化合物在有机溶剂或水中的溶解度,对于筛选方案设计和后续的工艺开发同等重要。例如在设计冷却结晶相关筛选方案时,需选择溶解度适宜且溶解度对温度高度敏感的溶剂。此外,选择涵盖各类化学官能团的溶剂及溶剂混合物,能最大程度增加发现新型、有研究价值且可开发固体晶型的概率。本白皮书介绍两种可高效、可重复获取溶解度数据的动态方法:温度变化法和溶剂添加法。借助 Crystal16 结晶仪集成的浊度探针,以及 Crystalline 结晶仪的颗粒观测相机,可轻松实现这两种方法的应用。


目录
1.引言
2.溶解度的测定方法
3.溶解度的动态测定方法及其应用
3.1 温度变化法
3.2 溶剂添加法
3.3 温度变化法与溶剂添加法在共晶结晶筛选中的应用
4.总结

1 引言
溶解度的定义为:在特定工艺条件下,结晶态化合物能溶解于某一特定溶剂体系的平衡量,其中温度通常是影响溶解度的最关键参数。多数化合物的溶解度随温度升高而增大,异烟酰胺在乙醇中的二元体系便是典型例子(见图 1a),异烟酰胺的溶解度随温度(T)升高而增加。同一化合物在不同溶剂或溶剂体系中,溶解度可能存在显著差异(见图 1b)。图 1c 还展示了 4 - 羟基苯甲酸、尼氟灭酸和异烟酰胺三种不同化合物,在 1,4 - 二氧六环这一特定溶剂中的溶解度也可能截然不同。
图 1:温度依赖性溶解度曲线

A:异烟酰胺在乙醇中的溶解度曲线 B:卡马西平在乙醇、丁醇和乙腈中的溶解度曲线 C:4 - 羟基苯甲酸、尼氟灭酸和异烟酰胺在 1,4 - 二氧六环中的溶解度曲线 数据由 Crystal16 结晶仪测定
从药物研发的最初阶段,到整个工艺开发过程,再到制剂生产,溶解度数据都是制定关键决策的重要依据。结晶工艺被广泛应用于多种产品的纯化与颗粒制备,在活性成分的结晶过程中,溶解度曲线有助于选择合适的结晶工艺(如冷却结晶、蒸发结晶),并决定结晶收率。因此,掌握溶解度相关知识,是设计结晶工艺的关键前提。
测定溶解度需要精准控制温度和液、固相组成,理想情况下还需能在短时间内生成大量数据。Crystal16 和 Crystalline 两款结晶仪,是高效收集和分析溶解度数据的理想工具。
溶解度测定不仅要求精准控温,还需敏锐观察相转变过程(即固相的完全溶解),同时结合体系的组成信息。由于通常需要获取某一温度范围或组成范围内可重复的溶解度数据集,需单独测定大量数据点,这一过程耗时费力。而 Crystal16 和 Crystalline 结晶仪为溶解度测定的自动化执行提供了宝贵工具,能快速、可控且可重复地完成测定。
2 结构组成
平衡浓度法与动态方法对比
目前被广泛认可且测定结果准确的溶解度测定方法为悬浮液平衡法:先使悬浮液达到溶解平衡,再测定溶液组成,进而确定溶液浓度。该方法需对悬浮液取样、过滤去除固相,再通过重量法、光谱法,或高效液相色谱等色谱法测定浓度(见图 2a)。但这种平衡浓度法操作繁琐、耗时较长。
另有两种简便易行的测定方法:温度变化法和溶剂添加法。前者通过逐步改变悬浮液的温度,后者通过逐步调整悬浮液的组成,直至体系中晶体完全溶解。
在浓度 - 温度图中,悬浮液转变为澄清溶液的临界点被称为清亮点。温度变化法可测定清亮点温度,图 2b 展示了温度变化法的测定原理:悬浮液中的晶体随加热过程逐渐溶解,当温度达到某一特定值(即清亮点温度)时,晶体完全消失。溶剂添加法可在恒温条件下测定清亮点组成,图 2c 展示了溶剂添加法的测定原理:悬浮液中的晶体随稀释过程逐渐溶解。
图 2:从特定组成(●)的悬浮液中测定化合物溶解度的三种方法

a 平衡浓度法 b 温度变化法 c 溶剂添加法(a 橙色圆点代表传统平衡浓度法中,从悬浮液取样得到的溶液浓度;b 紫色箭头表示温度变化法中,通过改变温度调整体系溶解度,直至与体系总浓度匹配;c 绿色箭头表示溶剂添加法中,通过溶剂添加改变体系组成)
若选择足够慢的加热速率或溶剂添加速率,可将清亮点视为溶解度点。与平衡浓度法相比,这两种动态方法优势显著:操作步骤大幅减少(无需取样、过滤),不仅耗时更短、人工成本更低,还能降低人为操作误差。除加热速率、溶剂添加速率和清亮点测定的精准度外,溶解度测定的误差还与化学体系本身相关。例如,若出现器壁结晶现象(即晶体在测定容器内的液面上沿器壁析出),由于部分固相未参与溶解,测得的溶解度值会与实际值存在偏差。
此外,大量研究证实,温度变化法和溶剂添加法能在短时间内为众多化学体系提供可靠、可重复的溶解度数据,每年发表的相关科研论文数量也印证了这两种方法的实用性。
3 溶解度的动态测定方法及其应用
1、温度变化法:
温度变化法是测定化合物在溶剂中温度依赖性溶解度曲线的最适方法。对组成已知的悬浮液进行加热,晶体完全溶解时的温度,即为溶解度曲线上的一个数据点。通过冷却使体系重结晶后,可重复上述测定过程。这种循环测定的额外优势在于:冷却阶段可记录晶体首次析出的温度(即云点)。大量云点数据可用于计算亚稳区宽度,亚稳区宽度不仅能确定结晶工艺的操作范围,还能反映体系的初级成核趋势。
溶解度和亚稳区宽度的测定温度范围,受溶剂的熔点、沸点以及待测化合物的分解温度限制。此外,为高效生成数据,要求体系的亚稳区足够窄,确保冷却阶段能发生重结晶。Crystal16 结晶仪可同时完成 16 组 1 毫升体系的溶解度测定,多样品同步测定能快速获得不同浓度下的饱和温度数据集,进而绘制溶解度曲线。图 3a 为卡马西平、皮考林酰胺和异烟酰胺在乙醇中的溶解度曲线,便是典型实例。利用这些模型化合物的溶解度数据,可绘制对应的范特霍夫图(见图 3b),通过插值法计算化合物在任意温度下的溶解度。
范特霍夫图是将溶质摩尔分数的自然对数(lnx)对温度的倒数(1/T)进行线性拟合得到的图谱,拟合公式为:

式中,x 为溶质的摩尔分数,T(K)为对应的饱和温度。

图 3:(a)卡马西平、皮考林酰胺和异烟酰胺在乙醇中的溶解度曲线;(b)对应的范特霍夫图
2、溶剂添加法:
当需要在恒温条件下获取溶解度数据时(多组分混合物的溶解度测定多为该情况),溶剂添加法为首选方法。此外,该方法也适用于溶解度对温度不敏感,或亚稳区较宽的体系,但无法通过该方法测定亚稳区宽度。
溶剂添加法的测定全程保持温度恒定,向组成已知的悬浮液中添加溶剂进行稀释,当体系达到溶解平衡时,检测到的临界点即为清亮点。图 2c 以二元体系为例,示意了该方法的原理。清亮点的检测可通过两种方式:一是测定溶液浓度的变化(如采用原位傅里叶变换红外光谱法),二是直接观察晶体的消失。
图 4 为利用 Crystalline 结晶仪的颗粒观测相机监测悬浮液的过程:相机按固定时间间隔拍摄体系图像,将首次拍摄到无晶体的图像对应的时间点,定为清亮点。因此,缩短拍摄时间间隔,能提高清亮点测定的精准度。溶剂添加法的最关键参数为溶剂添加速率,需选择足够慢的添加速率,确保晶体有充足时间溶解;若添加速率过快,测得的溶解度值会低于实际值。
Crystalline 结晶仪可同时完成 8 组样品的测定,通过注射器泵向样品瓶中持续添加溶剂(见图 4a)。随着溶剂的加入,结晶仪的相机可清晰捕捉到悬浮液中晶体逐渐减少的过程,直至晶体完全消失(见图 4b)。
体系的饱和浓度(c∗)可通过以下公式计算:

式中,mcryst,0为晶体的初始质量,V0为体系初始体积,Ra为溶剂添加速率,tclear为测定得到的清亮点时间。

图 4:(a)搭载 8 个注射器的 Crystalline 结晶仪的溶剂添加装置(每个注射器可装入不同组成的溶剂);(b)结晶仪相机记录的溶剂添加过程中晶体逐渐消失的图像图片由斯特拉斯克莱德大学先进化学制造中心瓦茨拉夫・斯沃博达提供
3、温度变化法与溶剂添加法在共晶结晶筛选中的应用:
温度变化法和溶剂添加法的应用范围十分广泛,涵盖药物研发早期、工艺开发和制剂生产等各个阶段,同时也适用于共晶结晶的筛选工作。只要选择合适的共形成剂,共晶结晶技术可改善药物活性成分的多项理化性质,如保质期、溶出速率和生物利用度。
传统的共晶体系筛选方法包括液相助磨法和溶液结晶法,这些方法通常采用药物活性成分与候选共形成剂的化学计量比进行实验。但由于实验所选组成未必落在 “溶剂 - 药物活性成分 - 共形成剂” 三元相图的共晶形成区,通过传统方法极易错过大量潜在的共晶体系。
特・霍斯特等人提出了一种基于伪二元相图的共晶筛选方法,该方法通过温度变化法绘制伪二元相图,用于寻找新型共晶体系。其核心原理为:适合形成共晶的体系组成,与药物活性成分和共形成剂在对应溶剂中的相对溶解度相近。利用 Crystal16 结晶仪,可同时完成所有相关化合物的溶解度测定,以及候选体系伪二元相图的绘制。
以下以卡马西平为模型化合物,研究其与皮考林酰胺、异烟酰胺两种共形成剂在乙醇中形成共晶的趋势,具体说明该方法的应用。
首先利用已测得的纯组分溶解度数据(见图 3),绘制模型体系的伪二元相图,相图中各样品的组成通过以下公式确定:

式中,xA、xB分别为样品中药物活性成分(A)和共形成剂(B)的摩尔分数,xA∗、xB∗为二者在温度 T 下的摩尔溶解度。

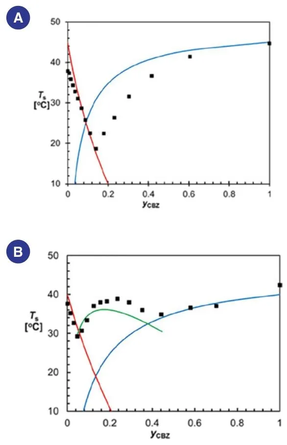
图 5:卡马西平与共形成剂皮考林酰胺(a)、异烟酰胺(b)的饱和温度(Ts)随卡马西平溶剂排除摩尔分数(yCBZ)的变化曲线
在卡马西平 - 皮考林酰胺体系的相图中,仅能观察到一个低共熔点,说明这两种模型化合物之间无法形成共晶。但在yCBZ为 0.2~0.7 的区间内,体系的饱和温度降低,表明卡马西平的存在能提高皮考林酰胺的溶解度。
在卡马西平 - 异烟酰胺体系的相图中,0.1≤yCBZ≤0.5区间内明显形成了更稳定的晶体,该晶体极有可能是卡马西平与异烟酰胺形成的共晶,而饱和温度显著升高的区域即为共晶形成区。可通过后续实验制备该体系的单晶,进一步确定其晶体结构。
上述实例表明,仅利用 Crystal16 结晶仪即可完成两种模型化合物体系的共晶筛选。绘制伪二元相图的前提,是掌握体系中各化合物的溶解度数据。从理论上讲,某一药物活性成分 - 共形成剂体系的所有测定结果(包括相图绘制)可在 48 小时内完成。该方法为潜在共晶体系提供了快速的初步筛选手段,筛选得到的候选体系可通过单晶 X 射线衍射、固态核磁共振、固态红外光谱、差示扫描量热法等技术做进一步验证。
从纯组分坐标轴延伸出的实线,为利用范特霍夫参数预测得到的纯药物活性成分、纯共形成剂及共晶的饱和温度曲线。
目前,行业内亟需一种能测定共晶等复杂体系溶解度,并准确定义共晶形成区的高效方法。以各纯组分在指定温度下的溶解度为基础,通过溶剂添加法可轻松测定共晶在不同组成范围内的等温溶解度,进而确定共晶形成区,以下仍以卡马西平 - 异烟酰胺体系为例说明。
首先将两种组分均溶解至饱和浓度,得到测定起始点(图 6 中点 1)。尽管此时体系中两种组分的溶剂排除摩尔分数,未必与固相共晶中的化学计量比一致,但该起始点大多落在共晶形成区内,可形成用于测定的悬浮液。向体系中添加溶剂进行稀释,最终可检测到清亮点;若共晶的溶解度远低于纯组分的溶解度,需添加大量溶剂才能达到清亮点,此时可采用连续测定的方式:配制两种纯组分含量更低的起始体系(如图 6 中点 2),向该体系中添加任意一种组分的不饱和溶液,直至体系变为澄清溶液,即可得到溶解度曲线上的另一个数据点。
溶剂添加法为复杂体系的溶解度测定提供了快速手段,与 Crystal16 结晶仪的温度变化法类似,将溶剂添加法进行多路复用和自动化改造(见图 4),可实现溶解度数据的高效生成。

图 6:利用溶剂添加法测定异烟酰胺 - 卡马西平共晶在乙醇中的相图横坐标为异烟酰胺的摩尔分数(xINA),纵坐标为卡马西平的摩尔分数(xCBZ);绿色标记为 20℃下的溶解度数据;蓝色圆点为测定起始点,红色箭头为溶剂添加路径,橙色菱形为选定的清亮点
4 总结
基于浊度检测或相机分析的自动化清 - 云点测定技术,极大地提高了溶解度数据的获取效率。利用配备集成式浊度传感器的 Crystal16 结晶仪,通过清 - 云点法测定溶解度,科研人员可轻松获得可重复的测定数据,且相比平衡浓度法,操作难度大幅降低。将溶剂添加法与配备颗粒观测相机的 Crystalline 结晶仪结合使用,成为恒温条件下测定溶解度、快速绘制等温相图的常用技术。因此,这两种方法已在全球众多高校和企业实验室中得到广泛应用。
除实现清 - 云点测定的多路复用外,仪器的自动化改造进一步提升了分析效率,降低了人工成本,这也推动了溶解度数据从药物研发早期,到结晶工艺开发,再到制剂生产的全流程应用。每年约有 25 篇科研论文重点阐述 Crystal16 和 Crystalline 结晶仪在溶解度测定中的应用。

来源:C&CE 声明:本公众号所发表转载内容均会标明出处,其中部分素材来源于网络,转载内容只用于信息传播,仅供参考,不作为商业用途;转载内容的真实性、准确性和合法性由原作者负责;如有侵权,请联系删除


