手机版
二维码
购物车
(
0
)
供应
求购
公司
团购
展会
资讯
招商
品牌
人才
知道
专题
图库
视频
下载
商圈
推广
热搜:
采购方式
滤芯
甲带
减速机
气动隔膜泵
减速机型号
带式称重给煤机
履带
无级变速机
链式给煤机
首页
供应
求购
公司
团购
展会
资讯
招商
品牌
人才
知道
专题
图库
视频
下载
商圈
首页
>
资讯
>
电工电气
电气图中设备和线路的标注方法
日期:2023-08-16 06:47:00 来源:网络整理 作者:本站编辑
评论:0
一、用电设备
其中:a--设备编号;
b--额定功率(kW);
c--线路首端熔断片或自动开关释放器的电流(A);
d--标高(m)。
二、电力和照明设备
(1)一般标注方法。
(2)当需要标注引入线规格时的标注方法。
其中:a--设备编号;
b--设备型号;
c--设备功率(kW);
d--导线型号;
e--导线根数;
f--导线截面(mm²);
g--导线敷设方式及部位。
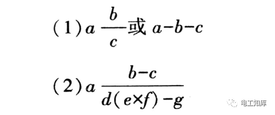
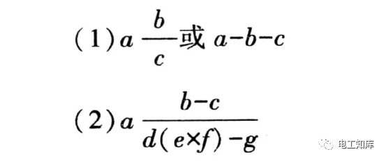
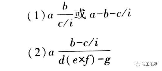
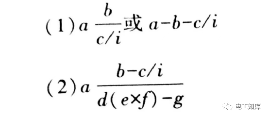
三、开关及熔断器
(1)一般标注方法。
(2)当需要标注引入线规格时的标注方法。
其中:a--设备编号;
b--设备型号;
c--额定电流(A);
d--导线型号;
e--导线根数;
f--导线截面(mm²);
g--导线敷设方式;
i---整定电流(A)。
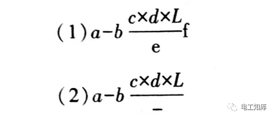
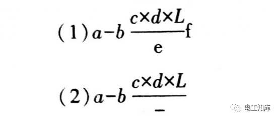
四、照明灯具
(1)一般标注方法。
(2)灯具吸顶安装。
其中:a--灯数;
b--型号或编号;
c--每盏照明灯具的灯泡数;
d--灯泡容量(W);
e--灯泡安装高度(m);
f-安装方式;
L--光源种类。
五、电缆与其他设施交叉点
其中:a--保护管根数;
b--保护管直径(mm);
c--保护管长度(m);
d--地面标高(m);
e--保护管埋设深度(m);
f--交叉点坐标。
六、安装或敷设标高(m)
(1)用于室内平面、剖面图上。
(2)用于总平面图上的室外地面。
七、导线根数,当用单线表示一组导线时,若需要示出导线数,可用加小短斜线或画一条短斜线加数字表示
(1)表示3根。
(2)表示3根。
(3)表示n根。
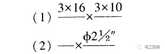
八、导线型号规格或敷设方式的改变
(1)3x16mm²导线改为3x10mm²。
(2)无穿管敷设改为导线穿管(φ2½in)敷设。
打赏
更多
>
同类资讯
• 卑微打工人在线求厂家
0
条
相关评论
推荐图文
推荐资讯
点击排行
0
1
稳压器
0
2
铜柱式大功率150KVA稳压器
0
3
三相电力稳压器和普通稳压器区别在哪?
0
4
1500卖30KVA稳压器 需要自己来拉
0
5
高低压智能组合式稳压器!SBW大功率稳压器
0
6
工厂大功率稳压器的作用
0
7
大功率交流稳压器的作用
0
8
大功率稳压器有必要买吗?
0
9
80kw稳压器是智商税吗?
网站首页
|
关于我们
|
联系方式
|
使用协议
|
版权隐私
|
网站地图
|
排名推广
|
广告服务
|
积分换礼
|
网站留言
|
RSS订阅
|
违规举报
|
皖ICP备20008326号-18
(c)2008-2022 免费发布网 All Rights Reserved