
丨扫上图二维码,加入星球下载5K+资料
丨知识、问答与合作,双碳领域必备工具
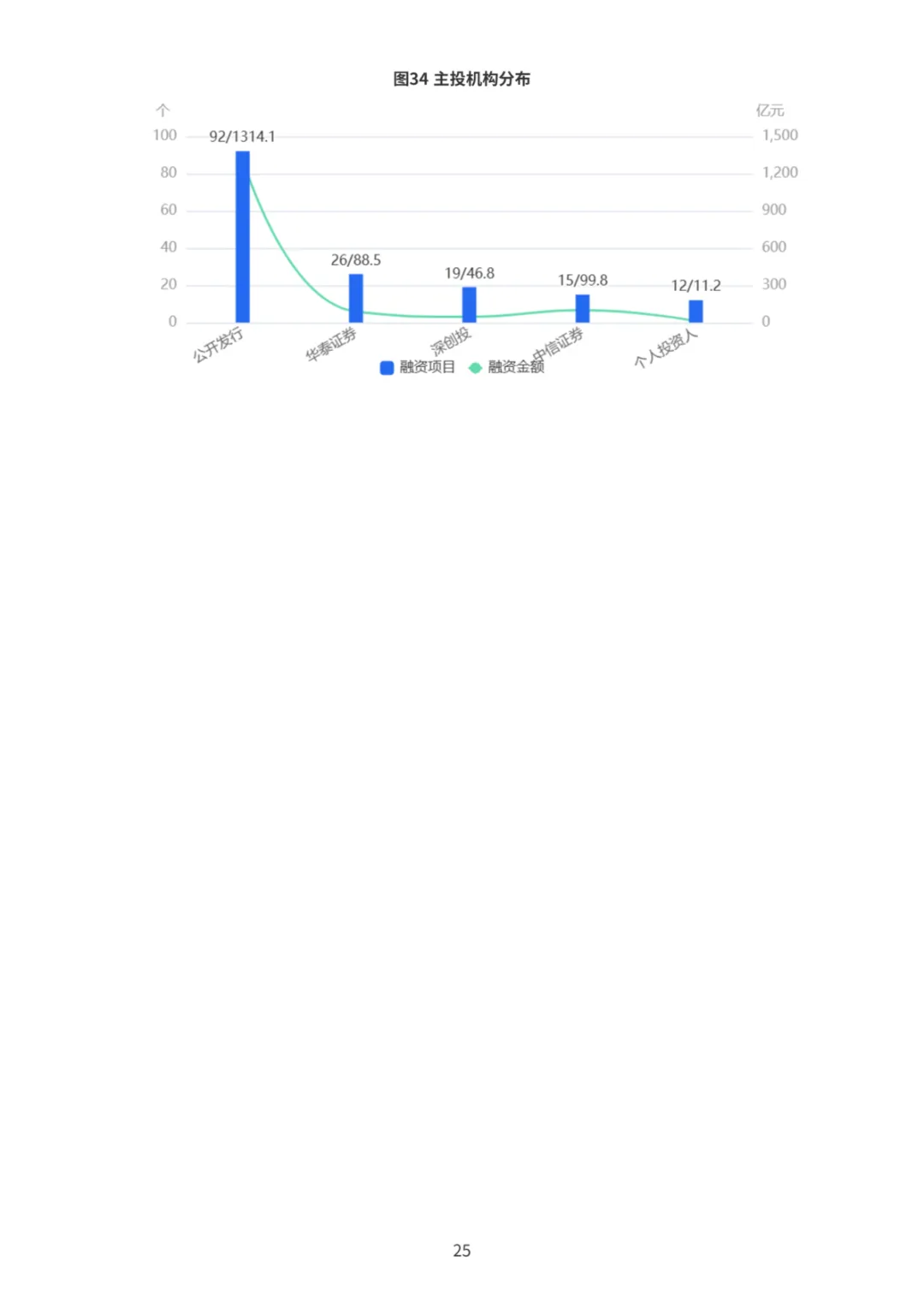
2026 年氢能产业研究报告全面呈现国内氢能行业发展格局。报告围绕产业图谱、企业概况、优质主体、科技创新、股权融资五大维度展开分析。氢能产业链覆盖原材料、生产供应、装备零部件及应用四大核心板块,细分二十九个具体环节,应用场景延伸至交通、工业、发电等多个领域。国内氢能相关企业总量达八千八百八十四家,民营企业占比超八成。江苏在企业总量、优质企业数量等多项指标中位居前列。企业运营年限集中在一至三年,注册资本以一千至五千万元区间为主。优质企业包含上市企业、高新技术企业、专精特新企业等类型,形成多层次优质主体结构。产业创新成果丰富,北京在创新平台、参研标准、专利及软件著作权方面保持领先。全国授权专利总量突破四十三万件,创新支撑能力持续增强。股权融资市场活跃度较高,累计融资项目一千八百四十个,融资金额超万亿元。江苏融资项目数量领先,北京融资总额突出。战略融资为主要融资轮次,亿元以上规模项目占比较高,资本对氢能产业的投入保持稳定态势。


























本平台只做内容的收集及分享,报告版权归原撰写发布机构所有,由碳中和报告之家社群通过公开合法渠道获得,如涉及侵权,请联系我们删除,客服:lsf450635;如对报告内容存疑,请与撰写、发布机构联系。



今日报告分享
加入碳中和社区,下载完整文档
已有1000+小伙伴加入碳中和社区交流

















丨扫上图二维码,加入星球下载5K+资料
丨知识、问答与合作,双碳领域必备工具
公众号回复关键词【双碳目标下的技术路线图】,免费领取最新双碳技术路线图


