
3
2
2
NEW YEAR
0
互联网
数据分析师
招聘信息
分析报告
ONE
摘要
社会技术革新使数据生产能力呈指数级提升,数据分析不再局限于计算机和电子信息行业,农业、手工业等传统行业也不断进行数字化转型,当今市场对于数据分析与管理人才需求日益旺盛。
为进一步了解数据分析师岗位的招聘要求和福利待遇,本文通过爬虫采集招聘网站上数据分析师相关招聘信息,使用数据可视化、文本挖掘等方法,对于当今数据分析师岗位需求的地域分布、行业类别、薪资水平等多方面因素进行分析。此外,对于职位信息、技能需求、福利待遇等信息,通过文本分词、词频统计、主题模型、关键词共现网络、社区发现等方法进行深入挖掘。
本文得到主要结论如下:①数据分析师岗位总体前景较好。薪资待遇高,在一线城市提升空间大,互联网企业为主要需求来源。②数据分析师岗位行业覆盖范围广。除互联网和计算机类行业外,传媒、物流、环保、制造业等其他传统行业与新兴行业对于数据分析师也有一定需求。③数据分析师岗位注重实践经验。掌握数据分析与管理工具为基本技能要求,且对于求职者的学习能力和处理实际业务能力有着较高要求。
关键词:数据分析师 招聘信息 网络爬虫 文本分析

TWO
数据说明
本文所使用的招聘数据来源于BOSS直聘网站和前程无忧网站,以“数据分析师”为关键词进行搜索得到的招聘信息。经数据去重后,得到共1279条数据,其中299条来源于BOSS直聘网站,980条于前程无忧网站。对于数据中的缺失值,采用保留该行其余有效信息的方式。经数据预处理后得到共1223条有效数据,其中BOSS直聘284条,前程无忧939条。
表1 变量说明

表2 数据预览

THREE
描述性统计分析
1. 岗位分布

图1 各省份岗位数分布

图2 岗位数前十城市分布
2. 企业类型及性质

图3 企业所属行业分布

图4 企业性质分布
3. 经验、学历要求

图5 经验要求分布

图6 学历要求分布
4. 薪资分布及其影响因素

图7 月薪资分布

图8 薪资与学历分布

图9 薪资与经验分布

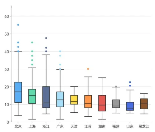
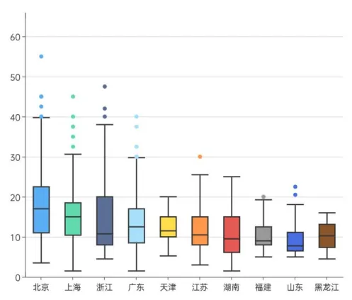
图10 各地区平均薪资分布

图11 平均薪资前10地区薪资箱线图
FOUR
文本分析
1. 词云图

图12 职位描述词云图

图13 福利待遇词云图
在职位描述中,对于数据分析师这一岗位,主要工作内容是对数据进行挖掘、分析、处理,涉及商业、运营等方面。此外,对于求职者的专业要求包括数学、统计学等;技能要求包括掌握数据分析软件的使用方法并熟练应用,如Python,SQL,Excel等。
在福利待遇方面,大部分公司都以年终奖金、绩效奖金、带薪年假等福利吸引求职者前来应聘,这也说明求职者更为关注的是薪资和奖金。此外还包含员工旅游、定期体检等,体现了企业对于员工的人文关怀,也能够增强一定的岗位吸引力。
2. 主题模型
表3 LDA主题建模

数据分析师岗位应聘者需要具备过硬的数学、统计学等专业的理论知识,对Python、SQL等数据分析工具的熟练运用。当涉及到环保、物流、电商等具体行业时,还要了解所涉及行业领域中的相关知识,洞察业务需求。同时需要结合岗位具体的需求,了解业务部门、产品部门等相关部门的工作内容,具备相关经验,让数据分析结果真正落地。
3. 关键词共现网络与社区发现

图14 社区发现
紫色社区为个人基本能力要求:具备数据分析的能力,计算机、统计专业,本科以上、熟练应用SQL、Excel等软件,具备良好的日常沟通能力等。
绿色社区为业务处理能力的要求:具备实战经验,了解客户需求,熟悉产品底层逻辑,具备通过分析建模、数据挖掘等方法,形成报表的业务处理能力。
橙色社区为个人品质要求:在处理日常项目和工作时,需具备较强的团队协作能力和沟通能力,协助各部门有效管理,具有较强的责任心。
FIVE
结论与建议
1. 主要结论
1. 数据分析师岗位总体前景较好。在具有一定工作经验的基础上,薪资水平集中在10000元以上,福利待遇得到保证,在一线城市的互联网、计算机类企业,个人发展提升空间大,且学历越高竞争力越强。
2. 数据分析师岗位行业覆盖范围广。尽管互联网、计算机类行业对于数据分析师的需求量占主导,但其中不乏传媒、物流、环保、制造业等其他传统与新兴行业。大数据时代下,数据分析与管理人才需求爆炸式增长,不同行业类别、行业性质下,都有数据分析人才的一席之地。
3. 数据分析师岗位注重实践经验。在岗位需求中,注重掌握Python、SQL等数据分析与管理工具,且工作内容对标实际业务问题。对于求职者的学习能力、对业务的理解和领悟能力有着较高要求,业务经验丰富会被优先考虑。
2. 相关建议
对于数据科学专业的学生,结合本文研究结论给出如下建议:
1. 上海、北京、广州、深圳对于数据分析师的需求旺盛,且薪资水平位居前列,未来希望从事数据分析方面工作的同学,可以结合实际情况,优先考虑以上地区,发展前景较为广阔。
2. 在校期间积极参与实习工作,积累工作经验。对于数据分析师岗位,有无工作经验对于薪资影响较大,且平均薪资水平随工作年限增长。此外在校期间积累实习经验或参加实践活动,也有助于拓宽视野,了解实际业务的处理方式。
3. 民营企业相对于国企具备一定竞争优势,其发展空间更大,但与此同时伴随着高强度、高压力,可结合自身情况选择。此外若考虑选择外企,英语水平也较为重要。
报告作者:陈思源、刘佳、邵佳钰


