预分解窑煅烧中应重点监控哪些工艺参数?
(1)烧成带物料温度
通常用比色高温计测量,作为监控熟料烧成情况的标志之一。由于测量上的困难,往往测出的烧成带物料的温度,仅可作为综合判断的参考。
(2)氧化氮(NOx)浓度
NOx的形成是以存在O、N、H、OH等原子团为基础。回转窑中的NOx形成与 N2、O2浓度及燃烧温度有关。由于窑内N2几乎不存在消耗,故仅与O2浓度及烧成带温度有关,过剩空气系数大,O2浓度高及燃烧温度高,NOx生成量则多;在还原气氛中或燃烧温度较低,NOx浓度则下降。此外,NOx的生成同O2的混合方式、混合速度亦有关系。
窑系统中对NOx的测量,一方面是为了控制其含量,满足环保要求;另一方面,在窑系统生产情况及过剩空气系数大致固定的情况下,窑尾废气中的NOx浓度同烧成带火焰温度有密切关系,烧成带温度高,NOx浓度增加,反之降低,故以NOx浓度作为窑烧成带温度变化的一种控制标志,时间滞后较小,很有参考价值。故可以此连同其他参数,综合判断烧成带情况。
(3)窑转动力矩
由于煅烧温度较高的熟料,被窑壁带动得较高,因而其转动力矩比煅烧得较差的熟料高,故以此结合比色高温计对烧成带温度的测量结果,废气中NOx浓度等参数,可对烧成带物料煅烧情况进行综合判断。但是,由于窑内掉窑皮以及喂料量变化等原因,亦会影响窑转动力矩的测量值,因此,当转动力矩与比色高温计测量值、NOx浓度值发生逆向变化时,必须充分考虑掉窑皮等物料变化的影响,综合权衡,做出正确判断。
(4)窑尾气体温度
窑尾气体温度同烧成带煅烧温度一起表征窑内各带热力分布状况,同最上一级旋风筒出口气体温度(或连同分解炉出口气体温度)一起表征预热器(或含分解炉)系统的热力分布状况。同时,适当的窑尾温度对于窑系统物料的均匀加热及防止窑尾烟室、上升烟道及旋风筒因超温而发生粘结堵塞也十分重要。一般可根据需要,控制在900~1050℃之间。
(5)分解炉或最低一级旋风筒出口气体温度
在预分解窑系统中,分解炉出口或最低一级旋风筒出口气体温度,表征物料在分解炉内预分解状况,一般控制在850~880℃。控制在这个范围,可保证物料在分解炉或预热器系统内预烧状况的稳定,从而使全窑系统热工制度稳定,对防止分解炉及预热器系统的粘结堵塞十分重要。
(6)最上一级旋风筒出口气体温度
当设有五级预热器时,一般控制在320℃左右,四级预热器时一般控制在350℃左右。超温时,需要检查以下几种状况:生料喂料是否中断或减少;某级旋风筒或管道是否堵塞;燃料量与风量是否超过喂料量需要等。查明原因后,做出适当处理。当温度降低时,则应结合系统有无漏风及其它级旋风筒温度状况酌情处理。
(7)窑尾、分解炉出口或预热器出口气体成分
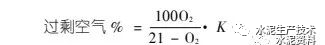
它们是通过设置在各相应部位的气体成分自动分析装置检测的,指示着窑内、分解炉内或整个系统的燃料燃烧及通风状况。对窑系统燃料燃烧的要求是,既不能使燃料在空气不足的情况下燃烧,而产生CO;又不能有过多的过剩空气,增大热耗。一般,窑尾烟气中O2含量控制在1.0% ~1.5%之间;分解炉出口烟气中O2含量控制在3.0%以下。关于O2含量和过剩空气量的百分数换算,在烟气中没有CO时,可用佩里、柴可顿和容克柏特里克公式算出:

式中:O2———烟气中O2的百分含量;
K———系数,烟煤取0.96,油取0.95,天然气取0.90。
当烟气中O2<1%时,通常烟气中含有微量CO,可取下式计算:

式中:O2———烟气中O2的百分含量;
N2———烟气中N2的百分含量;
CO———烟气中CO的百分含量。
预分解窑系统的通风状况,则是通过预热器主排风机及装在分解炉入口的二次风管上的调节风门闸板进行平衡和调节。当预热器主排风机转速及入口风门不变即总排风量不变时,关小分解炉入口三次风管上的风门闸板,即相应地减少了分解炉三次风供应量,增大了窑内的通风量;反之,则增大了分解炉内的三次风量,减少了窑内通风量。如果,三次风管道上的风门闸板的开启程度不变,而增大或减少预热器主排风机的通风量,则窑内及分解炉内的通风量都相应地增加或减少。由此可见,预热器主排风机主要是控制全窑系统的通风状况,而分解炉入口的三次风管上的风门,主要是调节窑与分解炉两者的通风比率。其调节依据,则是各相应部位的废气成分的分析结果。
在窑系统装设有电收尘器时,对分解炉或最低一级旋风筒出口及预热器出口(或电收尘器入口)的气体中的可燃气体(CO+H2)含量必须严加限制。因为含量过高,不仅表明窑系统燃料的不完全燃烧及热耗增大,更主要的是,在电收尘器内容易引起燃烧和爆炸。因此,当预热器出口或电收尘器入口气体中CO+H2含量超过0.2%时,则发生报警,达到允许极限 0.6%时,电收尘器高压电源自动跳闸,以防止爆炸事故,保证生产安全。
(8)最上一级及最低一级旋风筒出口负压
预热器各部位负压的测量,是为了监视各部阻力,以判断生料喂料是否正常、风机闸门是否开启、防爆风门是否关闭以及各部有无漏风或堵塞情况。当预热器最上一级旋风筒出口负压升高时,首先要检查旋风筒是否堵塞,如属正常,则结合气体分析确定排风是否过大,适当关小预热器主排风机闸门;当负压降低时,则检查喂料是否正常,防爆风门是否关闭,各级旋风筒是否漏风。如均属正常,则需结合气体分析确定排风是否足够,适当开大预热器主风机闸门。
一般来讲,当发生粘结、堵塞时,其粘结堵塞部位与预热器主排风机间的负压,是在氧含量保持正常情况下有所增高,而窑与粘结堵塞部位间的气流温度升高,粘结堵塞的旋风筒下部物料温度及下料口处的负压均有下降。由此可判断粘结堵塞部位,并加以清除。
由于各级旋风筒之间的负压互相关联、自然平衡,故一般只要重点监测预热器最上一级及最下一级旋风筒的出口负压即可了解预热器系统的情况。
(9)最下一、二级旋风筒锥体下部负压
它表征该两级旋风筒的工作状态,当该旋风筒发生粘结堵塞时,锥体下部负压下降,此时即需迅速采取措施加以消除。
(10)预热器主排风机出口管道负压
在窑系统与生料磨系统联合操作时,该处负压主要指示系统风量平衡情况。当该处负压较目标值增大或正压较目标值减小(视测量部位而规定目标值)时,应关小电收尘器的排风机闸门;反之,则开大闸门,以保持风量平衡。
(11)电收尘器入口气体温度
温度控制在规定范围,对保证电收尘器设备安全及防止气体冷凝结露十分重要。电收尘器一般装有自控装置,当入口气温达到最高允许值时,电收尘器的高压电源自动跳闸。在生料磨系统利用预热器废气作为烘干介质,窑、磨联合操作时,电收尘器入口气温有较大变化,如果预热器系统工作正常,则需检查生料磨系统及增湿塔出口气温状况。
(12)窑速及生料喂料量
在各种类型的水泥窑系统中,一般都装有与窑速同步的定量喂料装置,以保证窑内料层厚度的稳定。在预分解窑系统中,对生料喂料量与窑速的同步调节,则有两种不同的主张。一种认为同步喂料十分必要;另一种则认为,由于许多现代化技术装备的采用,基本上能够保证窑系统的稳定运转,因此在窑速稍有变动时,为了不影响预热器及分解炉的正常工作和防止调节控制的一系列变动,生料喂料量可不必随窑速的小范围调节而变动。而在窑速变化较大时,喂料量可用人工根据需要调节,所以不必装设同步调速装置。但是,不管哪一种主张,对窑系统生产有较大变动时,两者必须相应同步变动的观点都是一致的。因此,无论采取哪一种调节控制方式,都必须十分重视窑系统的均衡稳定生产问题。
(13)窑头负压
窑头负压表征着窑内通风及冷却机入窑二次风之间的平衡。在正常生产情况下,一般增加预热器主排风机风量,窑头负压增大,反之减小。而在预热器主排风机排风量及其他情况不变时,增大篦冷机冷却风机鼓风量,或关小篦冷机剩余空气排风机风门,都会导致窑头负压减小,甚至形成正压。正常生产中,窑头负压一般保持在-100~-50Pa,绝不允许窑头形成正压,否则窑内细粒熟料飞出,会使窑头密封圈磨损,也影响人身安全及环境卫生,对装设在窑头的比色高温计及电视摄像头等仪器仪表的正常工作及安全也很不利。因此,一般采用调节篦冷机剩余空气排风机风量的方法,控制窑头负压在规定范围之内。
(14)篦冷机一室下压力
一室下压力不仅指示篦冷机篦床阻力,亦可指示窑内烧成带温度变化。当烧成带温度下降,必然导致熟料结粒减小,使篦冷机一室料层阻力增大,在一室篦床速度不变时,一室篦床下压力必然增高。生产中,常以一室压力与篦床速度构成自动调节回路,当一室压力增高,篦床速度自动加快,以改善熟料冷却状况。
原文:林宗寿 《水泥“十万”个为什么⑥》
来源:水泥之窗公众号


