校扫盲讲座,了解各个高校的考情,便于确定适合自己的高校。

目前,各个高校的小班课陆续开课了,大家可以看下各个高校的免费试听导学课,强烈推荐大家购买,有上岸学长学姐和督学班主任全程带领复习专业课,全程直播,可随时观看回放,性价比极高。

如果对于资料以及其他方面疑问的同学,可添加小楠学姐的微信,获取免费咨询哦!

PART 05

专业课复习进度


分 析:专业课复习进度是当前最大的挑战。近三分之二的同学尚未开始专业课复习。仅有三分之一左右的同学进入了一轮复习阶段。结合教辅购买情况 (64%已购买),说明即使资料到位,大部分同学在专业课复习的启动上存在明显滞后,急需引起重视并尽快开始。
大家可以结合我们总结的《材料科学基础》各章节思维导图,完成专业课教材的系统梳理,了解每个章节有哪些知识点,了解知识点之间的关联,对整本书的知识点做初步了解。

点击图片跳转查看
PART 06

是否开始政治复习


分 析:政治科目的复习启动率较低,超过九成的同学尚未开始政治复习。这与考研复习的常规节奏基本相符,但也意味着绝大多数同学目前政治复习尚未提上日程。随着时间推进,需要关注这部分复习的启动情况。
PART 07

您在备考过程中遇到了哪些困难


分 析:在学习过程中,很多同学常常面临学习效率低下的问题。这通常是由于缺乏合理的学习计划和规划,导致学习变得杂乱无章、毫无头绪,从而浪费了大量时间和精力。可以基于目前的复习进度制定每日任务清单,如遇学校学业繁忙这类问题,可以每天锁定3件核心任务+2件弹性任务;如果因为注意力不集中导致的学习效率低下,可以采用25+5番茄钟或者物理隔离等办法减少外界带来的被动影响。
大家也不必太过焦虑,每天只要询问自己是否比昨天有进步即可,哪怕一点点也行,不要盲目的赶进度。
PART 08

您希望材子考研给您提供什么帮助


分 析:材子考研致力于为广大考研学子提供最新的考试动态和学习技巧。我们的目标是帮助考生们顺利备战考研,取得优异的成绩。无论是考试时间的变动、报名信息的更新,还是各科目复习的重点和方法,我们都会第一时间为大家提供准确的消息。更有材料考研择校1V1专属服务,带你精准定位,找到适合你的高性价比学校。

点击图片开启1V1专属择校
26考研加油!
此外,我们还将在公众号中继续分享一些高效的学习技巧,帮助考生们提高学习效率,掌握复习方法,以便更好地应对考试压力,请大家持续关注材子考研!
材子考研相信,通过我们的努力和帮助,每一位考研学子都能够实现自己的理想,迈向美好的未来。


KAO YAN JIA YOU


1
每日一句 · 解析
【参考译文】
给他人买礼物或捐款给慈善机构通常比给自己买东西更令人愉悦,有节制地消费奢侈品才能带来最大快乐。
【难点突破】
难点 1:主语
今天的句子的主语是由两个 doing 的词组并列构成。
难点 2:比较对象
than 后面的比较对象也是由 doing 的词组构成。
【应用拓展】
在考研阅读真题中,很多小的语法点会 造成大家理解的障碍,比如主宾表语的多变。不仅名词或代词可以作主宾表语,doing 或 to do 也可以;而且 doing 的 词组不仅可以是 doing 或 doing sth,还 可以加上介词短语等来表示整体意思 的补充。
2
每日一题 · 解析
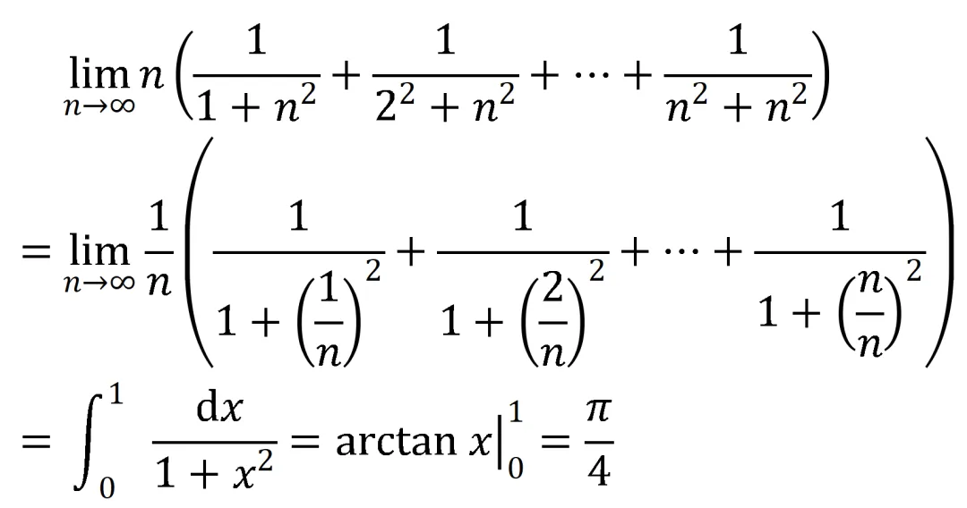
(2012,10题)【答案】
【解析】这是一个n项和的极限,提一个
的因子,知原式为一个积分和式

◀ 推荐阅读 ▶






