

了解会议详细内容:【日程安排】2023‘三新食品’科技创新与产业发展论坛暨新食品原料申报审批、研发应用专题研讨会-杭州8月25-27日
新食品原料研讨会@已发布演讲主题
1、特邀嘉宾:国家局新食品原料注册审评专家《新食品原料申报法规及申报流程》
2、特邀嘉宾:国家局食品添加剂注册审评专家《食品添加剂新品种申报法规、流程及材料要求》
4、浙江工业大学杨开:蝙蝠蛾拟青霉胞外多糖调节双向免疫功能研究
5、南京农大食品科学技术学院曾晓雄:基于肠道菌群为靶点的枸杞多糖对血糖稳态的调节作用及其机制研究
6、南通励成生物工程有限公司朱宇雷:《γ-氨基丁酸的功效及产品开发》
8、杭州瑞旭科技集团有限公司俞秋莉 《探索中欧美新食品原料、添加剂法规监管现状和趋势》
9、杭州瑞旭科技集团于艳艳:新食品原料与新添加剂-挖掘区别与关联、选择最佳申报方向

禾本科植物燕麦含有丰富的营养成分,其中蛋白质含量为16%左右,脂肪含量是小麦的4倍,约为6.3%,燕麦中还含有皂苷、B1、B2、VE及矿物质等,此外还富含大多数粮食作物所不具备的可溶性膳食纤维——β-葡聚糖,其含量是玉米的37倍。燕麦β-葡聚糖是一种相对分子质量较小的短链葡聚糖,具有一般的膳食纤维的生理特性。研究显示,β-葡聚糖是燕麦具有丰富营养价值和保健功效的关键所在。
新食品原料燕麦β-葡聚糖,是以燕麦麸为原料,经水解、提取、沉淀、干燥、灭菌等工艺制成的。
保健功能
1.调节肠道菌群
燕麦β-葡聚糖对小鼠灌胃后,小鼠肠道内双歧杆菌和乳酸杆菌的数量增加,大肠杆菌数目减少,且作用效果随燕麦β-葡聚糖分子质量的增加而减弱,随剂量的提高而加强。这是因为燕麦β-葡聚糖的黏性有利于双歧杆菌的黏附,其在肠道内发酵降解产生的碳水化合物能够促进益生菌数量的增长,且相对分子质量越小,发酵速度越快。此外,双歧杆菌和乳酸杆菌在代谢中产生的酸降低了肠道的pH值,从而抑制了大肠杆菌增值。
2.降血糖
将燕麦β-葡聚糖分别给予正常小鼠和四氧嘧啶致糖尿病小鼠,饲喂30d后尾静脉取血,测定小鼠空腹血糖及糖耐量。结果表明,燕麦β-葡聚糖3.0g/kg剂量组能显著降低四氧嘧啶致糖尿病小鼠的空腹血糖,增强糖尿病小鼠的葡萄糖负荷糖耐量,但对正常小鼠的空腹血糖没有影响。
3.降血脂
高脂血症大鼠灌胃给予燕麦β-葡聚糖,分别于灌胃前及给药3、4周眼眶采血,测定血清TC、HDL-C、LDL-C。结果表明,燕麦β-葡聚糖能显著降低高脂血症大鼠血清TC和LDL-C,显著升高HDL-C。燕麦β-葡聚糖灌胃4周后降脂作用明显高于灌胃3周后的作用,且呈明显的剂量依赖性。研究者认为这是由于β-葡聚糖能够通过在胃肠内结合或捕获胆固醇,并对其代谢起作用,从而阻止其吸收、重吸收,以阻断其重循环,起到降低体内血浆胆固醇含量的作用。
4.增强免疫力
为研究燕麦β-葡聚糖对小鼠体内的免疫调节作用,李慧等用0.07、0.14、0.42g/kg·bw剂量的燕麦β-葡聚糖给小鼠灌胃30d,观察其对小鼠免疫功能的调节作用。结果发现,燕麦β-葡聚糖高剂量组能提高小鼠的抗体生成细胞数;低、中、高剂量组能提高淋巴细胞转化能力;低、中、高剂量组能提高NK细胞活性。燕麦β-葡聚糖是一种很好的非特异性免疫激活剂。
5.缓解体力疲劳
燕麦β-葡聚糖具有显著的抗疲劳作用,可以极显著增加大鼠的力竭跑步时间,降低血清尿素氮水平、血清肌酸激酶活力;显著增加肝脏糖原含量、血清游离脂肪酸含量和乳酸脱氢酶活力,降低血清尿素氮水平。

食用安全性
燕麦在我国栽培利用历史悠久,各地皆有分布,自古就有食疗兼备的功能。《本草纲目》称之为雀麦、野麦子,“燕麦多为野生,因燕雀所食,故名”。燕麦在我国自古入药,医学典籍称其“性平,味甘,归肝、脾、胃经。具用益肝和胃之功效,用于肝胃不和所致食少、纳差、大便不畅等”适用于病后体弱,便秘及难产等症。
燕麦中含有的β-葡聚糖已被广泛应用到面包、饼干、谷物营养早餐、面条、代餐品和营养补充剂中。美国食品及药物管理局(FDA)和欧盟食品安全局(EFSA)都已批注燕麦麸和其对心脏健康的效用。其营养价值、高β-葡聚糖含量和可溶性纤维都是人体所必须的。FDA建议,每日至少保证摄取0.75g的β-葡聚糖,而摄入3g的β-葡聚糖可改善胆固醇健康水平,同时维持心脏健康。EFSA则建议,每天吃能够提供3g燕麦β-葡聚糖的食物可以满足健康需求:“燕麦β-葡聚糖可降低和减少血胆固醇,而血胆固醇降低有可能降低罹患心脏病的风险。”
国内已上市的燕麦β-葡聚糖产品
截至目前,国内还没有燕麦β-葡聚糖保健食品上市。
燕麦β-葡聚糖已获准为新食品原料
2014年12月19日,国家卫计委发布第20号公告,批准燕麦β-葡聚糖为新食品原料。
中文名称 | 燕麦β-葡聚糖 | |
英文名称 | Oatβ-glucan | |
主要成分 | β-1,3-/1,4-葡聚糖 | |
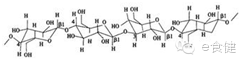
基本信息 | 来源:燕麦麸 结构式:
分子式:(C6H12O6)n分子量:6万-200万道尔顿 | |
生产工艺简述 | 以燕麦麸为原料,经水解、提取、沉淀、干燥、灭菌等工艺制成。 | |
食用量 | ≤5克/天 | |
质量要求 | 性状 | 白色至浅黄色粉末 |
β-葡聚糖(g/100g) | ≥70% | |
水分(g/100g) | ≤5% | |
灰分(g/100g) | ≤8% | |
其他需要说明的情况 | 1.使用范围不包括婴幼儿食品。 2.卫生安全指标应当符合我国相关标准。 | |

▼ 点击标题 查阅专栏 ▼
| 微生物发酵 | 保健食品 | 特医食品、婴配 | 生物活性肽 | 功能性食品 |
| 保健食品批件 | 药食同源 |
主办单位
国家食品行业生产力促进中心
北京凯晟中食管理咨询中心
备注:以上课程可直接加下方联系人微信的,获取“原文件”多个会议同时报名可享受优惠!

关注·食药信息论坛
扫码识别关注
卢慧芳1591024682






