福启2026年!
Happy New Year!


市
场
年
报

目录

马
年
大
吉

丽
兹
能
量

Happy New Year
这一年,关于“家”的重要选择,被认真安放
丽兹行所做的,是陪您把每一步走稳
#公众号:丽兹行豪宅
2026,愿每一次落定,皆从容笃定
壹
市场概述


市场概述:
2025年的深圳房地产市场,在复杂的宏观经济环境与持续的政策优化调整中,经历了一场深刻的价值重估与结构重塑。全年市场呈现出“总量收缩、存量主导、价格分化、韧性犹存”的核心特征,标志着楼市正式步入以居住属性为导向、由真实需求驱动的新发展阶段。
2025年,深圳一二手住宅合计网签总量为94,096套,同比小幅下降9%。这一数据背后,是市场内部结构的重大转变:二手房网签量达56,217套,同比逆势上涨3.2%,占总成交量的比重首次突破60%,较2024年显著提升7个百分点。这标志着深圳楼市已不可逆转地进入“存量时代”,二手房市场成为决定整体流动性的压舱石。价格体系处于持续的理性回归通道。全年一手住宅网签均价为5.31万元/平方米,同比微降1.7%;二手住宅成交均价为5.90万元/平方米,同比下调6.3%。一二手房价降幅的差异清晰揭示出市场运行的主逻辑:“以价换量” 成为二手房市场维持活跃度的关键策略。
市场最显著的特征是极致的结构性分化,新房与二手房市场呈现出截然不同的叙事。
新房市场在调整中承压明显,全年网签量37,879套,同比大幅下降22%。市场呈现出两大极端:一方面,普通住宅项目面临去化压力,促销成为常态;另一方面,位于城市核心地段的顶级豪宅资产展现出惊人的抗跌性与虹吸效应。例如,深圳湾沄玺项目开盘销售额达130亿元,中信东角头信悦湾销售额也突破100亿元,刷新全国单盘销售纪录。这印证了在不确定性环境中,高净值人群对稀缺、优质核心资产的追逐愈发集中,但短期内大量豪宅的集中入市也将加剧高端市场的内部竞争。
2025年市场的演变,是政策主动调整与市场内生力量共同作用的结果。年内最重要的政策变量是 “9·5新政” ,通过分区优化限购、降低非户籍居民购房门槛、统一并下调房贷利率等手段,精准释放了外围区域的购房需求,对提振市场信心产生了积极作用。然而,受制于宏观经济增长与居民收入预期,政策的传导效应尚未完全激发市场的全面回暖。市场的根本驱动力已切换至 “真实居住需求” 。投资投机属性大幅淡化,无论是刚需首次置业,还是改善型换房,决策都更加理性、谨慎,对产品的性价比、居住品质和长期价值有了更高要求。
展望2026年,深圳楼市预计将延续 “弱复苏、强分化” 的盘整格局。整体价格预计保持平稳或微幅下行,成交量则依赖二手房市场的“以价换量”和新房市场的针对性供应来维持稳定。对于市场参与者而言,深刻理解并尊重这一新常态,在分化中识别真正的价值,是穿越周期、把握机遇的关键。
贰
成交数据
一、买卖成交数据

买卖成交分析:
天鹅堡二期三期2025年总计成交了23套房子,对比2024年的33套,成交量降幅30%,其中:
①正常交易20套,法拍3套。
②平层21套,复式2套。
③成交均价:
#平层
2024年:9.54万
2025年:9.37万
#复式
2024年:12.41万
2025年:10.32万
根据成交数据,天鹅堡平层成交市场是绝对主体,成交均价约 9.37万元/㎡。部分高楼层凭借景观优势获得溢价,中低层房源则构成8.1-9.7万/㎡的主力成交区间。
复式产品(如T栋顶层370㎡、P栋中层313㎡),单价均超过10.2万元/㎡。其溢价不依赖楼层,而源于套内面积赠送多的特殊性,单价显著高于同社区平层。

2025年,这5个高端社区全年共成交165套。其中:成交榜首是中信红树湾,以53套的绝对优势领先,显示出最强的市场流动性。天鹅堡(二、三期) 全年成交23套。天鹅堡除了3月、4月有3-4套的小高峰外,其余月份多在1-2套。相较于其他竞品(如香山美墅、中信红树湾)在3、4月“小阳春”成交量显著跃升,天鹅堡的波动较小,说明其交易受市场整体季节性热度的影响相对更小。高流通性盘(如中信红树湾、香山美墅):凭借超总地段、配套或产品口碑,成为了市场资金和需求的首选,去化更快。
如果您近期有房产出售计划,建议您联系身边的专属豪宅顾问合理定价,早日变现。
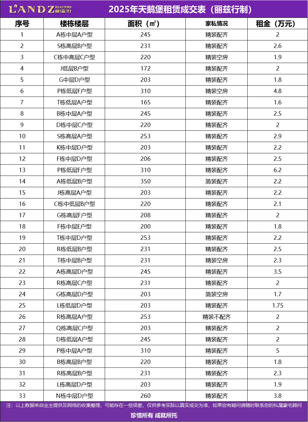
二、租赁成交数据

租赁成交分析:
2025年,天鹅堡租赁不完全统计总计成交33套。其中平层成交29套,租金区间在1.6万/月-3.5万/月;复式成交4套,租金在3.8-6.2万/月。
租赁市场成交总结与租赁策略建议:
· 主流市场成交(70%房源):遵循明确的性价比逻辑,单位租金在在80-120元/㎡/月,是成交的基石。
· 溢价市场成交(约20%房源):依靠顶配(豪装齐备)+ (高层/特殊景观) 实现单价超过120元/㎡/月的溢价。
若想获得高租金,仅靠面积大是不够的,必须在家私配置和房源位置(楼层/栋)上有竞争优势。
叁
挂牌情况

天鹅堡二期三期买卖挂牌房源总计:共46套
①二期三期平层户型(172-280㎡):在售34套,挂牌总价1800-3300万,挂牌单价9-13.45万/㎡;
②二期三期复式户型(260-375㎡):在售12套,挂牌总价3200-9200万,挂牌单价12.31-24.53万/㎡。

天鹅堡租赁挂牌房源总计:17套
①平层3-5居室在租15套,租金区间2.2-5.18万;
②复式5-7居室在租2套,租金区间4.8-6万。
肆
到访客户

丽兹Tips:
2025年,天鹅堡社区丽兹行全年共邀约到访买卖客户509组,其中复访客户287组,平层到访客户408组,复式到访客户148组(部分客户平层复式同看)。


伍
好房推荐


【深圳·GCC联泰超总湾】
举目皆非凡 |全球湾区稀世人居

GCC联泰超总湾,屹立于深圳湾超级总部基地核心版图,执掌山海湿地永恒视野,以“举目皆非凡”的存在,书写全球顶豪人居画卷,荟萃世界级设计天团,淬炼出一席献给时代的“全球湾区稀世人居”。



▌超级产业矩阵║万亿级经济引擎
深超总聚焦世界500强及行业龙头企业,已吸引包括招商银行、中国电子、兴业银行、中兴、OPPO、京东、大疆创新、传音控股、恒力国际、TCL半导体等巨头,形成涵盖金融、科技、通讯等前沿领域的超级产业集群总部企业入驻,预计为地方经济贡献超4800亿元GDP,形成强大的"产业乘数效应"。

▌超级城市设计║未来城市的中国答案
深超总采用院士总控制,由孟建民院士领衔总设计师团队,汇聚全球顶尖设计力量。其核心创新是"一心双核,十字生境"的空间结构,以中央绿轴为南北轴线,连接塘朗山与深圳湾,形成"通山达海"的生态廊道。


▌超级生态融合║山海城共生的韧性城市
深超总拥有海、湖、湿地、公园、高尔夫五重稀缺生态资源,通过中央绿轴打造"超级校园"生态模式。滨海大道下沉,将释放约10万平方米地面空间,无缝连接深圳湾公园,形成连续的滨海公共空间。中央绿轴地下空间面积约30万平方米,投资95亿元,将建成连接地下枢纽与地面生态的超级系统。这种设计使深超总成为高密度城市环境下生态融合的典范,实现"在城市中漫步自然,在自然中享受城市"。

▌超级交通枢纽║时间与效率的航母
深超总规划"六轨六站"立体交通网络,包括地铁2、9、11号线,规划中的29号线以及穗莞深、深莞城际轨道。TOD模式实现站城一体化,无缝接轨三地铁换乘,引入城市航站楼值机服务,实现10分钟直达深圳湾口岸、20分钟通达前海的城市高效连接。滨海大道综合改造工程打造地下四层立体交通,汇聚城市道路、公交系统和城际铁路,成为大湾区交通核心节点。


联泰集团倾注多年开发经验,于“百年一遇”的土地研磨数载,只为淬炼一座收藏级传世资产——联泰超总湾。
◎深超总占地面积最大、容积率最低、景观视野最为开合壮丽、传奇界面的项目:总占地约9.2万㎡,计容建筑面积27.7万㎡,容积率仅3.0,最大的占地面积叠加最低的容积率,为非凡人物提供极致优美的生活环境和居住舒适性。

▌传承藏品║ 全景奢居 尺度非凡
约303m²/327m²/400m²/570m²/1000m²纯粹奢享大平层,约3.6m层高+大尺度阳台,将一城繁华与自然宁静尽揽于窗前。

▌无界景观║360度视觉盛宴,全球不可复制
拥揽约519万㎡得天独厚的生态景观,规模约为纽约曼哈顿中央公园2倍,独享都市高地巅峰之城,山、海、公园、湿地360°极致全景景观,面面皆非凡。
◎东望·繁华自然共生
约125万㎡欢乐海岸璀璨盛景,约368万㎡红树林湿地静谧绿意,一扇窗,收藏两种生活意境。

◎西瞰·时代雄心所向
项目西侧毗邻超级总部集群,汇聚全球顶级建筑大师之作,尽览世界建筑博览园,每一栋都是风景,更是艺术的巅峰。

◎南观·海天无界臻境
项目南向永无遮挡跨海视野,尊享深圳湾17公里滨海风情,推窗见海,揽清风入怀。

◎北依·生态人文底蕴
联泰超总湾,零距离尽赏约68.5万华侨城国家级湿地公园全景,约50万m²锦绣中华民俗文化村生态景观,万顷翠绿滋养身心;对望约48万m²5A级景区世界之窗,繁华与自然生态从容切换。

❏高定归家大堂:负一层归家大堂(约400m²)、首层大堂(约500m²),由Yabu全球顶级大师执笔打造,以高阔致敬全球影响力人物。


联泰集团,自1984年创立以来,持续位列中国民营企业500强,跻身城市综合运营领先阵营,以工程施工、环境保护、交通投资与地产开发为核心,协同多产业布局。集团拥有市政总承包特级资质,承建的深南大道、滨海大道、地铁三号线等多项工程获中国市政金杯奖、詹天佑奖等国家级荣誉,获得国家、省部级荣誉200多项次。旗下联泰地产数十年如一日秉承“诚信立魂,品质筑基”的企业宗旨,布局全国34城,服务超18万业主,打造了如深圳香蜜湖“香域中央”、低密别墅“香域海岸”及深南大道地标“联泰大厦”等经典项目,持续践行“更美的城市,更好的生活”的品牌宗旨。
Happy New Year
陆
海外房产
?️ 伦敦典藏级豪宅|最后席位,终极奢华仅此一隅✨


坐落于伦敦老牌富人区核心,毗邻海德公园,步行1分钟即达肯辛顿宫花园。这里不仅是“亿万富翁大道”Palace Court上的稀缺资产,更被20多个使馆环抱,安保森严,私密尊崇。

19世纪末安妮女王风格联排住宅,全球顶尖奢华装修,6个地铁站环绕,名校、皇家医院与世界级购物举步即达。


✨ Palace Court|Hyde Park|现仅余 「国王花园」复式户型 珍藏推出:
✅ 3卧3浴 | 131㎡ | 双朝向|高层高|天井小院+大露台的惊喜配置
✅ 999年产权,单价仅为£2100/平方尺
✅ 已完工现房,即买即可拎包入住


其余户型均已售罄,机会不容再失。
20
26
2026 summary
注:以上信息仅供参考,详情请咨询您身边的丽兹行豪宅顾问。


丽兹深圳主营楼盘分布图↑

丽兹简介:豪宅专家-丽兹行
丽兹行,成立于2005年5月8日,是唯一专注于高端不动产服务的品牌经纪机构,专注豪宅,历时十九载。目前在北京,上海,深圳、广州、国内四城共拥有2000多名豪宅顾问,共有500多个高端一二手楼盘,上万套买卖房源。产品类型包含高端公寓、别墅、老洋房、四合院、写字楼、海外(美国,德国,英国,日本,加拿大,澳洲,新加坡)房产等。致力于为城市领袖——提供安全、高效、愉悦的顾客体验,打造最值得信赖的高端不动产品牌。
①.二手Hmall模式:为了最高程度的保障您的隐私安全,最快帮您资产变现,为您找到满意的家,在丽兹行选择一名豪宅顾问,即可满足您在北京、上海、深圳、广州(新开)、海外的房产需求,团队合作的业务模式,致力于为您提供安全高效的顾客体验。
②.一手豪宅楼盘:选择丽兹行豪宅顾问,我们可以实现多项目联动,在您购置房产中可以享受我们和开发商的双重服务。一手豪宅楼盘,携手中粮、远洋、万科、龙湖、首开、保利、首创、泰禾、华侨城、华润等知名开发商,共筑北京、上海和深圳的豪宅事业,满足您的多样化需求,为您提供足够丰富的产品供您挑选。
③.海外房产:美国,德国,英国,日本,加拿大,澳洲,新加坡,主要分布在华人投资移民首选地,多个城市不同产品为您提供更多选择和数据支持。
④.我们的团队:自2017年起,豪宅顾问最低招聘标准为统招211、985及本科以上学历,并通过三轮面试,甄选出更符合为城市领袖服务的豪宅顾问,每月百盘知识训练,社区知识通关,店经理、店总、专业讲师进行不定时培训;丽兹豪宅网,手机APP,iPad,人脑与机脑相结合,我们不断提升自己的技能,致力于为您提供更专业的服务~

珍惜所有 成就所托!
--END--

注:本文项目信息编辑于2026年1月2号,社区情况和价格均可能发生变化,实时项目信息请咨询为您提供服务的豪宅顾问。



