
第一作者:Dong Cao
通讯作者:程道建 教授
通讯单位:北京化工大学

1.通过制备异质界面是改善无贵金属催化剂在水分解中的内在活性的有效方法。本文利用精确的多步湿化学方法构建了丰富异质界面的三维铜-镍硒纳米树枝(CuNi@NiSe)。
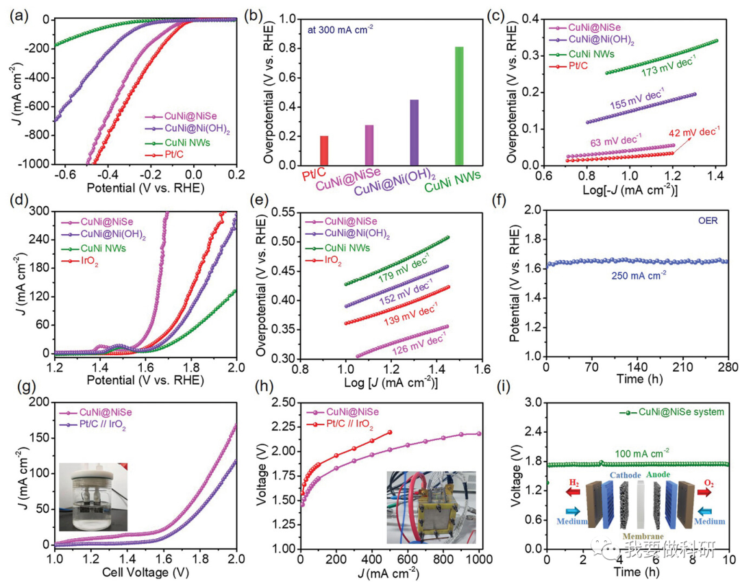
2. CuNi@NiSe在氧析出反应(OER)和氢气析出反应(HER)时,仅需分别293和41 mV的电势来实现10 mA cm−2的电流密度。
3. 此外,在阴离子交换膜(AEM)电解槽中,组装的CuNi@NiSe系统仅需2.2 V的电压来实现1000 mA cm−2的电流密度,比Pt/C//IrO2提高了2.0倍。
4. 机理研究揭示了Cu2−xSe/Ni3Se4界面上的Cu缺陷通过促进Cu原子与Ni3Se4的Se原子之间的电子转移,大大降低了HER的速率决定步骤的反应势垒。
5. 此外,Ni3Se4/NiOOH界面处Se原子的电子调控效应显著增强了Ni原子在OER过程中形成的NiOOH的内在活性。独特的三维结构还促进了催化过程中的质量传递。这项工作强调了界面工程在实际水分解中的重要作用。


图1. CuNi@NiSe的合成示意图以及形貌结构表征

图2.CuNi@NiSe的高分辨 XPS 谱图以及 XANES 光谱表征

图3. CuNi@NiSe的OER,HER以及全水解性能测试

图4. CuNi@NiSe的OER测试之后的 XANES 光谱和EXAFS 光谱表征

图5. DFT理论计算

Dong Cao, Jie Shao, Yahui Cui, Lipeng Zhang, Daojian Cheng,Interfacial Engineering of Copper–Nickel Selenide Nanodendrites for Enhanced Overall Water Splitting in Alkali Condition,Small, 2023
https://doi.org/10.1002/smll.202301613





 
  
