
半导体产业是支撑当前经济社会发展和保障国家安全的战略性、基础性和先导性产业,是现代信息社会的基石。其产业链条长,应用领域广阔,具有很强的市场分割性,从上游的半导体材料到中游的设备再到下游的应用领域所涉及的范围十分广大,很难形成一家独大的垄断格局,因此有利于企业利用自身特点,形成自己的技术体系和竞争优势。
基于此,新材料在线®整理了半导体行业合集资料,供大家学习参考。
(温馨提示:加入有材®APP会员,可以查看下载半导体合集资料,文末附查看方式)
半导体行业资料合集一览表 |
94家半导体公司A股IPO审核中(截至2023年1月31日) |
2022年中国半导体关键材料企业分布地图(三)(封装材料) |
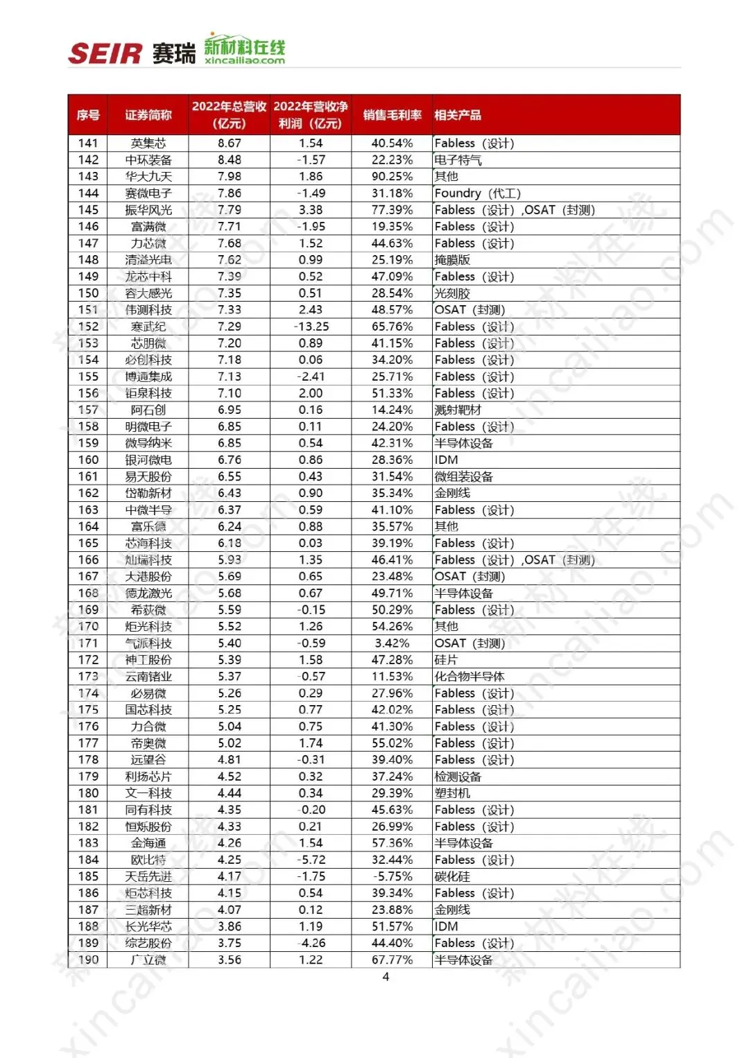
半导体产业链上市公司2022年财报分析 |
《2022年中国半导体产业链上市公司分布地图》 |
《2022年中国半导体晶圆厂基地分布地图》 |
《2022年中国半导体封装企业分布地图》 |
《2022年中国半导体关键材料企业分布地图(一)(基体材料)》 |
《2022年中国半导体关键材料企业分布地图(二)(制造材料)》 |
《2022年中国半导体关键设备企业分布地图》 |
《一张图看懂半导体产业链及其9大关键材料(2022年版)》 |
《2021年半导体设备行业研究报告》 |
《2021年功率半导体电子器件IGBT行业研究报告》 |
《2021年半导体硅片行业研究报告》 |
《2021年氮化镓半导体材料行业研究报告》 |
《2021年锗硅基半导体材料行业研究报告》 |
《2020年半导体设备行业研究报告》 |
《2020年氮化镓半导体材料行业研究报告》 |
《2020年功率半导体电子器件IGBT行业研究报告》 |
《2020年锗硅基半导体材料行业研究报告》 |
《2020年汽车半导体行业研究报告》 |
《中国半导体产业链分布地图》 |
1分钟带您看完有关半导体的一切 |
半导体产业链全景图 |
【专家观点】-第三代半导体材料及其应用 |
【专家观点】-氮化镓半导体激光器行业现状及趋势 |
13大半导体关键材料国产化率及国内外代表企业汇总 |
...... |
——部分内容展示——
《一张图看懂半导体产业链及其9大关键材料(2022年版)》






......
《半导体产业链上市公司2022年财报分析》





......
《2022年中国半导体关键材料企业分布地图》



......
《13大半导体关键材料国产化率及国内外代表企业汇总》
......
篇幅有限,仅展示部分
扫码咨询查看下载半导体资料合集

有材®APP会员权益有哪些?
↓↓↓



展商报名通道

观众报名通道



戳阅读原文,报名观展


