
第一节 概述
1. 主题内容与适用范围
主题内容:本节规定了本特利机械状态监测系统正常操作、日常维护和系统检修的内容。
适用范围:适用于本特利公司3500系列机械监测系统。
2. 系统概况
3500系统提供连续、在线监测功能,应用于多种行业的旋转和往复机械,尤其适用于对可靠性和可用性要求极高的自动停机机械保护系统,并完全符合美国石油协会API670标准对该类系统的要求。它是 BentlyNevada 采用传统框架形式的系统中功能最强、最灵活的系统,具有其它系统所不具备的多种性能和先进功能。
第二节 3500系列系统
1.BentlyNevada 3500系列系统硬件主要包括以下型号的卡件:

• 3500/05仪表框架
• 3500/15 交流电源
• 3500/20 框架接口模块
• 3500/22M 瞬态数据接口
• 3500/25键相器模块
• 3500/32 4通道继电器模块
• 3500/33 16通道继电器模块
• 3500/34三重冗余继电器模块
• 3500/40M 位移监测器模块
• 3500/42M 位移/速度加速度监测器模块
• 3500/45差胀/轴向位置监测器
• 3500/50 转速模块
• 3500/53 电子超速检测系统
• 3500/60 和 3500/61 温度监测器
• 3500/92通讯网关模块
• 3500/93、3500/94或3500/95显示装置或运行于兼容PC机上的3500操作者显示软件
• 内部或外部本质安全栅,或用于危险地区安装的电绝缘装置。
1.1 3500/05仪表框架
全尺寸3500框架可采用19” EIA导轨安装、面板安装或壁板安装形式。框架最左端是专为两个电源模块和一个框架接口模块预留的位置,框架中的其余14个插槽可以被监测器、显示模块、继电器模块、键相器模块和通讯网关模块的任意组合所占用。所有模块插入到框架的底板中,由前面板部分和框架后部相应的I/O模块组成。永久连线也在框架后部完成。
1-1 面板安装形式 1-2 壁板安装


1.2 3500/15电源
3500/15有交流和直流两种形式,与世界各地电压源兼容。框架中可使用单电源或使用冗余双电源。它们分别位于框架最左端插槽的上部和下部。冗余电源可以采用不同的电压源供电,如主电源由120Vac电源供电,而备份电源由不间断24Vdc电源供电。每个电源可以单独为整个框架及其模块供电。当采用冗余电源形式时,一个作为框架的主电源,另外一个作为备份,当主电源发生故障时,备份电源立即自动行使主电源模块功能,避免框架运行发生中断。
3500/15电源模块具有自检功能,可以监测是否所有的输出电压符合规范,并通过电源模块前面板上的绿色 “Supply OK”发光二极管(LED)显示出来。
电源模块LED灯的作用叙述如下:

1-3 电源模块
Supply OK:表明电源模块已被安装或电源模块从NOT OK的状态变到了OK状态。
1.3 3500/20框架接口模块
框架接口模块 (RIM) 是3500框架与组态、显示和状态监测软件连接的主要接口。每个框架要求有一个RIM,安装在与电源模块紧邻的框架插槽中。RIM支持专有协议,该协议使用3500组态软件1对框架进行组态,并提取框架数据和状态信息用于3500操作者显示软件。当Bently Nevada状态监测软件与3500系统配合使用时,RIM还通过我们专有的数据管理者® 协议连接到相应的外部通讯处理器,如TDXnet™、TDIX或DDIX等。RIM必须位于紧邻电源的框架插槽中。
RIM中包含系统OK继电器2 ,由RIM自身以及框架中其它模块的NOT OK状态触发。RIM为其本身提供“自检”功能,同时,除了各个独立的监测器、继电器、通讯以及其它模块提供的监测功能以外,它也为框架提供“自检”功能。虽然RIM为整个框架提供一定的通用功能,但它并不是关键监测通道的组成部分,不影响整个3500系统的正确和正常运行或其机械保护功能。RIM有四个前面板LED,如表1-4所示:
OK | 指示框架接口模块及其I/O模块正常 |
TX/RX | 当RIM与其他模块通讯时闪亮 |
TM | 指示框架处于联锁倍增模式 |
CONFIG OK | 机架组态正确 |
1-4 RIM面板LED
系统组态除两级软件密码保护外,还受RIM前面板上钥匙锁的控制,以防止未授权的修改或随意改动。RIM可以通过前面板上的串行通讯端口与便携式计算机连接,现场修改组态。也可通过后面板上的串行通讯端口永久连接到组态工作站上,或通过可选的安装在RIM中的调制解调器与远程计算机相连。RIM提供前面板DIP开关,当多个3500框架通过网络互联时,可以赋予其唯一地址。RIM前面板上具有一个系统复位开关。可以清除系统中任何闭锁的报警以及闭锁的NOT OK状态。RIM的后面板上还提供一套接口,允许远程激活复位开关。

1-5 框架接口模块
1.4 3500/22M瞬态数据接口(TDI)
3500瞬态数据接口(TDI)是3500监测系统和Bently NevadaSystem 1™ 机械管理软件之间的接口。TDI结合了3500/20框架接口模块(RIM)和通讯处理器,如TDXnet的功能。TDI只占用框架中的一个槽位,必须位于第一个插槽中(紧邻电源模块)。与20模块相比,它的主要优点是可以采集并储存瞬态数据,22M模块可以完全取代20模块。

1-6 TDI模块
TDI模块LED灯的作用叙述如下:
OK:灯亮时表明TDI模块以及卡槽中的I/O模块被正确操作并且功能正常;
TX/RX:闪烁时表明系统正在发射和接收数据;
TM:亮时表明机架处在联锁倍增模式;
CONFIG OK:机架组态正确。
5. 监测器模块
3500系统中可用的监测器类型见表1-7,每个监测器占用框架中的一个插槽。
监测器类型 | 通道类型 | 通道数量 |
3500/40M | 径向振动、轴向位移、偏心、胀差 | 4 |
3500/42M | 除与3500/40M相同的通道以外,还具有下列通道类型:加速度、速度、增强型加速度、增强型速度、圆形可接受区、绝对振动 | 4 |
3500/45 | 轴向位移、差胀、标准单斜面差胀、非标准单斜面差胀、双斜面差胀、补偿式差胀、壳胀、阀门位置 | 4 |
3500/50 | 标准转速计、转子加速度转速计、零转速转速计 | 2 |
3500/53 | 超速转速计 | 1 |
3500/60,61 | 温度、温差 | 6 |
1-7 监测器模块
1.6 继电器模块
3500/32继电器模块提供四个DPDT(双刀双掷)继电器,组态后可以根据3500监测器模块内的报警状态触发。组态软件允许对各种报警组合编程,范围从单个通道的警告或危险状态到将两个或多个通道状态结合起来提供特定的AND(与)或OR(或)表决的复杂的布尔逻辑。通过增加继电器模块的数量,可以提供每个通道的独立触点、报警类型和通道组的全球报警通知功能。
3500/34 TMR继电器模块与专门的TMR框架接口模块以及三个监测器模块共同工作,为输入信号提供3选2表决。继电器可以编程为常开或常闭运行。框架中除任何报警继电器之外,还提供一个通用系统OK继电器2 。该继电器位于RIM中,连接到框架所有模块的O电路上。这些电路监测每个模块的运行状态。当模块及其传感器或相关的传感器现场连线发生任何故障时,OK继电器将发出通知,它是单极双掷 (SPDT)类型,通常带电,当主电源发生故障时提供附加通知功能。

1-8 通道继电器模块

1-9 三重冗余继电器模块
1.7 键相器(Keyphasor)输入模块
通常在一个框架中安装两个3500/25 Keyphasor模块,3500系统每个框架最多可包含四个Keyphasor®传感器。3500/25是半高模块,每个模块为最多两个Keyphasor® 传感器提供电源和端子。当需要安装少于两个的Keyphasor® 传感器时,只需安装一个3500/25模块。来自3500/25的Keyphasor® 信号可以通过3500框架底板输入到适当的监测器模块中,用于转速、相位、跟踪滤波以及其它测量中。

1-10 键相器模块
1.8 3500/92通讯网关
通过在框架中安装通讯网关模块,选定的状态和电流值数据能以数字化方式传输到过程控制系统、历史数据系统、工厂计算机以及其它相关系统中。通讯网关模块支持多种工业标准协议,当在同一系统中要求冗余通讯或同时与多个系统采用不同协议进行通讯时,可在框架中安装多个通讯网关模块。该模块不干预3500系统的正常运行或机械保护功能,确保监测系统即使在不太可能发生的通讯网关模块失效时也能保持完整性。通讯网关支持以太网和串行通讯方式,允许多种有线和无线拓扑结构。通讯是双向的,允许选定的数据传输到3500系统或从3500系统中提取。此外,当通讯网关模块与过程控制或其它系统通过以太网连接时,运行3500组态软件和/或3500操作者显示软件的多个计算机可以连接在同一个网络中,不再需要这一软件与RIM之间的独立连接。

1-11 通讯网关
2. 3500系统特点
2.1 防修改设计
3500的组态修改具有两级密码和钥匙锁保护,除授权人员外,其他人无法调整、修改或组态系统,我们要求用专用的笔记本进行组态,这样可以更容易地记录和控制修改管理,对3500所进行的组态修改还将保留在系统事件列表中。
2.2 报警/事件列表
3500通过“先出”功能简单识别框架中发生的第一个报警,强大的报警和事件列表包含最近的1000个报警和400个系统事件(组态修改、错误等)。列表保存在系统的RIM中,提供报警或事件描述以及相应的日期/时间标记。这些列表可以通过3500显示装置和3500操作者显示软件查看,或通过通讯网关模块输出到过程控制、历史数据或其它工厂系统中。
2.3 时间同步
系统的实时时钟可以通过通讯网关或所连接的 BentlyNevada 软件与外部时钟同步。3500的报警和事件列表提供的时间/日期标记从而能够与其它过程和自动化设备中的报警和事件同步,从而减少或消除了复杂的硬连线“事件顺序”记录仪的需要。
2.4 热插拔
所有的模块和电源(当使用冗余电源时)可以在带电情况下在框架中插拔,使维护和系统扩展更方便,不需要中断机械保护功能或系统运行。
3. 3500软件
3.1 3500机械保护系统软件包
1)框架组态软件:用于组态所有的3500模块。
2)数据采集/DDE(动态数据交换)服务器软件:用于采集和保存来自3500系统的静态数据。DDE服务器具有数据输出功能,用于与第三方软件集成,如工厂历史数据、过程控制系统以及人机接口等。
3)操作者显示软件:用于显示3500数据采集软件采集的信息。
所有的3500软件都是基于微软Windows®系统。
3.2 简单组态步骤
第一步,安装3500组态软件,安装好之后选择“Rack Configuration Software”,双击打开,会弹出如图3-1所示的面板,根据实际硬件配置对框架进行组态,如图3-2所示。

3-1 组态面板

3-2 配置后的面板
第二步,机架的整个卡件配置好之后,对每个机架进行详细组态,如图3-3所示。

3-3 电源模块组态面板
如图3-3所示,“Power Supply Option”一栏中所选的电压等级要与实际硬件相匹配。

3-4 TDI模块组态面板
图3-4所示为TDI模块的详细组态,“I/O Option”的配置要与实际硬件匹配,而IP地址就是与主机进行通讯时所用的IP,与计算机的IP对应。
图3-5所示为42M模块的组态,详细的组态需要与实际配置相匹配,如设置主通道与备用通道、此模块是轴向位移还是径向振动等都需要与硬件匹配。

3-5 42M组态面板
待42M的基本硬件组态完成之后,就可以对相应的径向振动或是轴向位移的报警值进行设定,如图3-6所示。

3-6 设定值设置面板

3-7 键相器模块组态面板

3-8 温度模块组态面板

3-9 温度报警值的设定

3-10 92M组态面板
待机架上所有的模块均组态结束,检查无误并保存之后就可将组态内容下装到机架中,下装结束后,点击工具栏中的“Connect”按钮,使组态程序与机架进行通讯。
第三节 3300XL 8mm电涡流传感器系统
1. 概述
1.1 传感器系统
3300XL 8mm电涡流传感器系统由以下几部分组成:
3300XL 8mm探头、3300XL延伸电缆、3300XL前置器。系统输出正比于探头端部与被测导体表面之间的距离的电压信号,它既能进行位移测量,又能进行振动测量,主要用于油膜轴承机械的振动和位移测量,以及键相位和转速测量。
1.2 前置器
3300XL前置器既可以采用紧凑的导轨安装,也可以采用传统的面板安装,两种形式的安装基板均具有电绝缘性,不需要独立的绝缘板。3300XL前置器抗无线电干扰能力强,即使安装在玻璃纤维防护罩中,也不会受到附近无线电信号的干扰。
1.3 探头与前置器技术规格
在没有另外注明时,以下关于3300XL 8mm前置器、延伸电缆和探头的技术规格是在以下条件下得到的:温度,+18摄氏度 至+27摄氏度之间,-24VDC电源供电,10KW负载,探头间隙为1.2mm(50mils)。上述技术特性完全适用于3300XL 8mm部件组成的系统。
l前置器的输入:接收非接触式3300系列5mm、8mm或3300XL 8mm电涡流探头和延伸电缆的信号;
l电源:无安全栅时的要求在-17.5VDC至-26VDC,在高于-23.5VDC电压下工作时将导致线性范围减小;
l供电电压灵敏度:当输入供电电压每变化1伏时,输出电压的变化小于2mv;
l输出阻抗:50欧姆;延伸电缆电容:典型值69.9PF/m;
l现场联线:0.2至1.5平方的线(有金属环时线径应为0.2至0.75平),从前置器到监测器的最大长度为305米,使用更长联线时会有信号衰减;
l推荐间隙设定值:50mils;
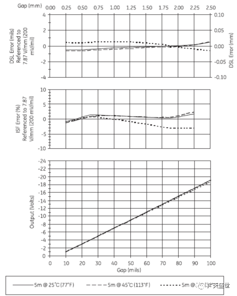
l标准5m系统在大温度范围内的性能:当探头温度范围在-35℃至+120℃,前置器和延伸电缆温度范围在0℃至+45℃时,ISF(递增的灵敏度)保持在7.87V/mm±10%之内,DSL(线性偏差)保持在±3mils范围内。当前置器和延伸电缆温度范围在-35℃至+65℃,探头温度范围在0℃至+45℃时,ISF保持在7.87V/mm±10%之内,DSL保持在±3mils范围内;
l标准9m系统在大温度范围内的性能:当探头温度范围在-35℃至+120℃,前置器和延伸电缆温度范围在0℃至+45℃时,ISF(递增的灵敏度)保持在7.87V/mm±18%之内,DSL(线性偏差)保持在±6mils范围内。当前置器和延伸电缆温度范围在-35℃至+65℃,探头温度范围在0℃至+45℃时,ISF保持在7.87V/mm±18%之内,DSL保持在±6mils范围内。

1-1 典型3300XL 8mm 5m系统在API670测试范围内的性能曲线

1-2 典型3300XL 8mm 9m系统在API670测试范围内的性能曲线
2. 本特利电涡流振动、位移探头的校验与安装
电涡流是金属块在由电流产生的磁场中发生相对运动,会内部产生感应电动势,从而在金属体内部产生的电流。电涡流探头是依据此原理为基础构成的。
本指导书以本特利3300XL 8mm系列电涡流振动探头的安装方法及要求为例,其他同类仪表参考使用。
2.1 传感器系统组成及特点
l3300XL 8mm探头
l3300XL 延伸电缆
l3300XL 前置器
3300XL 8mm传感器系统的每一个组件都是向后兼容的,并且探头、延伸电缆和前置器具有完全客户换性,不需要单独的匹配或工作台校验。
2.2 探头校验
2.2.1 准备工作
l探头、英制球头内六角扳手一套、4”活动扳手一把、8”活动扳手一把,FLUKE万用表一块,TK3-E一台,接线图纸。
l办理检修作业票、临时用电票,履行签字手续,确认机组停车,盘车停运。


2-2-1 探头校验工具
2.2.2 探头的校验
l观察探头顶部PPS封装头处有无损坏情况。
l针对于振动探头可直接进行校验,但针对于位移探头,必须首先在机柜间内用电缆连接工程师站笔记本和本特利机架,对相关探头的安装方向及间隙电压零点组态进行检查,如下图所示。
注1:机组从驱动端向非驱动端为正方向,例如选择Toward Probe,意味着探头面向驱动端安装,即探头安装方向与规定正方向相反,具体参数设置如图2-2。
注2:位移探头零点间隙电压统一设置为-9.75VDV,如图2-3。

2-2-2 位移探头安装方向设定

2-2-3 位移探头零点间隙电压设定
2.2.2.1 探头静态校验
l校验回路如图2-4,针对于振动探头,需将探头顶部紧贴靶面固定,记录千分尺原始刻度,调整间距手柄,使得靶面和探头之间的间距发生变化,每间隔0.25mm记录一组间距与间隙电压的数据。

2-2-4 振动探头静态效验连接回路
l而针对于位移探头的校验,需将探头顶部对准靶面中心固定,并将间隙电压调整为-9.75V,观察工程师站上位中位移探头测量值是否约为0mm,记录千分尺原始刻度,调整间距手柄,使得靶面和探头之间的间距发生变化,每间隔0.25mm记录一组间距与间隙电压的数据及工程师站上位显示的位移量。
l填写校验记录。

2-2-5 振动探头静态校验记录
2.2.2.2 探头动态校验
l临电接通后,将探头固定在TK3-e的转盘中,调整间隙电压在-10VDC左右。

2-2-6 探头动态校验安装
l接通TK-3E电源后,此时圆盘已开始缓慢转动,适当调整圆盘转速。

2-2-7 探头动态校验
l缓慢向外侧缓慢拨动探头固定架,同时观察工程师站上位示值是否呈线性变化。

2-2-8 探头动态校验
l经上述测试,若确认探头合格,方可进行探头安装;若不合格,则需更换探头重新进行测试。
2.3 探头安装
l安装方向确认。
以煤化工公司机组设备探头为例,其安装方向设定为沿设备驱动端向非驱动端方向,左侧为Y探头,右侧为X探头。

2-3-1 探头安装方向示意
l将探头、延伸电缆镀金接头用有机溶剂清洗,探头外部螺纹处涂抹密封胶后,将其紧固在套管顶部。

2-3-2 探头外部处理
l探头套管的安装、紧固。
因本项目振动探头固定方式有多种,此处仅列举以下两例进行介绍,其他同类探头安装可参考使用。
探头实际安装位置的确定:
在机组实际检修完成后,设备人员对轴的总窜量进行确认,并将轴置于固定位置,此时有以下三种可能情形,示意图见2-3-3。
a. 轴处于驱动端侧
此时安装探头就需通过计算(探头精度为7.87v/mm),例如某一设备经过检修人员确认,轴的窜量0.30mm,而此时轴相对于探头来说在最远端,即此时轴移动了0.15mm,计算方法如下:
7.87+7.87*0.15=9.05V,-9.05V即为此时探头安装的间隙电压。
探头安装完成后,工程师站上位中位移量也应显示为﹢0.15mm左右。
b. 轴处于非驱动端侧
同上,通过计算得到间隙电压值,按上面的实例,此时探头安装到位后工程师站上位应该显示-0.15mm左右。
c. 轴处于机械中点位置
此时探头安装的间隙电压为-9.75V,安装到位后,工程师站上位应显示位移量为0.0mm。

2-3-3 轴相对于原安装位置不同情形下探头的安装示意
1)夹套固定式套管
a. 如图2-3-4,安装时需先松开紧固卡侧面的六角螺丝,使卡子可以在套管上随意移动。

2-3-5 探头固定卡子安装及示意图
b. 将套管缓慢插入安装孔,同时观察万用表测量的间隙电压读数,避免探头顶端与轴面碰撞。使用扳手轻敲接线盒顶部,用来微调间隙电压,并最终使间隙电压稳定在-9.75V±左右后,分别将内六角螺丝、安装螺丝紧固。

2-3-6 探头固定
c. 探头套管固定后,将接线盒内探头尾线与延伸电缆接头处用四氟带包裹后用电气绝缘胶带密封,密封完毕后,紧固接线盒,检查前置器接线紧固后,打扫现场。

2-3-7 探头与延伸电缆连接
2)螺纹螺帽固定式
a. 如下图,先用游标卡尺测量安装孔深度,并在将图36所示类型探头螺纹上按孔深做好标记后缓慢旋入安装孔,同时延旋转方向轩探头尾线以避免损伤。当旋至标记处附近时,将传感器系统连接好,避免探头顶端与轴面碰撞,同时用万用表测量的间隙电压读数,微调探头安装深度,并最终使间隙电压稳定在-9.75V±左右后,将螺帽紧固。
b. 连接并密封、紧固接线盒,清理工作现场。

2-3-8 螺纹螺帽固定式安装
3. 故障类型及处理方法
3.1 系统侧故障
3.1.1 电源故障及处理方法
如果电源模块的Supply OK灯灭,则说明电源模块或是供电系统发生故障,则检查以下四点:
1)确保背板的电源输入模块的输入电压正确;
2)确保已安装的电源模块与电源输入模块相匹配;
3)检查电源输入模块上的保险是否已经熔断,如果熔断则更换保险。保险的熔断可能下述两方面原因造成的:
a. 输入电压大于电源输入模块的额定电压;
b. 电源模块的内部出现了故障。
4)如果上述1-3步均不能解决问题,则更换一块新的电源模块,这时如果Supply OK灯亮,则原来的电源模块已坏;如果问题仍旧存在,则可能是电源输入模块损坏,请联系本特利公司。
3.1.2 接口模块(RIM)故障及处理方法
如果RIM模块的OK灯亮,则表明模块的一切功能正常,如果是NOT OK的状态,则可能是以下原因所造成的:
1)模块存在硬件故障;
2)与其他模块的通讯存在故障;
3)在RIM模块运行的时候机架的地址被改变;
4)有模块插入或从机架移除;
5)钥匙开关从“RUN”状态打到“PROGRAM MODE”;
6)节点电压失败;
7)继电器的自检失败。
从接口模块上LED灯的状态可以判断和解决一些故障,如下边表格所示:

3-1-1 OK灯的状态
OK灯 | TX/RX | 问题 | 解决方法 |
1HZ | 1HZ | RIM模块未被组态或模块处在组态模式 | 对RIM模块重新进行组态 |
5HZ | RIM模块监测到内部错误 | 检查事件记录 | |
ON | 闪烁 | RIM模块正常 | 不需要 |
不闪烁 | RIM模块未被正常操作 | 检查事件记录 |
3-1-2 OK灯的状态

3-1-3 TM灯的状态
CONFIG OK灯 | 问题 | 解决方法 |
亮 | 对每个机架的组态均正确 | 无 |
5HZ | 所有的机架中有机架处在安全模式 | 检查事件记录,按下复位键消除以往的报警记录 |
灭 | 至少有一个机架组态错误;机架中有未被组态的电源模块。 | 检查事件记录确定哪个模块需要重新组态,重新组态时OK、TX/RX灯以1S的频率闪烁;移除电源模块或修改RIM的组态以包括新增的电源模块。 |
3-1-4A CONFIG OK 灯的状态

3-1-4B CONFIG OK 灯的状态
3.1.3 键相器模块常见故障及处理方法
键相器模块的正面有两个LED灯,分别是OK和TX/RX,下表给出了两个LED的状态以及在故障状态下的处理方法,其中包含了“OK”LED在常亮、常灭、闪烁、以1HZ的频率闪烁、以5HZ的频率闪烁的五种状态,以及“TX/RX”LED在常亮、常灭、以1HZ的频率闪烁的三种状态。

3-1-5A 键相器模块中LED的状态
OK灯 | TX/RX灯 | 表明的状态 | 解决方法 |
亮 | 闪烁 | 键相器模块正常 | 无 |
1HZ | 1HZ | 键相器模块未被组态 | 重新组态 |
5HZ | 键相器模块检查到一个内部错误 | 检查事件记录 | |
灭 | 键相器模块未被正确操作或键相器传感器存在故障 | 检查事件记录和报警记录 | |
不闪烁 | 键相器模块通讯错误 | 检查系统事件记录 |
3-1-5B 键相器模块中LED的状态
3.1.4 通道继电器模块常见故障及处理方法
下表给出了如何利用LED灯的状态来判断以及处理4通道继电器的故障:

3-1-6A 4通道继电器模块“OK”、“TX/RX”灯的状态
OK灯 | TX/RX | 问题 | 解决方法 |
1HZ | 继电器模块未被组态 | 重新组态 | |
5HZ | 继电器模块或继电器I/O模块检测到内部错误 | 检查事件记录 | |
亮 | 闪烁 | 继电器模块以及继电器I/O模块操作正确 | 无 |
灭 | 继电器模块未被正确操作 | 更换继电器模块 | |
不闪烁 | 继电器模块通讯不正确或与其他模块通讯不正确 | 检查事件记录 |
3-1-6B 4通道继电器模块“OK”、“TX/RX”灯的状态

3-1-7 “ALARM”灯不同状态代表的信息
3.1.5 16通道继电器模块常见故障及处理方法
表3-1-8及表3-1-9给出了16通道继电器模块常见故障及其处理方法:
3-1-8A 16通道继电器模块“OK”、“TX/RX”灯的状态
OK灯 | TX/RX | 问题 | 解决方法 |
1HZ | 1HZ | 继电器模块未被组态 | 重新组态 |
5HZ | 继电器模块或继电器输出模块检测到内部错误 | 检查系统事件记录 | |
亮 | 闪烁 | 继电器模块以及继电器输出模块被正确操作 | 无 |
灭 | 继电器模块未被正确操作 | 更换模块 | |
不闪烁 | 继电器模块通讯不正常或与其他监测器通讯不正常 | 检查系统事件记录或将报警逻辑组态到至少一个有效的继电器通道内 |
3-1-8B 16通道继电器模块“OK”、“TX/RX”灯的状态

3-1-9A 16通道继电器模块“ALARM”灯的状态
报警灯 | 问题 | 解决方法 |
亮 | 通道处在报警状态 | 无 |
灭 | 通道未处在报警状态 | 无 |
所有LED灯均闪烁(3秒中闪5下) | 固件下装失败(可恢复的错误) | 重新下装 |
所有LED灯均闪烁(5秒中闪5下) | 固件下装失败(不可恢复的错误) | 更换坏的固件 |
3-1-9B 16通道继电器模块“ALARM”灯的状态
3.2 传感器常见故障及其处理方法
3.2.1 故障情况一

可能的原因:电源故障,接线故障,传感器故障。

3-2-1 电源故障故障与否检测方法
用万用表在图3-2-1所示处检测,如果电压大于-23V或小于-26V,则是电源故障,如果没有,则进行下一步测量:

3-2-2 接线有误与否检测方法
如图3-2-2所示,测量1处VXDCR,如果值大于-23V或者小于-26V,则是接线错误,如果没有,则是传感器故障。
3.2.2 故障情况二

可能原因:电源电压值错误,现场侧短路,前置器侧接线端子短路,传感器故障。
如图3-2-3所示,如果VSIG=0V,则是传感器故障,如果不等于0V,则可能是电源电压值不符合,或是现场侧短路,或是前置器端子侧短路。

3-2-3 VSIG等于0与否检测方法
3.2.3 故障情况三

可能原因:探头离被测体太近,电源电压值不符合要求,前置器故障,探头所测对象是机器外壳或其他物体而非被测对象,接线短路或开路或松动,探头内短路或线路开路,延伸电缆短路或开路。

3-2-4 检测-1V<VSIG<0V
如果VSIG大于-1V或小于0V,依据图3-2-4所示1-5项检测各项是否正常。
3.2.4 故障情况四

可能原因:前置器故障,探头安装位置离被测对象过远。
解决方法:如图3-2-5所示,断开探头与前置器电缆,在图示1处测量VSIG,如果VSIG大于-1.2V并且小于-0.3V,则重新接线,重新安装探头,重新启动系统。如果VSIG不是前述范围内的值,则前置器故障。

3-2-5 检测VXDCR<VSIG<VXDCR+2.5V
3.2.5 故障情况五

可能原因:电源电压不符合要求,前置器故障,输出与电源端接线故障。

3-2-6 检测VSIG=VXDCR
解决方法:如果VSIG=VXDCR,则传感器故障。如果不等于,则现场接线错误(输出和电源端短路)。
4. 本特利系统卡件在线更换
4.1 前言
4.1.1 本特利3500系统由框架电源及监测器模块组成,接收现场探头检测信号,通过框架之间的相互通讯互相关联,通过对各监测数据的组态形成对设备的保护及控制。
4.1.2 本特利3500框架分全尺寸框架和迷你型框架,除电源模块必须安装于框架左侧两个插槽且产用冗余配置外,其他任意卡件或模块只占用一个插槽位(部分装置继电器模块采取冗余配置)。
4.1.3 本规程仅适用于本特利3500/42振动位移监测卡的在线更换,其他卡件的更换可参考使用。
4.2 准备工作
4.2.1 办理检修作业票,履行签字手续,告知工艺人员密切监控机组运行状态,勿进行大幅度操作,同时通知机动部相关人员到场。
4.2.2 工具:2mm小一字螺丝刀一把,5mm一字螺丝刀一把,万用表一个,绝缘手套,卡件相应备件。
4.3 卡件更换
4.3.1 接触控制器之前必须触摸接地设备将静电释放,将本特利3500/22卡后I/0 MODULE下方端子紧固螺丝松开后,将整个端子拔出,利用1.0mm2导线将COM与INHIB端子短接,确认紧固后将端子插回并紧固。端子详细位置见图4-3-1。

4-3-1 硬件旁路操作图示
4.3.2 观察本特利机架前面板,确认前面板监视器卡件红色BYPASS灯全部亮起,详细位置见图4-3-2。

4-3-2 本特利机架前面板
4.3.3 松开紧固螺丝将故障卡件背面接线端子松开,在正对操作人员方向将I/0MODULE模块拔出。紧固螺丝位置如图4-3-3。

4-3-3 卡件紧固螺丝
4.3.4 将前面板白色安装卡扣起,在正对操作人员方向将前面板模块拔出。白色安装卡位置如图4-3-4。

4-3-4 卡件安装卡扣示意
4.3.5 将备卡安装于卡槽内,操作方法相同,安装顺序:先安装前面板卡,后安装I/O MODULE,等待前面板OK灯常亮后说明卡件自检完成。(此时红色BYPASS灯也应常亮)。
4.3.6 将钥匙旋至PROGRAM,连接组态电脑,按照备份程序,在3500组态软件中将此卡件的组态信息重新下装一次。
4.3.7 确认卡件自检完成后(此时OK灯与BYPASS灯常亮),按照第一步方法,拔下3500/22卡后面的旁路开关端子,去除短接线后恢复。
4.3.8 点击复位按钮,如图4-3-5,此时OK灯常亮,BYPASS灯熄灭,TX/RX灯持续闪烁。
4-3-5 编程钥匙、复位按钮
4.3.9 确认ITCC上位振动或位移值显示正常后,将钥匙旋回RUN。
注:在操作过程中应该与工艺、设备人员保持密切联系,随时关注机组运行状况,防止发生意外情况

技术资料、专业课程 、招聘信息
长按扫描二维码


