




微型无线电化学工作站!wifi传输!开源制作!!可运行恒电位、CV、LSV、DPV等多种电化学程序!!超高性价比!!
一口价,合适就拍!!提供PCB工程文件、源码(需要有一定电路和软件基础)!!
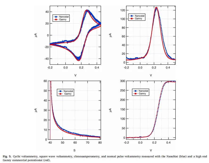
觉得不合适,也可以尝试自己做和改进,我参考的是下面这篇文献:Lee S C H, Burke P J. NanoStat: An open source, fully wireless potentiostat[J].1 Electrochimica Acta, 2022, 422: 140481.
一口价,合适就拍!!提供PCB工程文件、源码(需要有一定电路和软件基础)!!
觉得不合适,也可以尝试自己做和改进,我参考的是下面这篇文献:Lee S C H, Burke P J. NanoStat: An open source, fully wireless potentiostat[J].1 Electrochimica Acta, 2022, 422: 140481.


