手机版
二维码
购物车
(
0
)
供应
求购
公司
团购
展会
资讯
招商
品牌
人才
知道
专题
图库
视频
下载
商圈
推广
热搜:
采购方式
滤芯
甲带
气动隔膜泵
减速机
减速机型号
带式称重给煤机
履带
无级变速机
链式给煤机
首页
供应
求购
公司
团购
展会
资讯
招商
品牌
人才
知道
专题
图库
视频
下载
商圈
首页
>
资讯
>
社会热点
阿拉善高新技术产业开发区(乌斯太镇)2022年度使用公立幼儿园人员控制数招聘幼儿园教师总成绩公示及体检考察相关事宜的公告
日期:2023-08-20 02:09:46 来源:网络整理 作者:本站编辑 浏览:
22
评论:0
根据《阿拉善高新技术产业开发区(乌斯太镇)
2022
年度使用公立幼儿园人员控制数招聘幼儿园教师公告》要求,现将考试总成绩(总成绩
=
笔试总成绩×
50%+
面试成绩×
50%
)进行公示,并就开展体检、考察相关事宜公告如下:
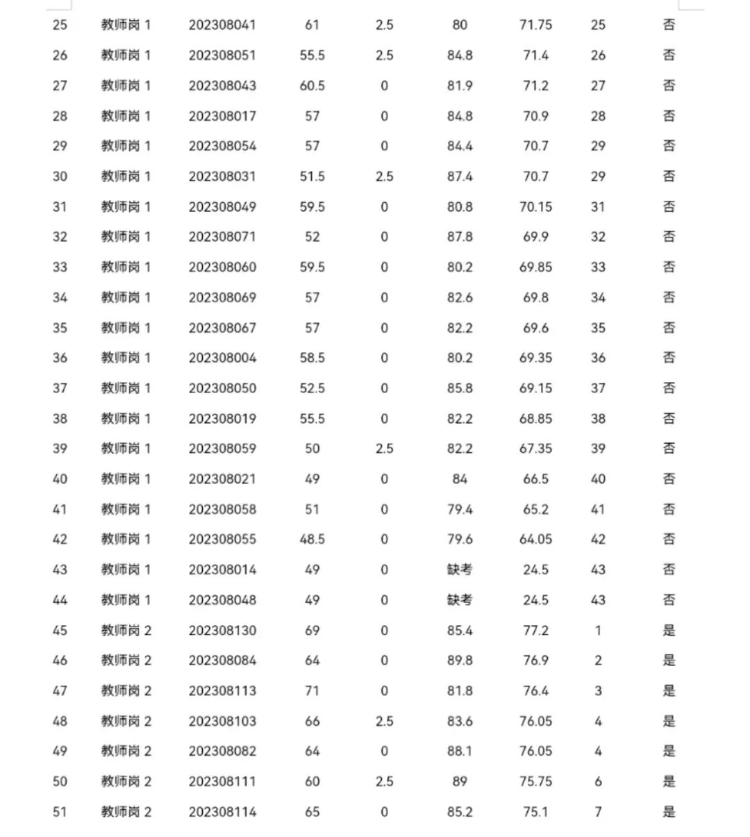
一、总成绩
(详见附件)
二、
体检工作
(一)体检标准参照公务员录用体检有关规定执行。
(二)进入体检环节的应聘人员须自行前往阿拉善高新技术产业开发区(乌斯太镇)综合医院体检,费用自理。体检报告扫描件要于
2023
年
8
月
23
日前发送至电子邮箱(
blrlzygs@126.com
),并以“姓名
+
身份证号
+
报考岗位
+
联系电话”的方式命名,报告原件个人留存备查。
(三)对于逾期未提交体检报告、体检不合格或在体检过程中弄虚作假、隐瞒重要病史等导致体检结果不实的,将取消录用资格并进行递补。应聘人员体检不合格的,将在接到体检结论通知之日起
3
日内进行复检。复检只能进行
1
次,体检结果以复检结论为准。
三、
考察工作
(一)考察工作由阿拉善高新技术产业开发区博莱人力资源公司统一组织实施,应聘人员须在规定时限内配合完成考察工作,因应聘人员不配合而未完成考察工作的,视为自动放弃。
(二)应聘人员考察不合格的,经阿拉善高新技术产业开发区使用公立幼儿园人员控制数招聘幼儿园教师工作领导小组研究确定,取消其聘用资格,并进行递补。
附件:阿拉善高新技术产业开发区(乌斯太镇)
2022
年度使用公立幼儿园人员控制数招聘幼儿园教师总成绩
阿拉善高新技术产业开发区博莱人力资源管理有限公司
2023
年
8
月
19
日
附件
来源:社会事务办公室教体股
打赏
更多
>
同类资讯
• 全网最详细的东极岛穿搭教程❗
• 秋天来看海?
• 在威海!拍到了人生照片❤️
• 来点朋友圈发不了的细糠
• 月入3000?打工人|红色系穿搭出片
• ?存一些海边拍照姿势|?jk海盐味
• 176cm|超适合海边的一身穿搭‼️
• ?️|海边平价穿搭分享
• 夏天的第一组朋友圈照片?️附滤
• ?白裙爆单!小个子海边穿搭太绝
0
条
相关评论
推荐图文
推荐资讯
点击排行
94
1
全网最详细的东极岛穿搭教程❗️❗️❗️
65
2
40+小阿姨好久不见
61
3
秋天来看海?
57
4
你听说过“软抵抗”吗?
55
5
月入3000?打工人|红色系穿搭出片又显白?
54
6
215斤|大码女孩的海边穿搭分享~
51
7
?存一些海边拍照姿势|?jk海盐味的夏天
45
8
那是我一直想去的海边
43
9
这么会穿衣的姐姐是谁?!
网站首页
|
关于我们
|
联系方式
|
使用协议
|
版权隐私
|
网站地图
|
排名推广
|
广告服务
|
积分换礼
|
网站留言
|
RSS订阅
|
违规举报
|
皖ICP备20008326号-18
(c)2008-2022 免费发布网 All Rights Reserved