




?代做:外包绿色建筑模拟报告书、绿色建筑专项报告(国标地标都可)、可再-生能源报告、碳排放报告、绿色建筑设计咨询等
业务范围:建筑节能、隔热、能耗模拟、碳排放、采光、日照、室外风、室内风、热环境、室内热舒适、声环境、空气质量等等
价格实惠!
?软件为P.KPM、斯维尔、DIALUX等
?碳排放报告;
?可再.生能源报告;
?绿建专项报告,绿建专篇:
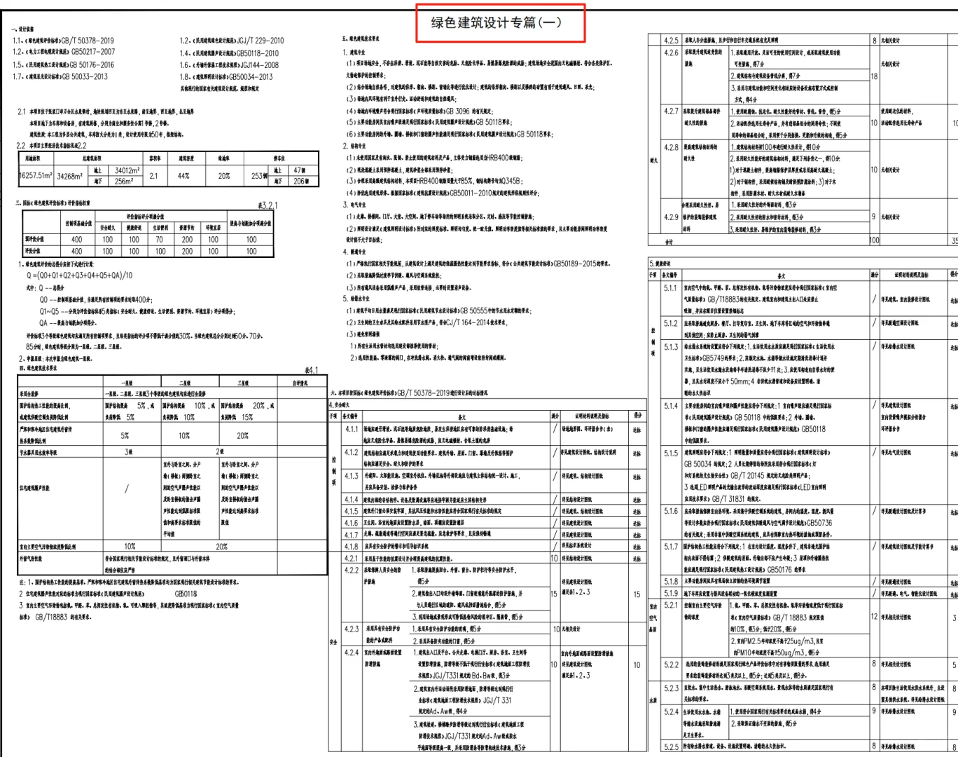
5.1.1室内污染物浓度预评估分析报告
5.1.4、5.2.6室内背景噪声计算分析报告
5.1.4、5.2.7室内构件隔声性能分析报告
5.2.8动态采光模拟计算书
5.2.10室内自然通风模拟分析报告
5.2.9室内热湿环境(PMV-PPD)达标比例计算报告
5.2.11可调节遮阳比例计算书
7.1.7水资源利用方案
7.2.4建筑供暖空调负荷降.低比例计算书
7.2.9可再.生能源利用分析报告
7.2.13非传统水源利用报告
7.2.15高.强.钢筋比例计算书
7.2.17可再循.环.利用材料比例计算书
?绿建申报其他资料;
#绿色建筑 #分析图 #grasshopper #建筑设计 #碳达峰碳中和 #绿色建筑设计 #建筑节能 #建筑风光声热 #建筑碳排放 #建筑碳排放 #绿色建筑等级 #碳排放 #接单
业务范围:建筑节能、隔热、能耗模拟、碳排放、采光、日照、室外风、室内风、热环境、室内热舒适、声环境、空气质量等等
价格实惠!
?软件为P.KPM、斯维尔、DIALUX等
?碳排放报告;
?可再.生能源报告;
?绿建专项报告,绿建专篇:
5.1.1室内污染物浓度预评估分析报告
5.1.4、5.2.6室内背景噪声计算分析报告
5.1.4、5.2.7室内构件隔声性能分析报告
5.2.8动态采光模拟计算书
5.2.10室内自然通风模拟分析报告
5.2.9室内热湿环境(PMV-PPD)达标比例计算报告
5.2.11可调节遮阳比例计算书
7.1.7水资源利用方案
7.2.4建筑供暖空调负荷降.低比例计算书
7.2.9可再.生能源利用分析报告
7.2.13非传统水源利用报告
7.2.15高.强.钢筋比例计算书
7.2.17可再循.环.利用材料比例计算书
?绿建申报其他资料;
#绿色建筑 #分析图 #grasshopper #建筑设计 #碳达峰碳中和 #绿色建筑设计 #建筑节能 #建筑风光声热 #建筑碳排放 #建筑碳排放 #绿色建筑等级 #碳排放 #接单


