
为了成功实现烷基胺C(sp3)−H氧化羰基这类多相反应的工艺开发以及工业化放大,突破CO气液相传质阻碍,提升催化剂负载量值,英国剑桥大学Jacek Zakrzewski等人,采用连续流反应器,揭示传质和动力学之间的转变,并且在连续流反应中实现更多的条件优化(如温度、压力、接触时间、混合效率等),为氧化羰基化的工业化应用提供了可行的解决方案。
研究内容
作者在该研究中,为了更好的进行气液或固液反应,首先对反应机理进行了探讨,然后通过釜式反应对反应参数进行了优化,最后又进行了连续流工艺的转化。

图1. 脂族胺的β-C−H氧化羰基化生成β-内酰胺的研究
2.1 反应机理探讨
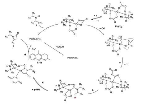
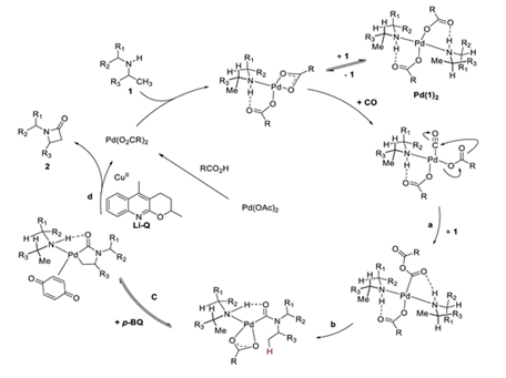
基于作者之前的研究,该反应过程的建议机理如图2所示。在产生具有催化活性的Pd(O2CR)2物质后,加入脂族胺和CO生成酸酐,如图2中的反应(a)所示。氨基甲酰化(b),然后通过添加p-BQ建立可逆C–H活化的中间体(c),还原消除(d)形成β-内酰胺,因为Pd通过涉及Cu(II)的非循环氧化还原过程再循环,从而重整活性Pd化合物。

图2.脂族胺形成β-内酰胺的机制 a)酸酐形成(b)氨基甲酰化(c)C–H活化和(d)还原消除。
2.2 釜式工艺研究
A. 动力学研究及溶剂选择
为了建立对过程的理解,作者应用了反应过程动力学分析方法,并研究了在升高的CO压力下的釜式反应。

图3. 反应进行动力学分析的结果
(a)中的起始材料:N-环己基-异丙胺,(b)中的催化剂:Pd(OAc)2
作者对起始材料的浓度、反应温度、压力、催化剂浓度作了详细研究,结果如图3所示。
使用gPROMS Model Builder 4.0.0对观察到的反应速率的活化能进行估计,得出的值非常低,为5 kJ •mol–1。结合几种反应物种对反应速率的明显零级影响,这表明反应缺乏一种反应物。CO分压对观察到的反应速率的正相关性很可能意味着限制因素是CO进入液相的速率。
所以,作者选择了一些溶剂以增加CO进入液相的速率。

表1. 反应溶剂的选择
B. 釜式工艺条件优化
为了验证作者的假设,实验用一种更便宜环保的胺衍生配体吡啶取代了昂贵的锂喹啉。尽管使用了这种更通用的配体,但与标准条件相比,作者获得了更好的结果。

表2. 釜式优化的选定结果
2.3 连续流工艺的研究
A. 反应器选择
作者基于之前的经验,采用铜管式连续流反应器CuTFR(a copper-tube-flow reactor )代替最初的铜线反应器,研究三相(固-液-气)的工艺开发,并且观察到使用CuTFR可显着提高反应的稳定性并增加的反应速率。

表3. 反应器选择
Cu氧化层通过气相中存在的氧气发生原位再生,并在连续运行实验时,可至少稳定8小时。在该连续流工艺开发中,作者使用甲苯代替EtOAc,以保证在反应停留时间内,铜损失的显着减少。
B. 反应底物拓展
在设计了这个连续流反应系统后,作者决定尝试一个选定的化合物范围作为反应底物(作者参考了Guant 等设计的釜式底物的反应结果。

图4. 流程中选定的基板范围,以及分离化合物的产率
其中所有尝试的底物,其在新的连续流反应体系的转化率与最初的釜式结果相比要更好、更有优势,并且将间歇工艺中的钯使用量降低到0.2mol%。
C. 其他类型的底物的拓展
作者继续使用CuTFR,研究了其他类型的底物在该反应器中的实验效果,如图 5 所示,其反应过程运行良好:

图5. 其他类型的底物的拓展
Figure 5-b, 仲胺羰基化为相应尿素的反应,该反应停留时间只需要5min,反应产率达到95%,几乎不需要进一步优化,收率稳定;
Figure 5-c,N-烯丙胺用于合成β-内酰胺的氧化羰基化在略微调整的条件下使用三环己基膦(PCy3)和新戊酸(PivOH)停留60分钟,产率52%;
Figure 5-d使用相同的CTFR连续流工艺成功证明了可以由苯甲酸的C(sp2)-H经羧基化反应得到邻苯二甲酸。
从实验结果看,这些差别巨大的反应底物在CuTFR的连续流体系中均表现良好。
研究小结
作者从釜式反应到将铜线应用于普通管式反应器,再到使用CuTFR的连续流反应器,一步步将原位生成的Cu(II)的方式变得更加便捷,显着增加了气液相之间的传质;
多种不同的底物拓展实验,均取得了很好的实验效果,该方式可以为其他需要金属催化氧化的反应提供很好的研究思路;
作者的研究为仲胺的β-C−H氧化羰基化提供非常有竞争力的工艺选择,可以将间歇工艺中的钯使用量降低到0.2mol%;
由于铜管式反应器可以很容易地被铜质的静态混合器取代,所以该连续流工艺可以很容易地被扩展到非均相的铜催化的氧化反应,这将为一些难以放大的氧化羰基化反应提供解决方案。
————————————————



