

点击文末“船机通”二维码关注我们
船机故障心莫慌,船机故障找船机通
轮机长必会:《船舶能耗数据报告表格》及填写要求


AAAA

表格填写相关要求及说明
一、总体说明
1、报告周期为选择性填写,航次报填写第一栏,年报/月报填写第二栏。
2、对于不适用的项目,用“N/A”标记。
3、对于按月报或者年报进行报告的船舶,如果某一航次跨越两个报告期,则该航次的数据均应计入航次结束时的报告期。
二、船舶基本信息
4、船名包括船舶的中文名和英文名,有英文名时应同时填写英文名。
5、公司名填写负责数据收集和报告的船舶所有人或者船舶经营人全称。
6、对于国际航行船舶,船舶识别信息填报 IMO 编号,即船舶根据国际海事组织第A.1078(28) 号决议通过的《国际海事组织船舶识别号计划》所分配的特有标识码;
对于其他船舶,船舶识别信息填报船舶识别号,即依照《中华人民共和国船舶登记条例》在中国登记的船舶,按照《中华人民共和国船舶识别号管理规定》取得的用于永久识别船舶的唯一编码。
7、船旗国填写船舶在报告期内所持有的船籍。
8、船舶类型包括国际航行船舶、国内航行海船、内河船三类。船舶在固定水域范围内航行且单航次的航行时间不超过 4 小时的,以及船舶在固定航线航行且单航次的航行时间不超过 24 小时的,应当以适当形式注明。
9、船舶种类包括散货船、气体运输船、液货船、集装箱船、杂货船、冷藏船、兼用船、滚装货船(车辆运输船)、滚装货船、客船、客滚船等。
10、建造时间是指签订建造合同的时间。若没有建造合同,指已安放龙骨或处于类似建造阶段的时间。建造时间填写 6 位有效数字,前 4 位为年份,后 2 位为月份,如 200602 表示 2006 年 2 月。
11、总吨根据船舶证书确定。
12、净吨根据船舶证书确定。
13、载重吨系指在相对密度为 1025 kg/m3 水中的船舶夏季装载吃水和空载吃水排水量的吨位差值。夏季装载吃水应按照主管机关或其授权组织认证的稳性手册中载明的最大夏季吃水。载重吨根据船舶证书确定,单位为吨(t)。
14、集装箱箱位量由集装箱船填写,根据船舶证书确定。
15、船舶能效设计指数(EEDI)根据船舶《国际能效证书(IEE 证书)》附件中的“达到的能效设计指数”确定。
16、冰级根据《极地水域营运船舶国际规则》中的定义确定。
17、设计航速为满载排水量时的最大持续航速,单位为节(kn)。
18、主机、副机和锅炉额定功率是指往复式内燃机主机、副机和锅炉铭牌上标注的最大连续输出功率,单位为千瓦(kW)。如果船舶有多个副机或锅炉,则填写相应设备额定功率总和。
三、运输活动数据
19、航行距离、航行时间、营运时间、客货周转量主要根据船舶航海日志、轮机日志、油类记录簿及航次报告等进行收集。
20、客货周转量是指船舶载运的客货运输量(或折算运输量)与对应运输距离的乘积。
21、客货运输量或折算运输量按下列方法统计:
(1)对于散货船、气体运输船、液货船、杂货船、冷藏船、兼用船、滚装货船(车辆运输船)和滚装货船,为所载货物总质量,单位为吨(t);
(2)对于集装箱船,为所载运集装箱标准箱数量(TEU);
(3)对于混装集装箱及其它货物的船舶,为所载运集装箱质量与其他货物质量的总和,单位为吨(t)。
(4)对于客船(包括客滚船),为实际乘客数量(人),实际乘客数量难以统计时以额定载客人数代替;
(5)在无法获得箱货实际质量的情况下,一个重载标准箱(TEU)可按 10t 折算,一个空载 TEU 可按 2t 折算。
22、航行距离是指载于航海日志的船舶在航状态下依靠自有动力相对于地的实际航行距离,单位为海里(nmile)。
23、航行时间是指船舶自起运港离开码头泊位、锚地或浮筒,当解掉最后一根缆绳或起好船锚时,至到达港靠好码头泊位、锚地或浮筒,系妥第一根缆绳或抛下第一个船锚时止的时间,为船舶在航状态下依靠自有动力航行时间,单位为小时(h)。
24、营运时间是指船舶技术状况完好可以从事运输工作的时间,包括航行时间、停泊时间、其他工作时间。船舶带货修理等仍然从事运输生产的情形应计入营运时间,单位为小时(h)。
四、船舶燃料消耗数据
25、船用燃料种类填报分类标识,具体分类标识见下表:

26、船用燃料消耗数量包括但不限于主机、副机、燃气轮机、锅炉及惰性气体发生器等全部用能设备的燃料消耗重量,单位为吨(t)。
27、船用燃料消耗的收集方法主要有以下三种(详见附录):
(1) 燃油舱测量法,代码为 A;
(2) 加油签收单(BDNs)加总法,代码为 B;
(3) 燃油消耗流量计法,代码为 C。
船用燃料收集方法仅填报代码。如果采用两种以上的方法,可同时填报,但作为临时替代手段的收集方法不需填报。在同一个报告期内,船舶应当尽量采用相同的方法对船用燃料消耗数据进行收集。如确有必要改变数据收集方法,应当做出必要的记录和说明。
28、岸电消耗量是指停泊靠港时消耗的岸电电量,根据船上电能计量器具显示的用电量进行统计,单位为千瓦时(kW•h)。
船用燃料消耗量的收集方法
方法 A.燃油舱测量法
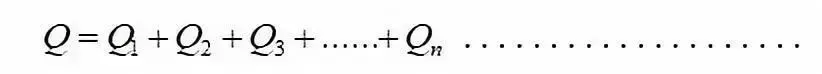
通过量油尺、声呐、自动化系统等,连续测量燃油舱来获取燃油消耗量,从而确定报告期内的船用燃料消耗总量,并按公式(1)计算。

(1) 式中: Q1、Q2、Q3--报告期内第 1 次、第 2 次和第 3 次通过燃油舱测量获得的燃油消耗量,单位为吨(t);
Qn--报告期内第 n 次燃油舱测量得的燃油消耗量,单位为吨(t); n--报告期内燃油舱测量总次数。
原则上,应当在每天以及每次加装或驳出燃油时进行燃油舱测量,并在船舶到港或其他可行情况下,对燃油舱测量数据进行校正。
如果采用了密度、温度等修正,应当保留证明文件。测量数据概要和燃油消耗记录应当保留在船。
注:使用气体燃料的船舶不适用该方法。
方法 B.加油签收单(BDNs)加总法
这种方法是基于加油签收单(BDNs),对报告期内的燃油加装量进行加总,加上前一个报告期的盘存燃油量,再减去燃油驳出量和结转到下一报告期的燃油消耗量,来确定燃油消耗总量,按公式(2)计算。

(2) 式中: Q b --报告期初的燃油舱存量,单位为吨(t); Q d --加油签收单(BDNs)记载的加油量,单位为吨(t); Q c --油类记录簿记载的燃油驳出量,单位为吨(t); Q e --报告期末的燃油舱存量,单位为吨(t)。
加油签收单(BDNs)须在船上保存至少 3 年。
为确定舱内燃油余量在报告期前后的差异,应在报告期开始和结束时分别根据燃油舱测量法进行燃油舱测量。
任何用于最终区分燃油舱存油量的补充数据应保留书面证明。
燃料驳出量应与油类记录簿中的记载相符。
如果船舶按航次收集数据,且航次跨越不同报告期的,则所收集的数据应计入航次结束时间所在的报告期。
如果船上无加油签收单(BDNs),不适用此方法;如船载货物(如液化天然气)用作燃料时,此方法不能单独使用。
方法 C.燃油消耗流量计法
这种方法基于船舶燃料流量计读数,通过连续读取船舶所有用能设备船用燃料消耗量,对其加总获得报告期内船用燃料消耗总量,按公式(3)计算。
(3) 式中: Qd1、Qd2、Qd3--报告期内第 1 次、第 2 次和第 3 次使用船舶燃料流量计测得的船用燃料消耗量,单位为吨(t);
Qdn--报告期内第 n 次使用船舶燃料流量计测得的船用燃料消耗量(t)。
原则上,应在每天以及每次加装或驳出燃油时记录船舶用能设备的流量计读数并计算船用燃料日消耗量,并在船舶到港或其他可行情况下,对流量计测量数据进行校正。
如果某些用能设备未配备船用燃料流量计或所配备的流量计发生故障,应采用其他替代方法进行数据收集。
对于所采用的任何替代方法,以及对流量计所进行的校正和保养,应如实记录,并将记录保留在船上。
用电量进行统计,单位为千瓦时(kW•h)。

有态度 • 有深度
有高度 • 有温度

商务合作或者投稿请联系后台-微信:


