

随着全球人口增长和城市化加速,传统农业面临耕地减少、水资源短缺等挑战。联合国粮农组织预测,2050年全球粮食需增产70%才能满足需求。在此背景下,垂直农场与无土栽培技术应运而生,通过空间叠加和资源重构,为解决粮食安全问题提供新思路。这两项技术不仅突破地理限制,更重新定义了"农田"的概念。

垂直农场的核心原理



垂直农场是在多层建筑内进行作物种植的集约化生产系统,其核心在于立体空间的高效利用。通过人工光源、温控系统和营养输送装置,可在写字楼或地下空间建立生产单元。以新加坡Sky Greens为例,其30层种植架单位面积产量达到传统农田的10倍。这种模式将农业生产从平面扩展到立体维度,实现每立方米空间的最大化利用。

垂直农场的核心优势


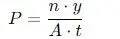
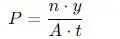
垂直农场的核心优势体现在资源效率提升。水循环系统可减少95%的用水量,LED光源的能效比太阳光利用率高40%。以生菜种植为例,传统方式需30天成熟,垂直农场通过优化光照周期可缩短至18天。其单位产能公式可表示为:

其中n为层数,y为单层产量,A为占地面积,t为生长周期。该模式特别适用于叶菜、草本植物等短周期作物。


垂直农场的实施挑战


高额初期投资是主要制约因素。建设包含环境控制系统的垂直农场,每平方米成本高达3,000-5,000美元。能源消耗占运营成本的60%,特别是人工光源的电力需求。日本某垂直农场数据显示,每公斤生菜的综合成本比传统方式高出30%。此外,技术依赖性强,需持续的环境监控和系统维护团队。

无土栽培的技术突破


无土栽培通过营养液或基质替代土壤,主要分为水培、气雾培和基质栽培三类。NASA开发的气雾培技术,根系悬空状态下通过雾化营养液供给,使作物吸收效率提升50%。迪拜沙漠农业项目采用该技术,在EC值(电导率)6.0 ms/cm的高盐环境下仍能维持作物正常生长,突破传统土壤种植的限制。


无土栽培的核心优势


该技术彻底规避土壤连作障碍和重金属污染风险。荷兰番茄无土栽培基地实现连续15年生产而不减产,产量达到45kg/㎡,是土壤栽培的3倍。营养液的精准调控使维生素C含量提升20%,硝酸盐含量降低60%。在封闭系统中,农药使用量减少90%,特别适合有机农产品生产。

无土栽培的技术局限


技术复杂性构成主要应用壁垒。营养液配方需根据作物生长阶段动态调整,例如草莓开花期需将氮磷钾比例从3:1:2调整为1:3:4。系统稳定性要求极高,pH值波动超过0.5就会导致养分失衡。美国某农场案例显示,水泵故障2小时就造成30%作物受损。初期设备投资每亩约需8-12万元,是普通大棚的3倍。


城市农业的典型场景


垂直农场正在重塑城市食物供给体系。东京Pasona总部大楼在办公区种植水稻,年产3吨大米;柏林Infarm在超市直接设立种植柜,实现生菜从采摘到上架仅需2小时。这类场景减少运输损耗85%,使蔬菜货架期延长3-5天。新加坡已实现30%叶菜来自城市农场,运输距离从1500公里缩短至15公里。

特殊环境的应用拓展


在迪拜沙漠和南极科考站,无土栽培系统展现出独特价值。中国南极长城站采用集装箱农场,在-50℃环境中维持18℃恒温,年产蔬菜900公斤。阿联酋的沙漠农场利用海水淡化技术,每吨蔬菜仅耗水5吨,是传统方式的1/20。这类系统为极端环境提供稳定的食物供给解决方案。


教育与科研场景延伸


垂直农场成为农业教育的实体教具。清华大学"屋顶农场"项目每年培训1,200名都市农艺师,涵盖从pH值调节到光谱控制的实践课程。荷兰瓦赫宁根大学建立的数字孪生农场,通过传感器采集10万个数据点/天,为优化种植参数提供实验平台。这类场景推动农业知识体系的迭代更新。


农业产业链的重构影响


两项技术正在改变农业价值链条。前端催生LED农业照明、智能传感器等新产业,全球农业照明市场规模预计2025年达87亿美元。中端推动冷链物流变革,城市周边农场使"采摘-配送"时间压缩至4小时。消费端催生植物工厂订阅服务,东京已有20万家庭定期接收种植箱产出的定制化蔬菜包。

未来农业的转型方向


垂直农业将推动农业生产从"资源依赖型"转向"技术驱动型"。当光伏成本低于$0.03/kWh时,人工光源能耗瓶颈将突破。基因编辑技术与无土栽培结合,可定向培育高营养密度的功能作物。据测算,若全球10%蔬菜采用垂直种植,每年可节约5.6万亿升水,相当于3.7个三峡水库库容。这标志着人类正从"靠天吃饭"走向"按需生产"的农业新纪元。
来源丨农业行业观察

把有品位、有品质、有品牌的产品和服务奉献给社会



