


















绿色创新是企业可持续发展的关键,这篇 paper 聚焦机构投资者对企业绿色创新的作用,结合股权和投资组合特征展开分析,还探讨了财务与社会效益的调节作用,内容实用且贴近企业实际。
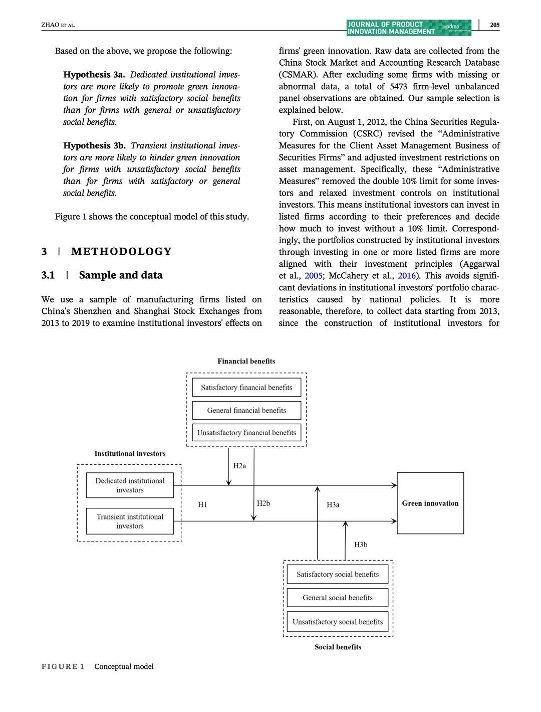
核心围绕不同类型机构投资者的影响差异展开,研究采用面板数据分析方法,以多年中国制造业企业为样本,结合企业专利数据和环境信息披露情况进行实证检验。将机构投资者分为专注型和短期型两类,前者具有更高的股权独立性和投资组合集中度,后者则相反,同时从财务绩效、融资约束和环境信息披露等维度衡量企业的财务与社会效益。
结论清晰且具实践意义,专注型机构投资者能显著促进企业绿色创新,是绿色创新的重要推动力量;短期型机构投资者则没有这一积极作用,甚至可能产生阻碍。这种影响会受企业财务与社会效益的调节,呈现 “趋利避害” 特征。
对于财务和社会效益良好的企业,专注型机构投资者会更积极推动绿色创新以追求长期收益;而短期型机构投资者在企业财务和社会效益不佳时,为规避短期风险,会倾向于阻碍绿色创新。
未来可探索的方向丰富,比如拓展研究范围至非制造业企业,对比不同行业机构投资者的行为差异;探究不同资本市场板块中机构投资者对绿色创新的影响是否存在不同;分析机构投资者之间的互动关系对企业绿色创新的叠加效应;还可深入研究股权性质、股权集中度等股权相关因素的调节作用,以及政策干预对二者关系的影响。
这篇 paper 的研究框架和实证设计,对从事企业创新、公司治理相关研究的小伙伴很有启发,能为 paper 写作提供严谨的思路和实用的指导,适合希望深耕相关领域的同学借鉴。
#Accept#SCI#SSCI#paper 写作 #机构投资者# 绿色创新 #企业可持续发展# 学术研究 #公司治理# 财务效益
核心围绕不同类型机构投资者的影响差异展开,研究采用面板数据分析方法,以多年中国制造业企业为样本,结合企业专利数据和环境信息披露情况进行实证检验。将机构投资者分为专注型和短期型两类,前者具有更高的股权独立性和投资组合集中度,后者则相反,同时从财务绩效、融资约束和环境信息披露等维度衡量企业的财务与社会效益。
结论清晰且具实践意义,专注型机构投资者能显著促进企业绿色创新,是绿色创新的重要推动力量;短期型机构投资者则没有这一积极作用,甚至可能产生阻碍。这种影响会受企业财务与社会效益的调节,呈现 “趋利避害” 特征。
对于财务和社会效益良好的企业,专注型机构投资者会更积极推动绿色创新以追求长期收益;而短期型机构投资者在企业财务和社会效益不佳时,为规避短期风险,会倾向于阻碍绿色创新。
未来可探索的方向丰富,比如拓展研究范围至非制造业企业,对比不同行业机构投资者的行为差异;探究不同资本市场板块中机构投资者对绿色创新的影响是否存在不同;分析机构投资者之间的互动关系对企业绿色创新的叠加效应;还可深入研究股权性质、股权集中度等股权相关因素的调节作用,以及政策干预对二者关系的影响。
这篇 paper 的研究框架和实证设计,对从事企业创新、公司治理相关研究的小伙伴很有启发,能为 paper 写作提供严谨的思路和实用的指导,适合希望深耕相关领域的同学借鉴。
#Accept#SCI#SSCI#paper 写作 #机构投资者# 绿色创新 #企业可持续发展# 学术研究 #公司治理# 财务效益


