

一、引言
二、 评价模型与数据
(一)指标体系和数据
一级指标 | 二级指标 | 效应 | |
城 市 品 质 指 数 | 自然品质 | 空气质量 | PM2.5值,负向指标,全年平均值 |
1月份平均气温 | 正向指标 | ||
交通品质 | 人均地铁里程 | 正向指标,每百万人口 | |
高铁通达度 | 不通:0 通一条:1 通两条以上:2 | ||
人均公路里程 | 正向指标 | ||
公共服务 | 人均绿地面积 | 正向指标 | |
人均三甲医院数量 | 正向指标,每百万人口 | ||
人均985+211高校数量 | 正向指标,同上 | ||
人均普通医院数量 | 正向指标,同上 | ||
人均普通中学数量 | 正向指标,同上 | ||
人均博物馆数量 | 正向指标,同上 | ||
城市活力 | 人均星巴克数量 | 正向指标, 同上 | |
人均麦当劳和肯德基数量 | 正向指标, 同上 | ||
常住人口 减去 户籍人口 | 正向指标,有些城市为负,说明人口流出,有些城市为正,说明人口流入 | ||
城市数字经济 | 每百人互联网用户数 每百人移动电话用户数 人均电信业务量 人均邮政业务量 计算机服务和软件从业人员 数字普惠金融发展 | 正向指标 正向指标 正向指标 正向指标 正向指标 正向指标 |
(二)评价方法
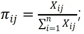
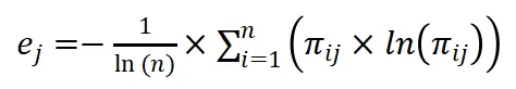
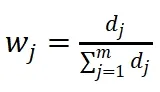
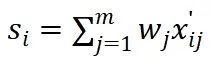
(i=1,2,3…m; j=1,2,3…n);







三、 长江经济带城市品质分布


四、长江经济带城市生活质量分布


五、咖啡馆:既是城市品质,也是居民生活质量的表征
附录
序号 | 城市 | Amenities index |
1 | 上海市 | 77.2347304 |
2 | 杭州市 | 49.8583322 |
3 | 成都市 | 47.2384311 |
4 | 苏州市 | 44.1731337 |
5 | 重庆市 | 43.9295176 |
6 | 武汉市 | 43.718813 |
7 | 南京市 | 41.9082096 |
8 | 宁波市 | 39.4198848 |
9 | 长沙市 | 39.2095425 |
10 | 无锡市 | 38.7593231 |
11 | 合肥市 | 37.0241074 |
12 | 昆明市 | 34.2731551 |
13 | 南昌市 | 34.0212232 |
14 | 贵阳市 | 31.4572393 |
15 | 常州市 | 29.6518351 |
16 | 绍兴市 | 29.176679 |
17 | 徐州市 | 27.3833791 |
18 | 毕节市 | 16.5331898 |
19 | 九江市 | 14.3392473 |
20 | 台州市 | 13.5413508 |
21 | 金华市 | 13.5147241 |
22 | 绵阳市 | 12.8719057 |
23 | 温州市 | 12.392682 |
24 | 宜春市 | 11.8603741 |
25 | 宜昌市 | 11.3841446 |
26 | 岳阳市 | 11.1635588 |
27 | 湖州市 | 10.8570051 |
28 | 镇江市 | 10.3811311 |
29 | 南通市 | 10.2313144 |
30 | 衡阳市 | 10.0838767 |
31 | 嘉兴市 | 9.6595182 |
32 | 南充市 | 9.5904867 |
33 | 安庆市 | 9.5497048 |
34 | 衢州市 | 8.9836521 |
35 | 上饶市 | 8.8809313 |
36 | 德阳市 | 8.6547503 |
37 | 盐城市 | 8.4403154 |
38 | 广元市 | 8.2035736 |
39 | 遵义市 | 8.0671426 |
40 | 马鞍山市 | 7.9243103 |
41 | 萍乡市 | 7.8361877 |
42 | 黄山市 | 7.6772921 |
43 | 扬州市 | 7.4047463 |
44 | 孝感市 | 7.3684272 |
45 | 赣州市 | 7.3626728 |
46 | 保山市 | 7.3276652 |
47 | 淮安市 | 7.1823512 |
48 | 十堰市 | 7.0185597 |
49 | 六安市 | 6.9623337 |
50 | 丽水市 | 6.9592516 |
51 | 曲靖市 | 6.8446385 |
52 | 芜湖市 | 6.7710718 |
53 | 咸宁市 | 6.7231027 |
54 | 邵阳市 | 6.5754408 |
55 | 襄阳市 | 6.369211 |
56 | 鹰潭市 | 6.3575041 |
57 | 吉安市 | 6.2811619 |
58 | 宿迁市 | 6.2392542 |
59 | 滁州市 | 6.1361921 |
60 | 株洲市 | 6.1009496 |
61 | 连云港市 | 6.0880275 |
62 | 铜仁市 | 6.0614169 |
63 | 湘潭市 | 5.840307 |
64 | 泰州市 | 5.8391675 |
65 | 怀化市 | 5.7840174 |
66 | 永州市 | 5.7263256 |
67 | 黄石市 | 5.667405 |
68 | 抚州市 | 5.5946258 |
69 | 宜宾市 | 5.5450799 |
70 | 蚌埠市 | 5.5272921 |
71 | 荆州市 | 5.4999194 |
72 | 眉山市 | 5.4677784 |
73 | 内江市 | 5.3750383 |
74 | 淮北市 | 5.2382561 |
75 | 鄂州市 | 5.2001016 |
76 | 铜陵市 | 5.1907827 |
77 | 阜阳市 | 5.1800931 |
78 | 娄底市 | 5.1298152 |
79 | 资阳市 | 5.1173947 |
80 | 淮南市 | 5.1148705 |
81 | 郴州市 | 5.046681 |
82 | 池州市 | 5.0391298 |
83 | 新余市 | 5.0011788 |
84 | 亳州市 | 4.7588866 |
85 | 宿州市 | 4.7205506 |
86 | 随州市 | 4.6051709 |
87 | 泸州市 | 4.5858056 |
88 | 景德镇市 | 4.5513057 |
89 | 安顺市 | 4.2340424 |
90 | 常德市 | 4.1282979 |
91 | 张家界市 | 3.8104112 |
92 | 舟山市 | 3.7251418 |
93 | 达州市 | 3.6992121 |
94 | 乐山市 | 3.6081336 |
95 | 益阳市 | 3.4800835 |
96 | 广安市 | 3.405935 |
97 | 雅安市 | 3.3871175 |
98 | 玉溪市 | 3.3714796 |
99 | 黄冈市 | 3.2819145 |
100 | 宣城市 | 3.0362987 |
101 | 荆门市 | 2.8337339 |
102 | 昭通市 | 2.8328008 |
103 | 自贡市 | 2.7751045 |
104 | 遂宁市 | 2.6169516 |
105 | 丽江市 | 2.4726482 |
106 | 普洱市 | 2.3579661 |
107 | 攀枝花市 | 2.273046 |
108 | 六盘水市 | 2.238576 |
109 | 临沧市 | 2.0192699 |
110 | 巴中市 | 1.8201602 |
表3 长江经济带城市生活质量指数
序号 | 城市 | QOL index |
1 | 上海市 | 61.4788454 |
2 | 杭州市 | 35.05040754 |
3 | 苏州市 | 31.27457866 |
4 | 南京市 | 28.91666462 |
5 | 宁波市 | 26.92378132 |
6 | 无锡市 | 25.5036346 |
7 | 武汉市 | 23.52072139 |
8 | 长沙市 | 23.09442053 |
9 | 成都市 | 22.6272085 |
10 | 绍兴市 | 19.19825478 |
11 | 合肥市 | 18.06776441 |
12 | 常州市 | 17.64284188 |
13 | 重庆市 | 15.68283778 |
14 | 南昌市 | 15.1054231 |
15 | 昆明市 | 15.04591509 |
16 | 贵阳市 | 11.95375093 |
17 | 徐州市 | 9.858016476 |
18 | 台州市 | 7.853983464 |
19 | 金华市 | 7.852054702 |
20 | 温州市 | 7.80738966 |
21 | 湖州市 | 6.568488086 |
22 | 嘉兴市 | 6.046858393 |
23 | 镇江市 | 5.460474959 |
24 | 南通市 | 5.013344056 |
25 | 九江市 | 4.789308598 |
26 | 绵阳市 | 4.376447938 |
27 | 衢州市 | 4.060610749 |
28 | 马鞍山市 | 3.906684978 |
29 | 宜昌市 | 3.859225019 |
30 | 毕节市 | 3.719967705 |
31 | 岳阳市 | 3.71746508 |
32 | 宜春市 | 3.581832978 |
33 | 衡阳市 | 3.499105215 |
34 | 扬州市 | 3.317326342 |
35 | 盐城市 | 3.274842375 |
36 | 丽水市 | 3.096866962 |
37 | 萍乡市 | 2.985587514 |
38 | 德阳市 | 2.942615102 |
39 | 芜湖市 | 2.918331946 |
40 | 上饶市 | 2.815255222 |
41 | 南充市 | 2.810012603 |
42 | 安庆市 | 2.750314982 |
43 | 株洲市 | 2.73932637 |
44 | 泰州市 | 2.70937372 |
45 | 淮安市 | 2.63592289 |
46 | 黄山市 | 2.48744264 |
47 | 舟山市 | 2.376640468 |
48 | 遵义市 | 2.347538497 |
49 | 湘潭市 | 2.301080958 |
50 | 孝感市 | 2.269475578 |
51 | 广元市 | 2.223168446 |
52 | 鹰潭市 | 2.180623906 |
53 | 襄阳市 | 2.140054896 |
54 | 赣州市 | 2.068911057 |
55 | 连云港市 | 2.051665268 |
56 | 吉安市 | 1.997409484 |
57 | 新余市 | 1.995470341 |
58 | 曲靖市 | 1.991789804 |
59 | 黄石市 | 1.96092213 |
60 | 宿迁市 | 1.915451039 |
61 | 咸宁市 | 1.889191859 |
62 | 蚌埠市 | 1.862697438 |
63 | 六安市 | 1.845018431 |
64 | 滁州市 | 1.834721438 |
65 | 十堰市 | 1.831844082 |
66 | 宜宾市 | 1.813241127 |
67 | 铜陵市 | 1.770056901 |
68 | 景德镇市 | 1.752252695 |
69 | 眉山市 | 1.738753531 |
70 | 鄂州市 | 1.736833934 |
71 | 保山市 | 1.729328987 |
72 | 淮南市 | 1.708366747 |
73 | 淮北市 | 1.702433233 |
74 | 荆州市 | 1.693975175 |
75 | 抚州市 | 1.683982366 |
76 | 内江市 | 1.67701195 |
77 | 邵阳市 | 1.624133878 |
78 | 郴州市 | 1.594751196 |
79 | 永州市 | 1.563286889 |
80 | 池州市 | 1.562130238 |
81 | 资阳市 | 1.545453199 |
82 | 泸州市 | 1.508730042 |
83 | 铜仁市 | 1.357757386 |
84 | 阜阳市 | 1.341644113 |
85 | 怀化市 | 1.330324002 |
86 | 娄底市 | 1.313232691 |
87 | 随州市 | 1.284842681 |
88 | 常德市 | 1.263259157 |
89 | 亳州市 | 1.242069403 |
90 | 宿州市 | 1.213181504 |
91 | 乐山市 | 1.17264342 |
92 | 玉溪市 | 1.105845309 |
93 | 宣城市 | 1.093067532 |
94 | 达州市 | 1.072771509 |
95 | 益阳市 | 1.030104716 |
96 | 安顺市 | 0.999234006 |
97 | 广安市 | 0.99453302 |
98 | 雅安市 | 0.98903831 |
99 | 荆门市 | 0.949300857 |
100 | 攀枝花市 | 0.927402768 |
101 | 自贡市 | 0.904684067 |
102 | 张家界市 | 0.830669642 |
103 | 遂宁市 | 0.816488899 |
104 | 黄冈市 | 0.800787138 |
105 | 丽江市 | 0.600853513 |
106 | 昭通市 | 0.555228957 |
107 | 普洱市 | 0.547048135 |
108 | 六盘水市 | 0.546212544 |
109 | 巴中市 | 0.491443254 |
110 | 临沧市 | 0.454335728 |
表4 长三角咖啡馆指数2023
城市 | Cafeindex |
上海市 | 100 |
杭州市 | 70.6 |
苏州市 | 57.7 |
南京市 | 53.7 |
宁波市 | 47.9 |
无锡市 | 38.8 |
绍兴市 | 30.6 |
嘉兴市 | 28.7 |
常州市 | 28.3 |
舟山市 | 26.3 |
镇江市 | 25.5 |
湖州市 | 24.2 |
金华市 | 22.1 |
扬州市 | 21.7 |
南通市 | 20.9 |
温州市 | 18.2 |
泰州市 | 17.8 |
台州市 | 14.7 |
衢州市 | 14.7 |
合肥市 | 13.7 |
淮安市 | 10.3 |
盐城市 | 9.6 |
马鞍山 | 8.9 |
徐州市 | 8.2 |
芜湖市 | 7.8 |
黄山市 | 7.8 |
丽水市 | 7.7 |
铜陵市 | 7.5 |
宿迁市 | 6.0 |
蚌埠市 | 5.8 |
连云港 | 4.9 |
宣城市 | 4.8 |
淮南市 | 4.5 |
池州市 | 4.5 |
滁州市 | 4.2 |
六安市 | 4.1 |
淮北市 | 3.8 |
安庆市 | 3.6 |
宿州市 | 3.3 |
阜阳市 | 2.3 |
亳州市 | 1.6 |


踪家峰教授 长江产业经济研究院研究员






