2022年第三届家居新国货品牌指数研究报告

前 言
2022年5月10日,迎来第六个中国品牌日。随着近年来品牌升级,国货创新,国潮当道,我国消费行业格局变化明显,众多国货品牌崛起,消费者开始青睐国货品牌。“用华为、穿李宁”的“新国潮生活态度”成为潮酷个性的象征。从手机汽车、服饰美妆到家居建材,买国货、用国货、晒国货已经成为“国潮青年”的新生活方式。
中国高净值人群增长以及消费观念日趋成熟,他们对中国制造以及中国品牌更有自信,越来越多的青年群体热衷于中国传统文化和文化自信的推崇,也是当今青年极力追捧“国潮品牌”的重要原因之一。
在科技创新的时代背景下,国货也在全面进化。在国潮风席卷之下,国货家居品牌也迎来黄金时代。家居品牌想要在这个时代更好地发展,必须对于市场变化的一举一动和国潮核心主流人群“Z世代”的需求、喜好、审美有深刻了解,借势国潮变革创新发展。
在5月10日迎来第六个中国品牌日之际,在中国建筑材料流通协会的指导下,HOME+家饰界家居研究中心和China Hadoop大数据发布了“2022年第三届家居新国货品牌指数研究报告”,为业界展示2022年家居新国货最真实的全貌及行业发展方向。
早在2011年媒体就曾爆出,土生土长的家具品牌“达芬奇”起了一个响亮的外国名字,假借洋品牌之名进行生产销售。在当时,国产货爱穿“洋马甲”的情况可谓是遍地开花,且已有多年历史。随着我国人均GDP突破一万美元,综合国力与国民整体消费实力显著提升,制造业转型升级,对文化自信和对本土文化认同感的提高以及消费者对高品质生活的追求,国货品牌快速迭代,迎来了百花齐放的春天。
过去十年随着我国经济、科技、文化等领域快速发展,国潮的关注度上涨了528%。时代进步的今天让国民的思想也发生了巨大的转变。如今,消费者对于国货的热爱不亚于进口品牌,而近几年进口家居品牌在中国市场也渐渐失去了主导地位,被忽略的国货家居品牌以崭新的品牌形象露出,重新占据主导。
国潮崛起最先体现在国货消费上,如今的国货从品牌、品质到技术,正在全力升级。HOME+家饰界家居研究中心多年跟踪搜索数据显示,近五年,国产家居品牌的搜索热度从47%提升至75%,超进口品牌近三倍。
此外,国潮家居近两年融合线上渠道发展迅速。去年双十一期间,相较其他同类型产品,新国潮家具成为消费者首选。在电商的助力下,过去一年新国潮家具销售额整体增长了40%,远远超过以“洋气”、“精致”著称的美式、欧式家具。
新国货发展的黄金时代已经到来,国产品牌在持续本地化打磨的同时,也积极借力出海,广泛参与全球化竞争。以华为、小米、恒洁、海尔为代表的一大批中国品牌正在走向全球,他们提振了中国在世界舞台的信心,用民族品牌的担当和标准演绎着中国家居建材行业的全新篇章,并以强大的硬实力影响着世界家居产品的制造格局,引领越来越多的国货品牌走向全球市场。
国潮在这十年的变迁中,历经了几个阶段的发展。1.0时代,强调将传统文化元素融入到商品外包装中引发消费者关注,“老字号”回归,打开了国潮初创的局面。随着市场的日趋饱和,国潮2.0时代开始重视科技,凭借着品质升级和品牌运营打造产品形象。而迈入3.0时代,消费升级、科技进步、文化进步已经助推国潮打开了新世界,新国潮品牌的崛起无疑使中国文化成为全世界瞩目的焦点,原创设计迫在眉睫。数据来源:HOME+家饰界家居研究中心
如今中国家居建材市场格外强调原创。中国家居设计开始本土化的原创设计探索有十余年的历程,这一场探索如今已经形成了一些富有个性的成果,其中蕴含的中国精神和思维必将成为未来中国原创设计生长的沃土。如今,在设计上有追求的设计师和企业,正在思考中国原创设计如何解决中国当下居住中存在的问题,并有效释放中国制造巨大的产能。现在中国的家居品牌通过自我升级与创造,提升产品的品质、性能和价值,并凭借创新的产品设计、先进的工艺技术在海外市场崭露头角。从中国品牌获得海外设计大奖的情况可见一斑。以目前全球最权威、影响力最大的工业设计奖项之一——德国iF设计奖为例,2017年,获得国际设计奖iF金奖的中国产品数量仅有3件,仅占金奖总数的4%;到2021年达到了18件,比例升至24%。五年来,中国产品的金奖数量及比例呈现连年上升的趋势。值得注意的是,虽然市面上打着“国潮家居”名号的产品很多,但部分企业对传统文化的提炼仅局限于最基本的表面纹饰处理上,只是将中国元素简单地堆叠,流于表面;或者是传统中式风格太鲜明,未能迎合消费群体的文化需求和审美取向。国潮3.0时代,如何在国潮文化的精神内核下,与当下时兴的家居设计元素相结合,是众多家居品牌突围的重点。与此同时,企业本身是否具备过硬的产品力与创新研发实力,要用产品擦亮品牌,以创新驱动原创产品走出国门,扩大中国家居品牌的影响力。随着“Z世代”活跃在消费市场上,他们成为国潮的主力用户群。“Z世代”是最聪明的消费者,他们物质层面的富足决定它们消费时更重视精神内涵,如潮流、文化等,助推了国潮的改革。“Z世代”同样拥有很强的文化自信,他们渴望拥抱传统文化、展示文化自信,这也赋予了国潮新的生命力。随着文化自信的深入,以民族文化为内涵、以文化自信为动力的国潮风愈发给力,逐渐成为提高消费市场活力的有效力量。HOME+家饰界家居研究中心调查数据显示,在新国货的用户群体中,90后群体的占比超过31%,成为国货消费的中坚力量;00后年轻一代对国货的热情也持续高涨,群体占比增长至16%。数据来源:HOME+家饰界家居研究中心
无论是消费习惯、需求还是消费心态,“Z世代”对生活品质的要求更高,对待国潮审视时不再流于表面,而更注重产品品质、设计感、精神内核和文化表达。他们追求个性、时尚,讲求效率,快节奏的生活让新一代的消费群体在追求个性化、时尚感的同时,也更加注重便捷式的消费,更倾向于性价比高、省心省力、高效品质的一站式家装服务。消费主体的迭代也造就了新一轮家居消费风向的漂移,准确捕捉新消费群体的诉求是家居企业谋求新增长的核心发力点。对家居企业来说,产品或服务如果无法为消费者提供差异化的个性体验,可能就无法触及消费者。敏锐的国潮家居品牌纷纷改变以前低附加值的印象,开始构建自己的品牌,打造自己的潮流趋势,出色的设计和性能,还有一定的性价比,也吸引了“Z世代”的目光,产品赋予了更多的体验和意义,科技创新与购买力相辅相成,国潮崛起成为必然!中国作为全球最大和最有潜力的家居消费市场,为国货建立强势品牌提供了基础。数字革命时代,原有的设计、生产、营销、消费方式被重塑,为国货品牌的发展提供了发展机遇。国货品牌只有在消费端才能真正实现其价值,“Z世代”多样化、个性化、精细化的消费需求为国货品牌百花齐放提供了广阔的市场空间。消费者愿意为国货买单,一方面是国潮产品与中国文化的深度结合、时尚演绎,但同时也离不开产品品质的提升,这尤其体现在自主研发能力和科技创新方面。根据大数据报告,当前国人对核心科技的关注度达到高点,近十年国潮核心科技关注度上涨7倍。HOME+家饰界家居研究中心调查数据显示,国产智能家居关注度迎来热潮,近一年上涨68%。关注热度最多的五大智能家居品类分别是智能影音、智能家电、智能安防、智能控制、健康监测。快节奏的工作、生活让年轻人懒得动,希望花费最少的时间解决自己的需求。宅文化催生了智能家居的发展。七成年轻家装消费者认同智能家居的科技体验感,全屋智能系统稳健增长。电子门锁、远程遥控开关、浴室智能镜等商品受到青睐。数据显示,今年3月的京东春季家装节,智能坐便器成交额同比增长六倍,智能浴霸、电子锁成交额同比增长五倍,智能浴室镜成交额同比增长超三倍,智能晾衣架成交额同比增长两倍。国内企业也早就纷纷在智能家居领域进行布局,华为、小米、海尔等知名企业,都已经进驻智能家居领域。过去许多消费者千里迢迢到日本购买智能马桶带回国,但如今,恒洁卫浴的智能马桶的功能已经完全可以替代甚至超越日本生产的智能马桶,消费者也就不再需要舍近求远了。由此可见,产品品质过硬是国货品牌崛起的支撑。据统计,2021年,中国有超过十家智能家居企业融资过亿,2021年中国智能家居设备市场出货量超过2.2亿台,同比增长9.2%。HOME+家饰界家居研究中心认为,随着中国智能家居市场的升级和调整,市场将迎来新的发展机会,预计2022年中国智能家居年出货量还将以21%的巨大增量持续增长。

第二部分
1、国家市场监督管理部门、各地消费者协会等公开、发布的信息和数据。3、家居建材行业协会、学会及业内专家等社会组织公开、发布的信息和数据。5、媒体平台及财经投资平台公开、发布的内容和数据。6、开发商、家居建材企业代理商、设计师、消费者等调研数据。“2022年第三届家居新国货品牌指数研究报告”以品牌增长力、品牌网络影响力、科技创新力、企业社会责任、消费者满意度等多个维度进行调研,汇集各方观点,通过定量与定性的分析方法,最终得出“2022年家居新国货品牌影响力指数”及“2022年家居新国货领军品牌”。
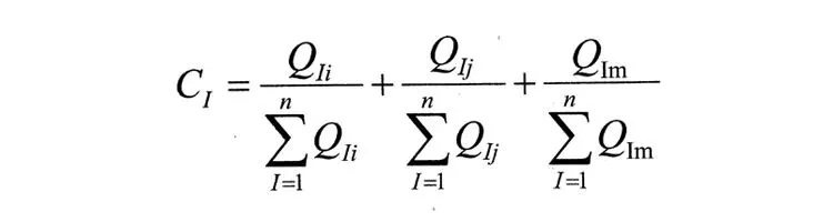
品牌是被市场认可、消费者认知的识别标志。品牌增长力反映出企业的生命力和实力,增长力越高意味着更强的实力和发展前景,为企业带来更高的价值。品牌增长力在企业综合实力的基础上,参考年度内品牌资产价值、品牌价值实现的增长体量及未来增长潜力等数据评选而成。随着互联网和移动通信的发展,消费者被置身于各种社会网络中,互联网也顺着人与人的关系网络无声地渗透和形塑消费者的观念、感受和行为,在舆论传播、消费导向、价值选择等的应用随处可见。网络影响力(Digital Influence)是社交媒体最受人关注的趋势之一,是大众媒介通过网络传播带来的社会、文化与心理影响,体现为媒体发布的品牌信息使受众有所触动、感染,产生共鸣,并由此产生观念、态度和行为的变化。本研究依托China Hadoop大数据,针对家居新国货品牌在网络影响力方面的数据收集和分析,获得网民对品牌的关注指数数据。
说明:公式以单个品牌的点击量在总点击量中的占比以及该品牌在网络中的受关注度次数占比加权求和之后的结果作为品牌关注度得分。QIi表示第1个品牌的网络点击量;QIj第1个品牌的网络关注度;QIm第1个品牌的网络媒体曝光度。
科技创新是实现企业高质量发展的有效路径,是衡量国家产业核心竞争力的重要标志,也是中国制造业的脊梁。家居企业加快智能制造的进程,充分利用“互联网+”行动计划,将研发、生产、经营、管理等全过程融入信息化系统中,通过互联网实现跨越式发展,逐步实现从生产型制造向服务型制造转型,迅速提升综合竞争力,迈向产业价值链的高端,为“中国智造”助力。科技创新指数将从研发投入占比、技术成果、科研潜力等多方面综合评定。企业社会责任(Corporate social responsibility,简称CSR)是指企业在创造利润、对股东和员工承担法律责任的同时,还要承担对消费者、社区和环境的责任,企业的社会责任要求企业必须超越把利润作为唯一目标的传统理念,强调要在生产过程中对人的价值的关注,强调对环境、消费者、对社会的贡献。企业的经营活动要以消费者满意度为指针,要从客户的角度、用客户的观点而不是企业自身的利益和观点来分析考虑客户的需求,尽可能全面尊重和维护客户的利益。本研究依托China Hadoop大数据针对家居新国货品牌在服务满意度方面内容的数据收集和分析。
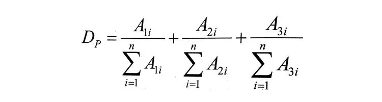
说明:公式以单个品牌服务正向肯定相关信息的线上点击量、线上线下评价、线上线下关注度等关键要素评价加权求和之后的结果作为品牌服务口碑指数得分。A1i表示消费者协会受理投诉等统计数据;A2i互联网问答平台与设计师调研口碑评价;A3m房产开发企业关注度与产品使用口碑。
消费投诉是消费者购买、使用商品后,对品牌产品质量、服务等问题的判断,对于合理维护消费者权益和为其他消费者提供消费参考意义重大。2022年家居新国货品牌指数研究参考国家市场监督管理部门和消费者协会等统计数据,将消费者投诉事件(质量问题、营销合同问题、价格问题、产品安全问题、产品环保问题、虚假品质等)纳入研究指标,全面客观研究企业品牌状况。家居建材行业各协会等公开的相关信息,以及业内专家、学者等基于各自领域对家居行业专业知识的了解,长期接触、使用产品的数据结果,提供的意见指导。设计师是家居建材企业非常有影响力的推荐者和应用者,他们更了解家居市场的消费特征和消费倾向,针对家居新国货的推荐,他们同样能够提供专业意见和口碑评价。房地产开发商通过楼盘设计、精装房、个性化装修菜单等方式为业主创造舒适的居家生活,家居建材产品广泛应用其中。房地产开发商以其独特的视角对家居新国货品牌推荐提供专业意见。






































































