*仅供医学专业人士阅读参考


近日,哈佛大学医学院张学宏团队,在顶级医学期刊JAMA上发表的一项重要研究成果。
这项对近10万名50-79岁绝经女性开展的长达21年的随访研究发现,与每月饮用3份(每份355毫升)及以下的含糖饮料(普通软饮和水果饮料,不含果汁)相比,每天饮用1份或更多含糖饮料的绝经女性,患肝癌风险增加85%,死于慢性肝病的风险增加68%[1]。
张学宏团队的研究数据着实吓坏了奇点糕的小伙伴们,不过在意识到自己离研究涉及的年龄还有二三十年的时候,她们内心稍微平静了一些,但是又不由得担心起自己的妈妈来。
据了解,这也是迄今为止科学家首次证实喝含糖饮料与慢性肝病相关死亡之间存在正相关关系。

论文首页截图
研究含糖饮料与癌症之间关系的研究有很多,但是专门研究含糖饮料与肝癌和慢性肝病相关死亡之间关系的研究,要么非常少且不全面(有两个研究发现了含糖饮料与肝癌之间存在相关性,但没有报告肝癌发病率[2,3]),要么是完全没有(含糖饮料与慢性肝病相关死亡之间关系还是空白)。
为了填补这一空白,张学宏团队调取了妇女健康倡议(WHI)队列的数据。WHI这个队列,是美国40个临床中心在1993年至1998年期间创建的,共纳入了161808名年龄在50至79岁之间的绝经女性,一直随访到2020年3月1日。
研究人员将其中122970名参与者的数据纳入本研究,按照入排标准,其中98786名参与者喝过含糖饮料,64787名参与者喝过人工甜味饮料。

研究流程
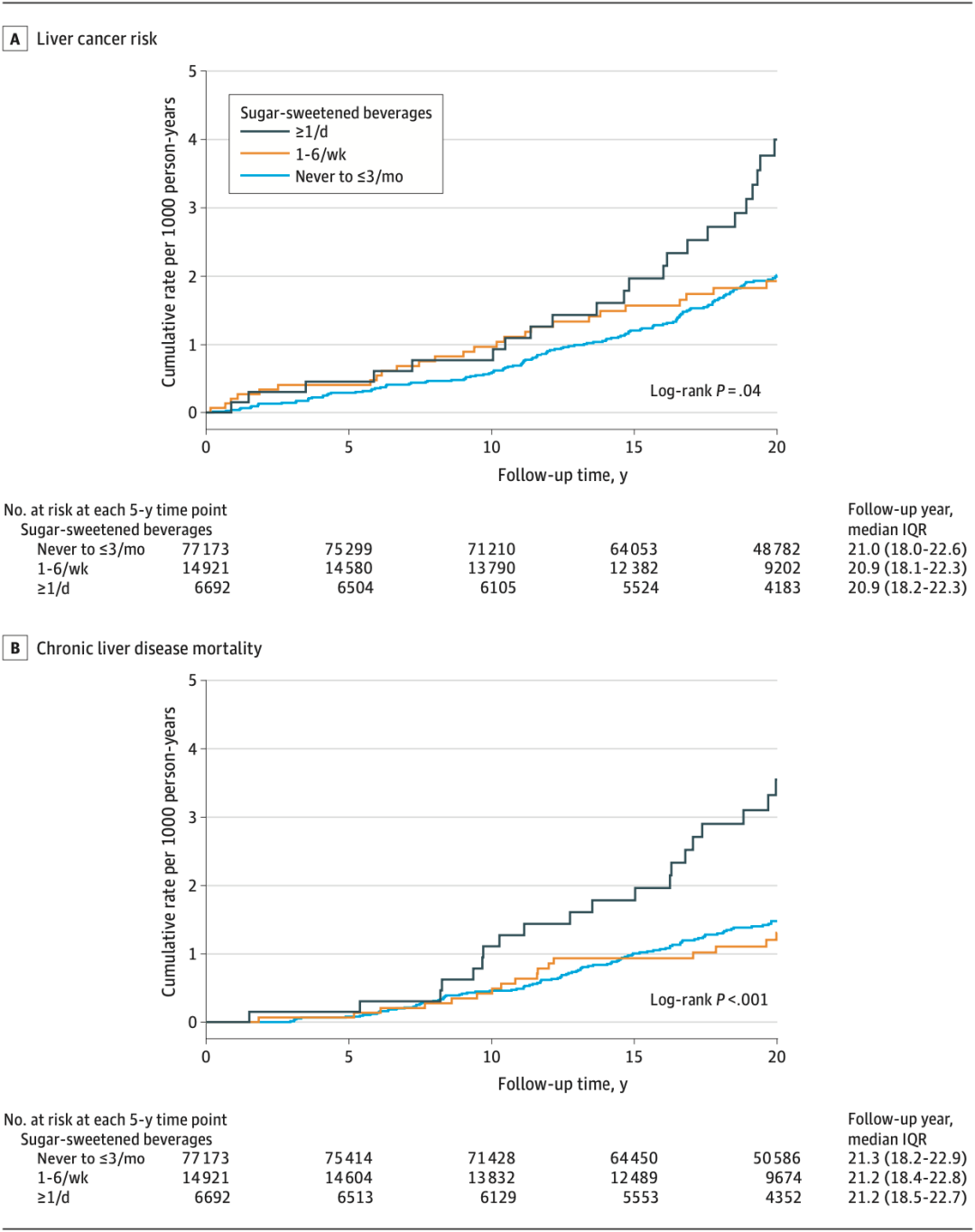
从上图可以看出,在98786名含糖饮料摄入者中,有77173人每月喝含糖饮料≤3份,14921人每周喝含糖饮料1-6份,6692人(6.8%)每天喝含糖饮料≥1份。在长达20.9年的中位随访时间里,含糖饮料摄入者中有207人被确诊新发肝癌,有148人因慢性肝病死亡(非酒精性脂肪肝、肝纤维化、肝硬化、酒精性肝病和慢性肝炎)。
具体来说,每天喝1份及以上含糖饮料的女性,肝癌发病率为每10万人年18例,慢性肝病死亡率为每10万人年17.7例;而每月喝3份及以下含糖饮料的女性,肝癌发病率为每10万人年10.3例(多变量调整HR,1.85;P=0.01),慢性肝病死亡率为每10万人年7.1例(多变量调整HR,1.68;P=0.04)。简单来说,每天喝1份及以上含糖饮料,与患肝癌风险增加85%,因慢性肝病死亡风险增加68%有关。

喝含糖饮料与肝癌(A)和因慢性肝病死亡(B)之间的关系
不过,在本研究中,张学宏团队没有发现摄入较多的人工甜味饮料与患肝癌风险和慢性肝病死亡率之间存在相关性。实际上,就在上个月,由于人工甜味剂阿斯巴甜对人类癌症(特别是肝细胞癌)证据有限,国际癌症研究机构等宣布阿斯巴甜为“可能对人类致癌的物质”(IARC 2B类)[4]。因此,张学宏团队的这一研究成果在一定程度上支持了国际癌症研究机构的结论。
在研究的最后,张学宏团队还分析了含糖饮料和人工甜味饮料与肝癌高风险因素HBV或HCV感染之间的关系,结果发现没有任何相关性。也就是说,含糖饮料增加肝癌风险与HBV或HCV感染无关。
总的来说,在绝经妇女这个群体中,与每月喝3份及以下含糖饮料的人相比,每天喝1份及以上含糖饮料的人患肝癌的概率更高,死于慢性肝病的概率也更高。至于背后的生物学机制,还需要更多的基础研究去探索。
需要指出的是,虽然本研究也发现人工甜味饮料与患肝癌和慢性肝病死亡率升高无关,但这并不意味着大家可以毫无节制地畅饮人工甜味饮料,因为近期有些重磅研究发现人工甜味剂摄入量高与心血管疾病发生风险增加[5]和2型糖尿病风险增加有关[6]。
所以啊,无论如何,为了健康,我们都应该尽可能地限制糖和人工甜味剂的摄入。
参考文献:
[1].Zhao L, Zhang X, Coday M, et al. Sugar-Sweetened and Artificially Sweetened Beverages and Risk of Liver Cancer and Chronic Liver Disease Mortality. JAMA. 2023;330(6):537-546. doi:10.1001/jama.2023.12618
[2].Stepien M, Duarte-Salles T, Fedirko V, et al. Consumption of soft drinks and juices and risk of liver and biliary tract cancers in a European cohort. Eur J Nutr. 2016;55(1):7-20. doi:10.1007/s00394-014-0818-5
[3].Jones GS, Graubard BI, Ramirez Y, et al. Sweetened beverage consumption and risk of liver cancer by diabetes status: A pooled analysis. Cancer Epidemiol. 2022;79:102201. doi:10.1016/j.canep.2022.102201
[4].https://www.who.int/news/item/14-07-2023-aspartame-hazard-and-risk-assessment-results-released
[5].Debras C, Chazelas E, Sellem L, et al. Artificial sweeteners and risk of cardiovascular diseases: results from the prospective NutriNet-Santé cohort. BMJ. 2022;378:e071204. Published 2022 Sep 7. doi:10.1136/bmj-2022-071204
[6].Debras C, Deschasaux-Tanguy M, Chazelas E, et al. Artificial Sweeteners and Risk of Type 2 Diabetes in the Prospective NutriNet-Santé Cohort [published online ahead of print, 2023 Jul 25]. Diabetes Care. 2023;dc230206. doi:10.2337/dc23-0206


本文作者丨BioTalker


