手机版
二维码
购物车
(
0
)
供应
求购
公司
团购
展会
资讯
招商
品牌
人才
知道
专题
图库
视频
下载
商圈
推广
热搜:
采购方式
甲带
滤芯
气动隔膜泵
减速机型号
减速机
履带
带式称重给煤机
链式给煤机
无级变速机
首页
供应
求购
公司
团购
展会
资讯
招商
品牌
人才
知道
专题
图库
视频
下载
商圈
首页
>
资讯
>
社会热点
2026年“贺岁杯”企业经营分析与决策大赛晋级名单
日期:2026-02-05 16:01:33 来源:网络整理 作者:本站编辑
评论:0
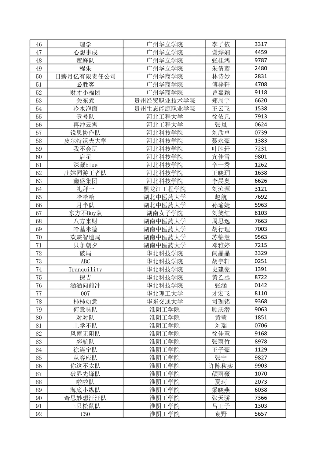
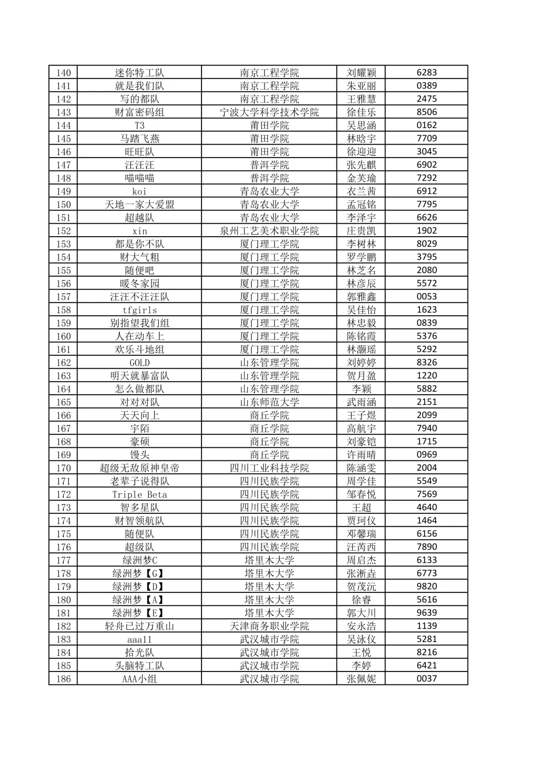
2026年“贺岁杯”企业经营分析与决策大赛晋级名单
2026年“贺岁杯”企业经营分析与决策大赛晋级名单
2026年“贺岁杯”企业经营分析与决策大赛复赛已于2026年2月1日完成,现公布决赛晋级名单,请查看晋级队伍。
打赏
更多
>
同类资讯
• 2026春节消费观察:下沉市场爆发,
0
条
相关评论
推荐图文
推荐资讯
点击排行
0
1
AI医疗产业加速发展分析
0
2
中国工业互联网投融资报告 (2024年)【41页】
0
3
全盟经济形势分析会在锡林浩特召开
0
4
数字化转型与企业核心竞争力提升路径
0
5
好文推介 | 数字化转型对企业全要素生产率的影响:人机协作的中介作用
0
6
深度解析储能行业出海新机遇与挑战
0
7
芜湖市中小企业数字化转型试点城市企业数字化改造补助资金及预拨资金申报工作实施细则印发
0
8
半导体设备行业深度解析:下游扩产与国产化双轮驱动,把握2026年投资新机遇
0
9
财资管理革命:数字化司库如何重塑企业价值中枢
网站首页
|
关于我们
|
联系方式
|
使用协议
|
版权隐私
|
网站地图
|
排名推广
|
广告服务
|
积分换礼
|
网站留言
|
RSS订阅
|
违规举报
|
皖ICP备20008326号-18
(c)2008-2022 免费发布网 All Rights Reserved