







? 城市发展新视角!政府网站与经济发展的超有趣实证研究
? 研究背景与问题
政府网站作为电子政务的重要组成部分,承担着信息公开、在线服务和互动交流等公共职能,与地区经济和社会发展息息相关。
本文以我国292个地级市为研究对象,探讨政府网站建设质量与经济发展水平之间的关联度。
? 研究方法
数据来源:使用工信部计算机与微电子发展研究中心(中国软件测评中心)发布的《中国政府网站绩效评估报告》中的数据。
模型设定:采用线性回归模型,以人均GDP的对数值作为经济发展水平的指标,政府网站绩效评估平均得分作为网站建设质量的指标。
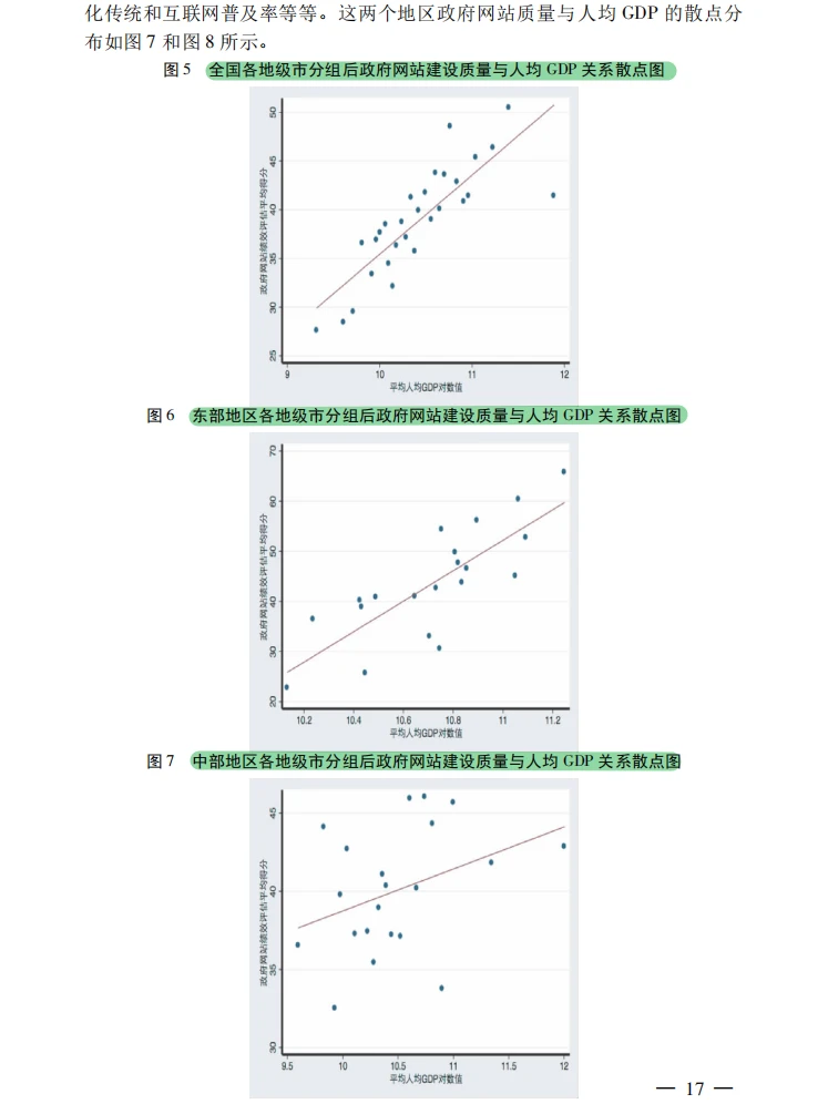
分层分析:将292个地级市按照东、中、西部三大经济区域进行分层,分别进行回归分析。
? 研究假说
H1:政府网站建设质量与人均收入水平显著正相关。
H2:在经济发展水平较高的地区,这种正相关关系更为显著。
? 实证结果
基于原始数据的回归分析
全国范围:政府网站建设质量与人均GDP显著正相关,人均GDP每提高10%,网站评估得分提高0.78分。
东部地区:相关性更强,人均GDP每提高10%,网站评估得分提高1.15分。
中部和西部地区:未发现显著的正相关关系。
基于数据归类的回归分析
全国范围:分组后拟合优度显著提高,达到67.48%,表明政府网站建设质量与人均GDP的正相关关系在分组后更为明显。
东部地区:分组后拟合优度达到63.68%,正相关关系显著。
中部和西部地区:即使分组后,相关性仍然较弱,拟合优度分别为13.51%和28.60%。
? 进一步分析
资源型城市的影响:在剔除一些人均GDP水平较高的资源型城市后,全国范围内的拟合优度进一步提高至79.57%。
地区间横向比较:东部地区的政府网站建设质量普遍高于中部和西部地区。
? 结论
政府网站建设质量与经济发展水平之间存在显著的正相关关系,尤其是在经济发达的东部地区。
中部和西部地区政府网站建设质量受到更多非经济因素的影响,如领导人偏好、历史文化传统和互联网普及率等。
未来研究可以进一步探讨不同类型城市(如资源型城市、农业型城市等)之间的差异,以及政府网站建设对经济发展的具体作用机制。
#模糊综合评价 #模糊评价法 #模糊综合评价法 #实证分析 #提供思路和创新点 #多元线性回归 #论文 #计量经济学 #层次分析法和模糊综合评价法
? 研究背景与问题
政府网站作为电子政务的重要组成部分,承担着信息公开、在线服务和互动交流等公共职能,与地区经济和社会发展息息相关。
本文以我国292个地级市为研究对象,探讨政府网站建设质量与经济发展水平之间的关联度。
? 研究方法
数据来源:使用工信部计算机与微电子发展研究中心(中国软件测评中心)发布的《中国政府网站绩效评估报告》中的数据。
模型设定:采用线性回归模型,以人均GDP的对数值作为经济发展水平的指标,政府网站绩效评估平均得分作为网站建设质量的指标。
分层分析:将292个地级市按照东、中、西部三大经济区域进行分层,分别进行回归分析。
? 研究假说
H1:政府网站建设质量与人均收入水平显著正相关。
H2:在经济发展水平较高的地区,这种正相关关系更为显著。
? 实证结果
基于原始数据的回归分析
全国范围:政府网站建设质量与人均GDP显著正相关,人均GDP每提高10%,网站评估得分提高0.78分。
东部地区:相关性更强,人均GDP每提高10%,网站评估得分提高1.15分。
中部和西部地区:未发现显著的正相关关系。
基于数据归类的回归分析
全国范围:分组后拟合优度显著提高,达到67.48%,表明政府网站建设质量与人均GDP的正相关关系在分组后更为明显。
东部地区:分组后拟合优度达到63.68%,正相关关系显著。
中部和西部地区:即使分组后,相关性仍然较弱,拟合优度分别为13.51%和28.60%。
? 进一步分析
资源型城市的影响:在剔除一些人均GDP水平较高的资源型城市后,全国范围内的拟合优度进一步提高至79.57%。
地区间横向比较:东部地区的政府网站建设质量普遍高于中部和西部地区。
? 结论
政府网站建设质量与经济发展水平之间存在显著的正相关关系,尤其是在经济发达的东部地区。
中部和西部地区政府网站建设质量受到更多非经济因素的影响,如领导人偏好、历史文化传统和互联网普及率等。
未来研究可以进一步探讨不同类型城市(如资源型城市、农业型城市等)之间的差异,以及政府网站建设对经济发展的具体作用机制。
#模糊综合评价 #模糊评价法 #模糊综合评价法 #实证分析 #提供思路和创新点 #多元线性回归 #论文 #计量经济学 #层次分析法和模糊综合评价法


