
丨扫上图二维码,加入星球下载5K+资料
丨知识、问答与合作,双碳领域必备工具
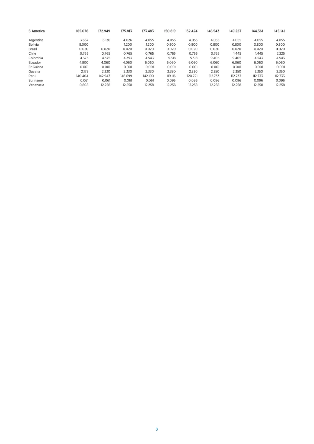
报告涵盖亚洲、非洲、美洲等多区域,系统呈现全球离网可再生能源的装机容量、产量及应用场景等核心数据,为行业发展与政策制定提供参考。核心能源类型包括太阳能、水电、沼气、风能等,太阳能应用最为广泛,涵盖太阳能灯、家用系统、微型电网、水泵等多元形态。2015-2024 年间,全球离网可再生能源装机持续增长,其中太阳能水泵与微型电网增速显著,亚洲与非洲是主要增长区域,印度、孟加拉国等国家在太阳能应用领域表现突出。沼气生产聚焦烹饪、发电等用途,非洲与亚洲的乡村地区应用普及度较高。风能与固体生物燃料作为补充,在部分区域形成稳定供给。数据显示离网可再生能源在能源可及性提升、乡村发展及低碳转型中发挥关键作用,其技术多样性与区域适配性成为推动全球能源普惠的重要支撑。














































本平台只做内容的收集及分享,报告版权归原撰写发布机构所有,由碳中和报告之家社群通过公开合法渠道获得,如涉及侵权,请联系我们删除,客服:lsf450635;如对报告内容存疑,请与撰写、发布机构联系。




今日报告分享
加入碳中和社区,下载完整文档
已有1000+小伙伴加入碳中和社区交流

















丨扫上图二维码,加入星球下载5K+资料
丨知识、问答与合作,双碳领域必备工具
公众号回复关键词【双碳目标下的技术路线图】,免费领取最新双碳技术路线图


