作者:
华夏银行股份有限公司、龙盈智达(北京)科技有限公司 吴永飞
龙盈智达(北京)科技有限公司 王彦博
中国电子科技集团 郝鹏鹏
龙盈智达(北京)科技有限公司 杨 璇 王一多 高新凯 徐 奇 曹晓峰

摘要:当前量子科技蓬勃发展,受到了国内外各界的广泛关注。基于量子关联规则挖掘算法创新,对商业银行基于平衡计分卡的战略绩效管理领域开展量子数据挖掘技术应用研究,并挖掘符合商业银行实际的平衡计分卡战略绩效管理指标表现规律,以期为商业银行基于平衡计分卡的战略绩效管理发展提供新思路和新方案。
关键词:量子关联规则挖掘,战略绩效管理,商业银行
当前,量子科技蓬勃发展,受到了国内外各界的广泛关注。以商业银行为代表的各金融机构纷纷加大对量子科技的战略布局和科研投入。在商业银行开展的量子计算前沿探索实践中,基于量子K-means、量子神经网络、量子近似优化、量子幅度估计等量子算法的商业银行智慧运营、智能风控、智能资管等业务应用如雨后春笋般涌现,但战略绩效管理领域的量子计算探索应用仍较为鲜见。本文聚焦于量子关联规则挖掘算法在我国商业银行战略绩效管理方面的创新应用研究,以期为商业银行基于平衡计分卡的战略绩效管理发展提供新思路和新方案。
一、基于平衡计分卡的
商业银行战略绩效管理发展
商业银行作为金融市场的重要主体之一,当前环境下面临越来越多来自内外部的挑战,绩效管理已经成为提升银行管理竞争力的必要手段之一。早在上世纪80年代末,许多管理专家就表达了对传统业绩评价指标的顾虑,单一的绩效指标往往更多关注财务维度表现,导致企业过分关注短期的业绩指标,忽略了企业中长期的战略规划。但随着整个绩效管理体系的迭代与更新,新时代下商业银行的绩效管理体系需要结合战略管理、目标管理、关键业绩等多个方面指标评价,将企业的绩效逐层分拆到部门和个人范畴当中,使企业的绩效完成情况与员工的绩效管理紧密结合,因此平衡计分卡理论应运而生。
平衡计分卡(The Balanced Score Card,BSC)[1-2]于1992年由美国哈佛商学院教授Robert S. Kaplan和复兴全球战略集团创始人David P. Norton提出。随着时代的发展,平衡计分卡理论在其不断迭代、不断完善的过程中得到了业界的广泛应用与好评。平衡计分卡由财务、客户、内部运营、学习发展4个维度组成,从而形成一个将财务与非财务指标相结合的全面业绩衡量体系。该体系能够将企业战略目标逐层细化为以多指标衡量、可实际操作的具体行动方案。具体来说,财务维度体现了平衡计分卡中的结果型指标,以量化数据直观地展示企业在过去一段时间内的发展情况;客户维度体现了企业“以客户为中心”的思想,客户满意度调查、客户忠诚度调查都是能够反映客户粘合度及企业自身品牌形象是否存在问题的重要手段,能够将客户对产品、服务的反馈用于日后的优化提升中,为日后提高企业的财务指标提供帮助;内部运营维度体现了企业内部流程的完备程度、精炼程度以及企业员工及客户是否满意现有企业流程等指标;学习发展维度中的指标可以体现企业、部门、组织、员工之间的目标是否一致、对过去运营管理过程中出现的问题进行总结归纳,从而对企业的战略目标和具体实施方案进行调整更新,以及对企业的数字化转型、信息化发展情况予以体现。
二、量子关联规则挖掘算法创新
关联规则挖掘是数据挖掘中最重要的任务之一[3],在商业数据分析、网页数据分析、生物信息学等领域得到广泛应用。给定一个包含N个事务的事务数据库T={T0,T1,…,TN-1},每个事务是M个项目构成的集合I={I0,I1,…,IM-1}的子集(即任意Tj⊆ I),关联规则挖掘旨在挖掘出所有具有A→B这样的蕴涵式形式的强关联规则,其中A,B⊆I且A和B无交集,该规则意味着项集A出现时有很大的可能性B也出现。这里的强关联规则需要满足2个条件:(1)该规则支持度(即A∪B的支持度,任意一个项集X的支持度定义为N个事务中包含X的事务所占比例)不小于预先设定的最小支持度Smin;(2)该规则的置信度(定义为A∪B的支持度与A的支持度的比值)不小于预先设定的最小置信度Cmin。
关联规则挖掘的核心任务是从事务数据库T中挖掘出所有的频繁项集,即从I的所有非空子集中找出支持度不小于Smin的子集。用以完成该任务最著名的算法为Apriori算法[4],该算法以迭代的方式找出所有频繁项集,其中第k次迭代执行2个过程:
(P1) 计算所有候选k-项集(k个项目构成的集合)的支持度,找出支持度不小于Smin的候选k-项集,构成频繁k-项集;
(P2) 将频繁k-项集通过连接和剪枝产生候选(k+1)-项集。
该算法的初始迭代(k=1)以I中所有单项构成所有的候选1-项集。
由于(P1)过程需要扫描整个事务数据库以计算支持度,其复杂度远高于(P2)过程,因此如何高效地执行每次迭代的(P1)过程对提高关联规则挖掘效率至关重要。
量子关联规则挖掘算法[5]和Apriori算法类似,也是以迭代的方式挖掘频繁项集,其侧重点在于利用量子计算机技术方法高效地实现每次迭代的(P1)过程,而将(P2)过程仍然交由经典计算机完成。具体来说,量子关联规则挖掘算法在实现第k次(P1)过程的主要步骤如下:
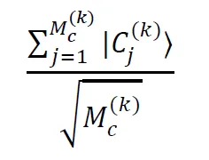
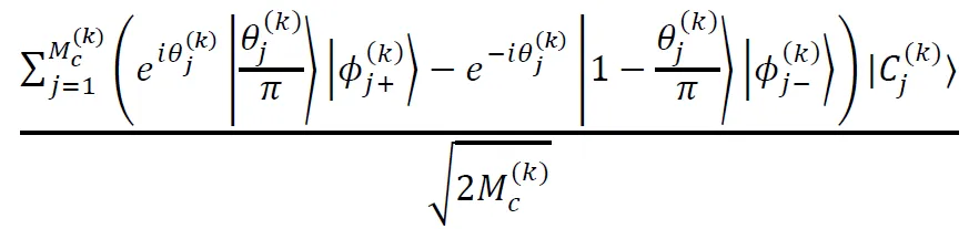
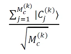
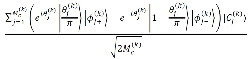
(S1) 产生编码所有候选k-项集的叠加量子态


(S2) 利用事务数据库产生Grover操作G(k)[6],并利用该操作执行并行幅度估计得到以下量子态


(S3) 利用幅度放大搜索出支持度sin2(θj(k))大于或等于Smin的候选k-项集及其支持度信息。
(S4) 测量得到所有的频繁k-项集及其支持度信息。
需要指出的是,若候选k-项集数目较低时,幅度放大效果不显著,因此在这种情况下可以不执行(S3)步骤。与经典Apriori相比,量子关联规则挖掘算法至少在支持度估计参数上具有平方加速优势。
三、量子关联规则挖掘在
商业银行战略绩效管理中的实证分析
对于一个真实的包含29项事务(即某全国性股份制商业银行29家分行)以及12个项目(即各分行连续三年财务、客户、内部运营和学习发展的考核是否结果良好)的商业银行战略绩效管理事务数据库,在设定最小支持度为0.25和最小置信度为1的基础上,利用量子关联规则挖掘算法,通过IBM Q量子计算云平台挖掘其中隐藏的量子关联规则。
根据量子关联规则挖掘算法流程,首先从候选1-项集中挖掘频繁1-项集,其量子线路如图1所示。在该线路中,用4个量子比特(qi0-qi3)的量子态表示不同的候选1-项集,用5个量子比特(qv0-qv4)的量子态表示不同的事务,用7个量子比特(qe0-qe6)的量子态来存储估计的θj(k) /π或1-θj(k)/π以估计候选1-项集的支持度。最后测量前4个比特表示候选1-项集;后7个比特表示对应的θj(k) /π的估计值,从而得到对应的支持度估计值。

图1 从候选1-项集中挖掘频繁1-项集的量子线路图
将以上量子线路在IBM Q量子云平台的“aer_simulator”量子计算模拟器运行65536次,得到每个候选1-项集及其对应的支持度估计值。以前4个比特为“0000”所代表的第一个候选1-项集{I0}为例,图2为其测量结果直方图。从图2可以看出,最高的2个比特串的最后7位为“0011101”和“1100011”,分别是θj(k) /π或者1-θj(k) /π的估计值,从而得到候选1-项集{I0}的支持度估计值为0.471。该项集的真实支持度为0.483,相对误差为2.5%。同样地,估计其他11个候选1-项集,它们的支持度估计值均为0.471,真实值均为0.483。因此,通过该量子线路计算,所有12个候选1-项集的支持度估计值均大于或等于预设的Smin = 0.25,即均为频繁1-项集,这与实际结果相一致。进一步利用这12个频繁1-项集可以产生66个候选2-项集。

图2 候选1-项集{I0}的测量结果直方图
类似地,按照量子关联规则挖掘算法设计针对2-项集、3-项集以及更高项集的量子线路并在“aer_simulator”量子计算模拟器上运行,最终得到47个频繁2-项集,20个频繁3-项集和1个频繁4-项集,再加上频繁1-项集,一共有80个频繁项集被挖掘出来。所有的频繁项集情况均与实际结果相一致,且通过量子关联规则挖掘得到的频繁项集其支持度估计相对误差均小于3.3%。
根据得到的所有频繁项集及它们的支持度估计值,在设定最小置信度为1的条件下进一步得到12条量子关联规则,见表1。
表1 针对实例事务数据库的量子关联规则挖掘结果

表1中I0至I11各项对应的商业银行连续3年平衡计分卡财务、客户、内部运营和学习发展指标含义见表2。
表2 量子关联规则挖掘中项目对应的业务含义

第一,聚焦序号为10、11和12的量子关联规则,并将它们从结果列表中剔除。具体而言,规则序号10“{I2,I7 }→{I5,I11}”的后项有2个项目“I5”和“I11”,通常为简化业务逻辑,我们约定仅对后项为单独项目的规则做解析。同时,序号为4和6的量子关联规则“{I2,I7 }→{I5}”“{I2,I7 }→{I11}”其实已经分别表达了序号10规则的内容含义。另外,规则序号6“{I2,I7 }→{I11}”的前项“{I2,I7 }”可以看作为规则序号11“{I2,I5,I7 }→{I11}”前项“{I2,I5,I7 }”的一般化形式,即已知“I2”和“I7”的发生可以导致“I11”的发生,就无需再看“I5”是否伴随“I2”和“I7”发生了。同理,规则序号12的一般化形式为规则序号4。
第二,聚焦序号为2的量子关联规则,同样将它从结果列表中剔除,因为该规则“{I0,I7 }→{I9}”的前项包括“I7”表示“第二年内部运营维度表现良好”,而它的后项是“I9”表示“第一年学习发展维度表现良好”,显然该蕴含表达式在业务逻辑方面存在时间矛盾性,应该忽略这类虽满足数据逻辑但不符合业务逻辑或没有业务含义的规则。
而后,由上述量子关联规则挖掘结果可以得到以下业务结论:
第一,前一年度良好的财务表现和本年度良好的学习发展表现有助于进一步实现本年度良好的财务表现。以序号为1和3的量子关联规则为例,“{I0,I10 }→{I1}”表示“第一年财务维度表现良好且第二年学习发展维度表现良好,则第二年财务维度表现良好”;“{I1,I11}→{I2}”表示“第二年财务维度表现良好且第三年学习发展维度表现良好,则第三年财务维度表现良好”。因此,在前一年度财务表现良好的基础上,本年度对学习发展的良好投入和提升有助于财务表现的优势在本年度继续保持。
第二,前一两年内部运营表现良好且本年度财务表现良好的分行有意愿本年度在学习发展方面有进一步良好投入和提升。由序号为5和6的量子关联规则可知,“{I2,I6}→{I11}”表示“第一年内部运营维度表现良好且第三年财务维度表现良好,则第三年学习发展维度表现良好”;“{I2,I7}→{I11}”表示“第二年内部运营维度表现良好且第三年财务维度表现良好,则第三年学习发展维度表现良好”。由此可知,在前一两年内部运营表现良好的情况下,结合当年良好的财务表现,学习发展也会呈现良好发展效果。再进一步结合前述序号为1和3的量子关联规则,从而可进一步促进未来财务指标的正向发展。
第三,良好的内部运营表现有助于后续获得良好的客户满意度和客户忠诚度表现。以序号为7和8的量子关联规则为例,“{I6,I7}→{I5}”表示“第一年内部运营维度表现良好且第二年内部运营维度表现良好,则第三年客户维度表现良好”;“{I7,I8}→{I5}”表示“第二年内部运营维度表现良好且第三年内部运营维度表现良好,则第三年客户维度表现良好”。由此可知,之前连续两年的良好内部运营表现对于后续在客户维度取得良好表现有促进作用。此外,序号为4和9的量子关联规则表明,如果仅有“第二年内部运营维度表现良好”(“I7”),并没有形成连续两年内部运营维度表现良好的优势延续,此时如果“第三年财务维度表现良好”(“I2”)或者“第三年学习发展维度表现良好”(“I11”),也将带来“第三年客户维度表现良好”(“I5”);显然,财务指标表现良好往往促使分行直接给客户回馈一些实惠,而在学习发展方面加大投入也可能将快乐从员工传递给客户,因此在内部运营基本表现良好的前提下,这些行动举措都将有效提升客户的满意度和忠诚度。
四、结语
综上所述,本文实证分析使用的量子关联规则挖掘算法有效实现了从事务数据库中挖掘隐藏规律的任务,发现了符合商业银行业务实际的战略绩效管理规则,为商业银行应用量子关联规则挖掘算法和发展战略绩效管理领域提供了借鉴。
当前量子科技时代已经开启,量子计算在以商业银行为代表的金融行业展现出广阔的发展前景。本文基于量子关联规则挖掘算法创新,对商业银行基于平衡计分卡的战略绩效管理领域开展量子数据挖掘技术应用研究,并挖掘出了符合商业银行实际的平衡计分卡战略绩效管理指标表现规律,为后续华夏银行及其它商业银行战略绩效管理的进一步发展提供新思路和新方案。
注:本文已发表于《财务管理研究》2022年增刊(下)
参考文献:
[1] 卡普兰, 诺顿. 平衡计分卡:化战略为行动[M]. 刘俊勇,孙薇,译.广州:广东经济出版社, 2013.
[2] 卡普兰, 诺顿. 战略地图:化无形资产为有形成果[M]. 刘俊勇,孙薇,译. 广州:广东经济出版社, 2005.
[3] Agrawal R, Imieliński T, Swami A. Mining association rules between sets of items in large databases[C]. Proceedings of the 1993 ACM SIGMOD International Conference on Management of Data, 1993.
[4] Agrawal R, Srikant R. Fast algorithms for mining association rules[C]. Proceedings of the 20th International Conference on Very Large Data Bases, 1994.
[5] Yu C H. Experimental implementation of 1uantum algorithm for association rules mining [J]. IEEE Journal on Emerging and Selected Topics in Circuits and Systems, 2022, 12(3):676-684.
[6] Grover L K. A fast quantum mechanical algorithm for database search[C]. Proceedings of the Twenty-eighth Annual ACM Symposium on Theory of Computing, 1996.
END
前期精彩原创推荐(点击图片进入阅读):



这是科技创新最好的时代,这是属于我们每个人最好的时代,关注“BanTech智库”,专注银行科技发展,探索无界金融生态!


