手机版
二维码
购物车
(
0
)
供应
求购
公司
团购
展会
资讯
招商
品牌
人才
知道
专题
图库
视频
下载
商圈
推广
热搜:
采购方式
滤芯
甲带
气动隔膜泵
减速机
减速机型号
带式称重给煤机
履带
无级变速机
链式给煤机
首页
供应
求购
公司
团购
展会
资讯
招商
品牌
人才
知道
专题
图库
视频
下载
商圈
首页
>
资讯
>
机械设备
机械设计公式汇总
日期:2023-08-21 10:07:15 来源:网络整理 作者:本站编辑
评论:0
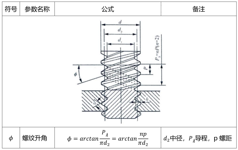
一、键的强度条件
二、螺栓的强度条件
三、带传动
四、链传动
五、标准直齿轮
六、斜齿轮
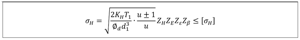
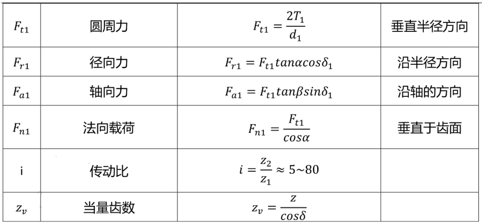
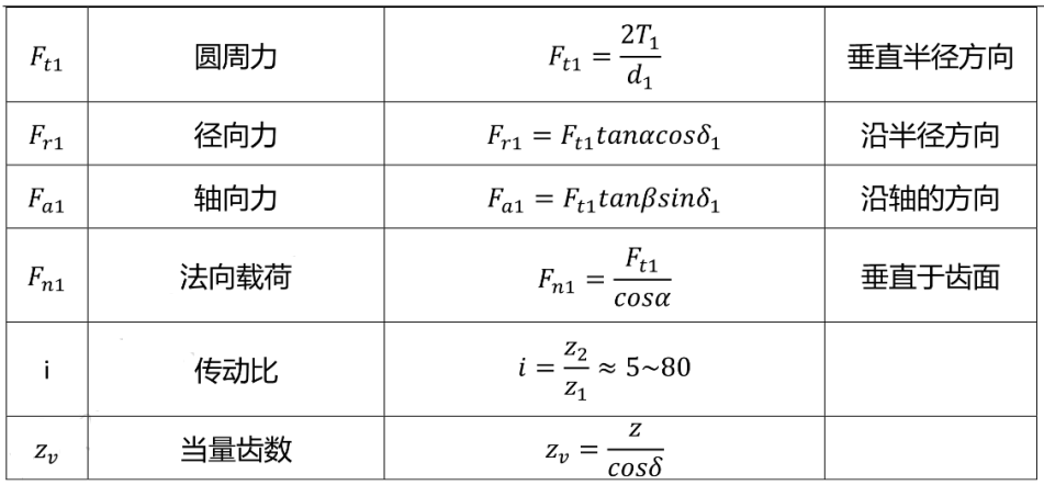
七、标准锥齿轮
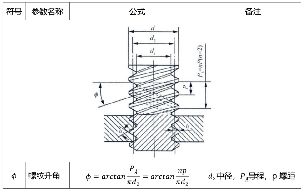
八、涡轮蜗杆
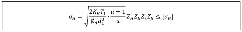
九、强度校核及可靠度
十、滑动轴承
十一、轴
十二、弹簧
十三、轴承
机械设计公式的内容讲解到此结束,欢迎各位进行补充。
-End-
往期精彩推荐:
机械设计主要考虑的问题
功能分析法步骤
机械设计基础(2)之机械零件常见的主要失效形式
复制
搜一搜
转发
收藏
划线
打赏
更多
>
同类资讯
• 急招机械设备工程师!南京 |8千-
0
条
相关评论
推荐图文
推荐资讯
点击排行
18
1
求自动化设备供应商
14
2
烟台机械类小公司招人咋那么难
12
3
半导体设备零部件供应商系列:石英部件
10
4
是做齿轮链轮⚙️的厂子嘛~
9
5
没有进项票的二手工程机械如何合规出口?
8
6
喷涂工艺
7
7
不用预热焊接耐磨板专用焊丝 JD825耐磨钢焊丝
7
8
电镀生产线,这里也太酷了吧!?
6
9
实验室教学设备采购必入清单!
网站首页
|
关于我们
|
联系方式
|
使用协议
|
版权隐私
|
网站地图
|
排名推广
|
广告服务
|
积分换礼
|
网站留言
|
RSS订阅
|
违规举报
|
皖ICP备20008326号-18
(c)2008-2022 免费发布网 All Rights Reserved