
点击蓝字,关注我们

前言
还在为医疗资源紧张、住院率居高不下而烦恼吗?中国的医疗体系在“普惠”与“效率”间面临两难。
今天给大家带来这项被北京大学团队发表于 《Global Health Research and Policy 》的新研究,利用中美韩欧四国(地区)超42万老年人的队列数据,给出了跨国比较的“诊断书”!
? 全球逆势:当中、美、韩三国住院率普遍下降时,中国中老年人的住院率却持续飙升,至2020年已远超其他地区。
? 公平隐忧:在中国,低教育、低收入、无业/退休的群体,住院风险显著更高,发生率比率分别高出11%、8%和39-79%。
这种社会经济不平等,在覆盖81.7%人口的城乡居民基本医保参保者中依然显著。
? 结论启示:研究揭示了中国医疗体系“以医院为中心”的结构性难题,以及医保覆盖下未被消除的公平鸿沟,为未来强化分级诊疗、推动精准保障提供了关键证据!
文献解读

标题:中国中老年人住院利用趋势的社会经济差异:来自四个队列的国际比较视角
发表期刊:Global Health Research And Policy
发表时间:2025年12月19日
影响因子:IF4.6/Q2
欢迎私信
数据分析思路陷入停滞?算法模型结果难以深化?临床意义挖掘不够深入?
关注咨询,开启定制化分析服务为您打造清晰研究方案
研究背景
本研究的核心议题是分析中老年人的医疗资源利用趋势及背后的社会公平性问题。过去十年,中国医疗服务使用量,尤其是住院服务,增长迅猛。
然而,这种增长是否合理、是否公平,尤其是在城乡和地区医疗资源不均等的背景下,是医疗政策制定者面临的重大挑战。理解这些趋势并探究其与社会经济地位的关系,对于优化医疗资源配置、实现健康公平至关重要。
研究方法
本研究基于中国、美国、韩国及欧洲四国(地区)的四大老龄化纵向队列数据(CHARLS, HRS, KLoSA, SHARE),共计纳入超过42万份50岁及以上人群的观察记录。
研究采用曼-肯德尔趋势检验分析医疗利用的跨期变化,并运用随机效应负二项回归模型,旨在探讨不同国家(地区)的医疗利用趋势差异,并揭示中国中老年人社会经济地位与住院利用之间的关联。
研究结果
01
四大国际老龄化队列的医疗利用趋势
跨国比较揭示了截然不同的趋势(图1)。中国的门诊利用率无明确趋势,但住院率从2011至2020年持续显著上升。
与此同时,美国与韩国的住院率呈下降趋势。至2020年,中国中老年人的住院率已反超美国、韩国和欧洲,呈现出独特的“逆向增长”模式,提示中国医疗利用模式可能存在结构性差异。

图1.四大队列中人均年门诊就诊次数和住院次数(A门诊就诊;B住院)
02
CHARLS样本特征
对CHARLS中国样本的分析显示(表1),纳入研究的44,137份观察记录中,超过95%的参与者拥有至少一种医疗保险(其中81.7%为城乡居民医保),体现了医保的高覆盖率。
同时,样本中慢性病负担沉重,超过一半(53.0%)的参与者患有2种及以上慢性病,这为后续分析高住院率提供了健康需求背景。

表1.CHARLS样本特征(上下滑动,查看全图)
03
中国不同社会经济地位人群的住院利用趋势
分析显示,中国不同社会经济地位(SES)人群的住院率在2011-2020年间普遍呈上升趋势(图2)。
值得注意的是,随时间推移,教育水平和收入带来的差异日益明显:从2013年开始,低教育组住院率持续显著高于高教育组;而收入差异在后期发生逆转,2018年后低收入组住院率反超高收入组,这提示医疗服务的利用可能从“支付能力驱动”向“健康需求驱动”转变,且低SES群体承载了更重的疾病负担。

图2.CHARLS中不同社会经济地位人群的住院利用趋势
04
社会经济地位与中国中老年人住院利用的关联
在调整了人口学、行为及健康状态等多重混杂因素后,低社会经济地位与更高的住院风险显著且独立相关(表2)。具体而言,与对照组相比,低教育者住院风险高11%,低收入者高8%,无业者和退休者分别高39%和38%。

表2.社会经济地位与中国中老年人住院利用的关联
进一步分析发现,低SES群体同时面临着更差的健康状况:他们患有两种及以上慢性病和自评健康状况差的比例均显著更高(图3)。
这表明,健康需求很可能是连接低SES与高住院利用的关键中介,低SES群体因健康状况更差而产生了更高的、可能也是更迫切的住院服务需求。

图3.CHARLS中不同社会经济地位人群的健康行为与健康状况比例
05
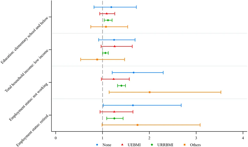
按医疗保险覆盖类型进行的亚组分析
亚组分析揭示了一个关键不平等现象(图4):在保障水平更高的城镇职工医保参保者中,不同SES人群的住院率没有显著差异。然而,在覆盖人群更广但保障水平相对较低的城乡居民医保参保者中,低SES(低教育、低收入、无业)与高住院率的关联依然显著且强烈。
这说明,当前以“广覆盖”为特点的城乡居民医保,并未能有效弥合由社会经济地位差异导致的健康服务利用不平等,甚至可能因保障结构(如门诊报销弱)而加剧了低收入群体对住院服务的依赖。

图4.按医疗保险类型分层的社会经济地位与住院利用关联的亚组分析
文章小结
研究发现,过去十年中国中老年人的住院率呈现“异常”快速增长趋势,且显著高于美、韩等国。更重要的是,低社会经济地位(低教育、低收入、无业/退休)与更高的住院风险显著相关,这种不平等在城乡居民医保参保者中持续存在。
这一成果警示我们,医保广覆盖并未完全消除健康不平等,提示未来的医改必须“双管齐下”:一方面需大力强基层、推分级诊疗,从系统根源减少不必要住院;另一方面需对弱势群体进行精准健康管理与保障,弥补其健康短板,从而有效控制医疗费用不合理增长,并实质性推进健康公平。
如需专业的科研思路复现与论文支持,可联系ACVC7777进行沟通。我们致力于为您提供定制化帮助,助您高效冲刺高水平学术发表。

END


往期推荐 // 宝藏生信
求点赞

求分享

求喜欢



