本研究展示了利用ChromCompare+创新的自动化分析工作流程识别水果品种间的显著差异研究。
简介
质量管理不仅使食品和饮料行业能够满足消费者的期望,而且维护了品牌声誉和产品安全。
分析仪器不断发展,使我们能够比以往更深入地了解样品的成分,但数据处理仍然是一个具有挑战性的难题。色谱的复杂性和涉及的大量样品使得很难确定样品批次或类别之间的趋势和差异。ChromCompare+是一个功能强大、易用的化学计量学软件平台,可将复杂的1D或2D气相色谱-质谱数据转化为有意义且可用的结果。在这里,我们将展示如何使用ChromeCompare+软件,利用所有原始气相色谱-质谱数据自动识别五个梨品种的关键差异。[1]这一创新方法最大限度地减少了繁琐的预处理步骤,并使质量控制实验室能够采用自动化工作流程。
实验条件
样品:用QuEChERS萃取法制备了五种不同梨品种的提取物,并重复分析了三次。
GC-MS: 仪器: BenchTOF-HD™;质量范围:m/z 40–800。采集速率:5 Hz。
软件方面:仪器控制采用TOF-DS,数据处理采用ChromCompare+。
结果
在数据挖掘和化学计量学之前,使用气相色谱-飞行时间质谱(图1)对五个梨品种进行了非目标比对分析。

图1 五个梨样提取物的GC-TOFMS谱图(B1-B5)
原始数据直接导入到ChromCompare+中,以发现品种间的差异。通过“Feature Discovery”是为了从总共超过30,000个特征中选择50个最显著的差异特征(图2)。“Feature Explorer”突出显示了导致色谱图之间显著差异的保留时间和离子,使分析人员能够快速查看结果并进行鉴定。

图2 使用不同梨品种的原始数据进行Feature Discovery后的ChromCompare+结果–所有样本在主成分分析评分图中都显示出明显的差异
图2中的主成分分析得分图显示,品种B1和B3表现出最接近的相似性,但所有品种都可以区分。当检查色谱图时,这些差异中的一些很容易看到(图1);例如,发现B5含有更多的δ5-燕麦甾醇和乙酸己酯,同时油酸甲酯、α-法尼烯和反式松柏醇的含量减少。
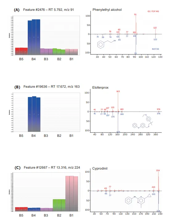
然而,品种之间的一些微量差异也被列为最显著的差异,这些差异可能在人工处理工作流程中没有被注意到。在ChromeCompare+中可以使用交互式功能摘要图表来帮助可视化这些差异。图3提供了在栽培品种中发现的一些微量差异的特征总结图,以及相应的鉴别。
例如,发现品种B4的苯乙醇含量明显高于所有其他样品(图3A)——这是一个重要的特点,因为它可以提供一种特有的花香和甜味。[2]这种非目标工作流程对于识别潜在有害化合物也很有用;例如,杀虫剂醚菊酯仅在品种B4中发现(图3B),而品种B1的一个关键区别是杀真菌剂嘧菌环胺的含量增加。(图3C)
这些痕量峰的丰度比最高响应峰低几个数量级,如果采用峰积分法,可能会被忽略。利用ChromCompare+,所有原始数据都被用于自动分析发现重要特征,而不管它们的强度如何。

图3这些痕量峰的丰度比最高响应峰低几个数量级,如果采用峰积分法,可能会被忽略。利用ChromCompare+,所有原始数据都被用于自动分析发现重要特征,而不管它们的强度如何。
结论
本应用证明了ChromCompare+是食品行业中是一个强大且易于使用的化学计量学工具:
全自动流程,最大限度地减少繁重的预处理步骤,加快工作流程;
使用全部原始数据,以降低忽略跟踪差异的风险
交互式图表,如主成分分析图和特征汇总图,可轻松显示样本之间的趋势和差异。
参考文献
[1] C.E. Frye, N.R. Moore and R.E. Synovec, Enhancing the chemical selectivity indiscovery-based analysis with tandem ionization time-of-flight massspectrometry detection for comprehensive two-dimensional gaschromatography, J. Chromatogr. A., 2018, 1537: 99–108。
[2] The Good Scents Company Information System (search facility), www. thegoodscentscompany.com/search2.html (accessed on 13 August 2020)
有关此应用程序或所用技术或产品的更多信息,请通过以下方式联系我们。



