
酷玩实验室作品
首发于微信号 酷玩实验室
微信ID:coollabs
大家好,我叫小浩
是健哥的同事
也是个码农
本来当程序员就够苦逼了
加上最近公司的业务又红红火火
我的工作量比以前多了不少
所以
我每天不是在敲代码
就是在改bug的路上

作为一个累成狗的程序猿
这几天
我觉得自己的身体像是被掏空
每天晚上四脚冰冷、失眠多梦
醒来还发现头发一把把的掉
虽然照镜子都有种现在的自己
比过去更有智慧的错觉

但每次还是会被镜子里的自己吓一跳
我的身体从来没有这么虚弱过
怎么最近出了这样的岔子
难道是得了程序员的职业病吗
第二天中午
我在和健哥一起吃午饭的时候
问他是不是有和我一样的职业病
就当我等着健哥跟我抱团取暖、
互诉衷肠的时候
健哥却回复我一个鄙夷的眼神:
“你可拉倒吧,你那哪是职业病”
“你这明显是肾虚啊”

那一瞬间
我喷在健哥脸上的饭
很恰当的表达了我的愤怒
“肾虚?我这只单身狗
哪里有机会肾虚啊”
健哥避开我的眼神
默默地垂下了头
幽幽地说了一句
“得了吧,我也没女朋友,
但在那么多又冷又长的夜里,
独自一个人的时候,
总想做点什么,
充盈自己的灵魂,
关于会不会肾虚,
我比你清楚。”
后来的午饭
我和健哥吃的格外安静
从此当我们的眼神
再次交汇的时候
都会对对方多一丝同情与怜悯

晚上回到家
我仔细地看了镜子中的自己
黑眼圈很大
神情很憔悴
地中海的面积也越来越广
不禁感叹
岁月真是把杀猪刀啊
刚工作时候的我
颜值可以算是吴亦凡那一卦的啊
看来当下能拯救
我那逝去的青春的方法
只有抓紧补肾了

我打开某宝
输入关键词“补肾”
主页出现了不同品牌的补肾品

由于之前没在这上面
买过类似的药
所以到底什么样的药受欢迎
我没有任何概念
但某宝很贴心
当我输入关键词以后
商品页的下方出现了
“猜你喜欢”一栏

里面都是一些销量高评价好的药
网页的右边同时多了
“看了又看”一栏
同样给我推荐了
浏览量比较高的商品

我根据某宝有针对性的推荐
买下了最受买家欢迎
好评率最高的补肾丸
这下我只需要在家
坐等我的快递
过段时间我就能重拾
我男人的尊严了

作为一名专业的程序员
我平时最大的爱好
除了逛某宝
还喜欢钻研
我感兴趣的程序算法
这次的购物经历成功勾起了
我对大数据推荐算法的兴趣
因为我发现
我的生活已经
越来越离不开大数据
比如,听音乐我只用网易云
打开网易云的每日推荐
是我每天必不可少的习惯
可是当我前几天不小心
把《中小学生广播体操》
的音乐点成收藏的时候
接下来几天列表里全是
《欢乐斗地主》
《英雄联盟》
这样的背景音乐

谁知道网易云
给我推荐的这些奇葩的歌
我竟然越听越喜欢!!!
它让我想起曾经那个唇红齿白
在宿舍永远只穿一条裤衩
和朋友不分昼夜
斗智斗勇的大学时代
网易云的推送
总让我心头一热
经过我的推测
我发现网易云音乐对用户
之所以能做到精准推荐
是因为做到了两个关键算法:
1.对音乐类型做到了精确划分
2.对用户的听歌行为作了标记,
将听歌历史行为数据与音乐类型相匹配
通过用户听歌的历史数据
来判定客户喜欢的音乐类型
从而做到有效地精准推荐
简单来说就是
网易云音乐
把相同/相似风格的音乐归到一块
贴上小清新、重金属等标签
或是贴上伤感、轻快等情绪标签

如今的大数据推荐的主要算法
就是根据用户的历史兴趣数据
去建立用户模型
然后将物品的特征归类
随即把物品特征与用户模型相比较
相似度较高的物品就可以得到推荐
为了能了解到
更多大数据的具体算法
也为了打破
我和健哥之间
尴尬又不失礼貌的沉默
我决定去请教他一些关于
大数据算法的问题
健哥果然是一位优秀的程序员
听了我的论述
他说现在不仅是互联网
需要大数据
服务行业也开始输入大数据了
他最近刚注册成为垂衣的会员
垂衣就是利用大数据算法
对每一个有不同穿衣需求的男士
挑选出最适合他的穿衣搭配
但是
垂衣的大数据不同于
互联网反推客户
使用习惯的大数据
而是搜集用户
亲自填写的最真实的数据
当垂衣这样的服务号
要为客户服务的时候
它需要客户填写身高、体重
穿衣风格、想遮掩的缺点等
详细数据
垂衣后台对不同风格的需求汇总计算
由此得到大部分客户
需求的数据词云

从而做到给客户寄去
让其满意的衣服
而关于衣服的尺寸
垂衣使用Stan指定概率模型的代码
简单的说
垂衣在给客户选择尺码时
绝不是按照简单的
大、中、小这三个平均的尺码
来“满足”客户
而是通过算法
来使客户感受到
这衣服就是专门量身定做的

虽然健哥说的有理有据
但我还是对健哥口中的垂衣
利用大数据服务大众
的精确性表示怀疑
我了解垂衣
客户在注册成会员
到下单,最后到收快递
期间没有人工客服
全靠大数据算法
没有人工服务
怎么灵活的把握精确度呢
健哥不屑的说:
“那你真应该注册垂衣,
好好体验一下。
我在上面下单两次了,
虽然没有专门的人工客服联系我,
但我的衣服都是人家理型师
一对一搭配好的,
尺寸真是比我自己买的都合身。”
我极度怀疑健哥是不是
收了垂衣的广告费
他这人平时难得夸人家好
大概是见我没有被他说动
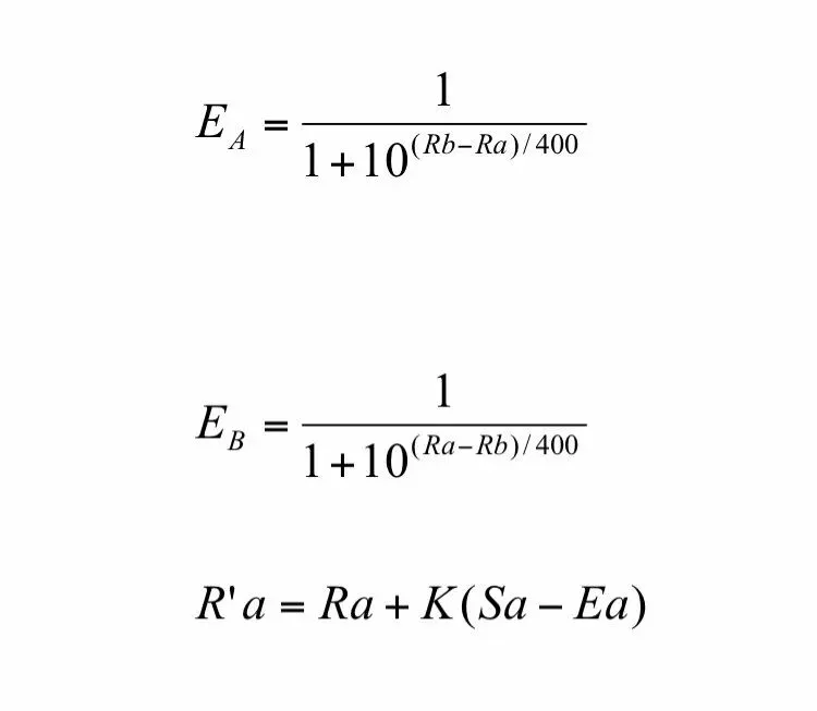
健哥扔出了一个公式

这个公式名叫ELO算法
“是垂衣内部针对
理型师算法的上分表,
不要觉得它复杂,
其实我们都用到过它。
还记得你打农药的时候
需要匹配对手吗?
匹配时,
每个玩家都会有一个“天梯”分数,
你的段位越高,
匹配到的对手就越强。
垂衣的算法程序员
就开了一个这样完美的脑洞:
越难搞的客户
就越要匹配分数更高的
理型师来服务
每一位理型师
都要尽最大的努力
来满足每位客户的不同需求
完美弥补大数据缺乏的个性化
无论客户想遮肚子
还是显腿长
垂衣的大数据和理型师相互配合
这些对于不会搭配的
直男的难点
对于垂衣来说
都是简单的小问题。”
作为一名专业的程序员
此生最大的信仰就是程序算法
健哥讲完了
垂衣的大数据工作原理
我二话不说
赶紧注册成为垂衣的会员
看着已经下单的订单
我内心期待着
垂衣这次给我寄来
的盒子能带给我什么样的惊喜

此时已经是深夜
我给自己倒了一杯红酒
打开网易云音乐
播放着它给我推荐的
《欢乐斗地主》
悠闲地躺在椅子上
闭上眼睛
我已经想象到未来
我穿着垂衣给我搭配的
极有逼格的外套
在高端场合和各种成功人士
讨论色彩、搭配学的场景
还没等健哥说完
我就要拿起手机注册
健哥突然制止了我
“你先别慌,
垂衣最近又有新的优惠活动
我又为大家争取到了更大的福利
芝麻信用分大于650分
可以直接抵扣100元押金
成为会员后还可以领取100元代金券
算算瞬间赚了200元呢。”
从此
给垂衣一个机会
也给自己一个机会
走上人生巅峰
你就差一套衣服啦~
↙↙想要更大优惠的小伙伴请点击原文链接~




