

纺织品行业的发展现状
截止2023年,全球每年纺织纤维产量已经突破1.19亿吨,且以每年6%-10%的速度增长,其中化学纤维占比超过70%。中国作为纺织大国,2023年纤维产量约为7310万吨,其中化学纤维占比为85%。纺织业的快时尚趋势带动纤维消费量大增,全球服装产量在2000-2017年间翻了一番,普通消费者年均购买的成衣数量增加了60%。全球纺织品贸易在近40年时间里,总体保持持续增长的趋势。即便最近十年增长速度有所放缓,预计到2030年,服装和鞋类的消费量仍将增长63%。这一规模将导致当前产业模式下的水资源、能源消耗持续增加,产生的大量废弃物严重危害气候和环境。
数量庞大的废旧纺织品缺乏有效的回收处理手段,普通的填埋和焚烧方式所释放的有害物质对土壤、水源以及空气造成严重污染,纺织品行业发展现状已不符合可持续、可循环和可追溯的要求,亟需做出改变。
图1:2015年至2022年全球纺织纤维和化纤产量

资料来源:上海国际棉花交易中心网站,中科长光创投团队整理

纺织品的回收再生是未来发展必然趋势
麦肯锡咨询公司2022年发布报告《欧洲推行规模化再生循环措施将废旧纺织品变废为宝》(Scaling textile recycling in Europe—turning waste into value),该报告称:有多种方法可以解决废物问题,包括减少生产和过度消费、延长产品寿命、可回收设计等,其中最具有可持续性和扩展性的是实现纤维到纤维的回收再利用,比如纯棉的机械回收工艺已经实现;聚酯的化学回收技术也即将实现商业化。
该报告认为,一旦工艺完全成熟,70%废旧纺织品都可以实现纤维到纤维的回收利用,剩下30%将需要开环回收或其他解决方案。而当前的实际回收率不到1%。
该报告预测,为了在2030年前达成这一目标,将需要总计60至70亿欧元的投资,以便达成包括纺织品收集、分类和回收在内的整个价值链的规模化。报告称,在成熟和规模化之后,从纤维到纤维的回收有可能成为一个独立盈利行业,到2030年,整体盈利规模将达到15至22亿欧元。
欧盟作为纺织品进口量最大的单一经济体,每年产生580万吨废弃纺织品(人均11公斤/年),其发布的《欧盟可持续和循环纺织品战略》( EU strategy for sustainable and circular textiles )旨在提高欧盟纺织行业的竞争力、可持续性和回收能力,确保2030年进入欧盟市场的纺织品均为耐用和可回收的,且尽可能使用再生纤维制造。
2022年4月中国国家发展改革委、商务部、工业和信息化部联合印发《关于加快推进废旧纺织品循环利用的实施意见》,要求2025年废旧纺织品循环利用率达25%,废旧纺织品再生纤维产量达到200万吨;2030年循环利用率达30%,产量达到300万吨。
图2:国内外纺织品循环再生政策发展历程

资料来源:中科长光创投团队整理

废旧纺织品回收处理的困境
纺织品成分主要包括棉、羊毛等天然纤维和涤纶、尼龙、腈纶等化学纤维。天然纤维的物理性质主要取决于原料本身,如棉质纤维具有柔软舒适、良好的透气性和吸湿性等特点,易被碱、酸腐蚀,是天然可再生材料,易于降解,可循环使用;化学纤维是用天然或合成化合物为原料,通过聚合、纺丝和后处理等工序制得的具有可纺性的纤维,产品种类繁多,其中以涤纶、腈纶和锦纶为主,具有优异的拉伸强度和耐久性,对一般的化学品比较稳定,不易被腐蚀,同时还具有一定程度的阻燃性和耐光性,很难降解。纺织行业通行的天然纤维与化学纤维的混纺工艺使得废旧纺织物的回收分类难度极大,染整、印花等工艺赋予织物独特性能的同时,也给废旧纺织品的回收带来了技术障碍。
根据欧洲化纤协会数据,在全球范围内,涤纶纤维是产量和消费量最大的化纤品类,约占纤维总量的60%,在化纤总量的占比超过70%。涤纶纤维的化学成分为聚对苯二甲酸乙二醇酯(简称PET),是由对苯二甲酸二甲酯(DMT)与乙二醇(EG)酯交换或以对苯二甲酸(PTA)与乙二醇酯化先合成对苯二甲酸双羟乙酯(BHET),再进行缩聚反应制得。
1946年英国发表了第一个制备PET的专利,1949年英国ICI公司完成中试,但美国杜邦公司购买专利后,1953年建立了生产装置,在世界最先实现工业化生产。2023年中国PET产量达7946.5万吨。
PET分为纤维级聚酯切片和非纤维级聚酯切片。纤维级聚酯用于制造涤纶短纤维和涤纶长丝,是供给涤纶纤维企业加工纤维及相关产品的原料。非纤维级聚酯还有瓶类、薄膜等用途,广泛应用于包装业、电子电器、医疗卫生、建筑、汽车等领域,其中包装是聚酯最大的非纤应用市场,同时也是PET增长最快的领域。
聚酯的物理回收方法已趋于成熟,即利用PET瓶类或包材等废弃物通过熔融再生。目前,全球PET饮料包装材料的回收率已达90%以上,中国的PET瓶体回收率也已接近上限。物理法回收工艺极大受制于高品质原材料的供应情况,回收后的化纤材料主要降级应用于填充、无纺布等低端纺织品,一般只能回收利用一次,无法实现完全封闭循环利用。因此物理法回收工艺对于规模巨大的化纤产品束手无策。
图3:废旧纺织品回收通路

资料来源:Sustainability Hub网站,专栏讨论“纺织和时尚产业中的可持续性问题”。

PET聚酯的化学法再生工艺
为解决纺织行业资源短缺和环境压力问题,化学纤维(尤其是PET聚酯)循环再利用的意义与产业价值引起越来越广泛的关注。考虑到目前纺织品行业消费特点,尤其是快时尚理念主导下的纺织品定位,绝大部分废旧纺织品中的聚酯成分无法通过物理法进行回收再生并实现产业闭环。目前普遍认为化学法回收再生是实现纺织行业循环发展的有效路径,即通过化学反应将聚酯纤维中的高分子链解聚,借助除杂和纯化等工艺,制备高纯度单体并重新聚合得到品质等同于原生聚酯的再生材料。化学法再生工艺可以有效去除纺丝、染整等环节带入的染料、功能性助剂等影响再生料品质的成分。
化学法加工工艺相对复杂、技术水平要求高、生产成本也高于物理法,但回收得到的单体纯度高,品质稳定。用这样的单体聚合得到的再生聚酯与原生聚酯在品质上无差异,且产品稳定性好。理论上,化学法可将聚酯废料无限次原级回收利用,协助聚酯产业实现真正的闭环发展。
表1:PET聚酯化学法和物理法回收工艺对比

资料来源:中科长光创投团队整理
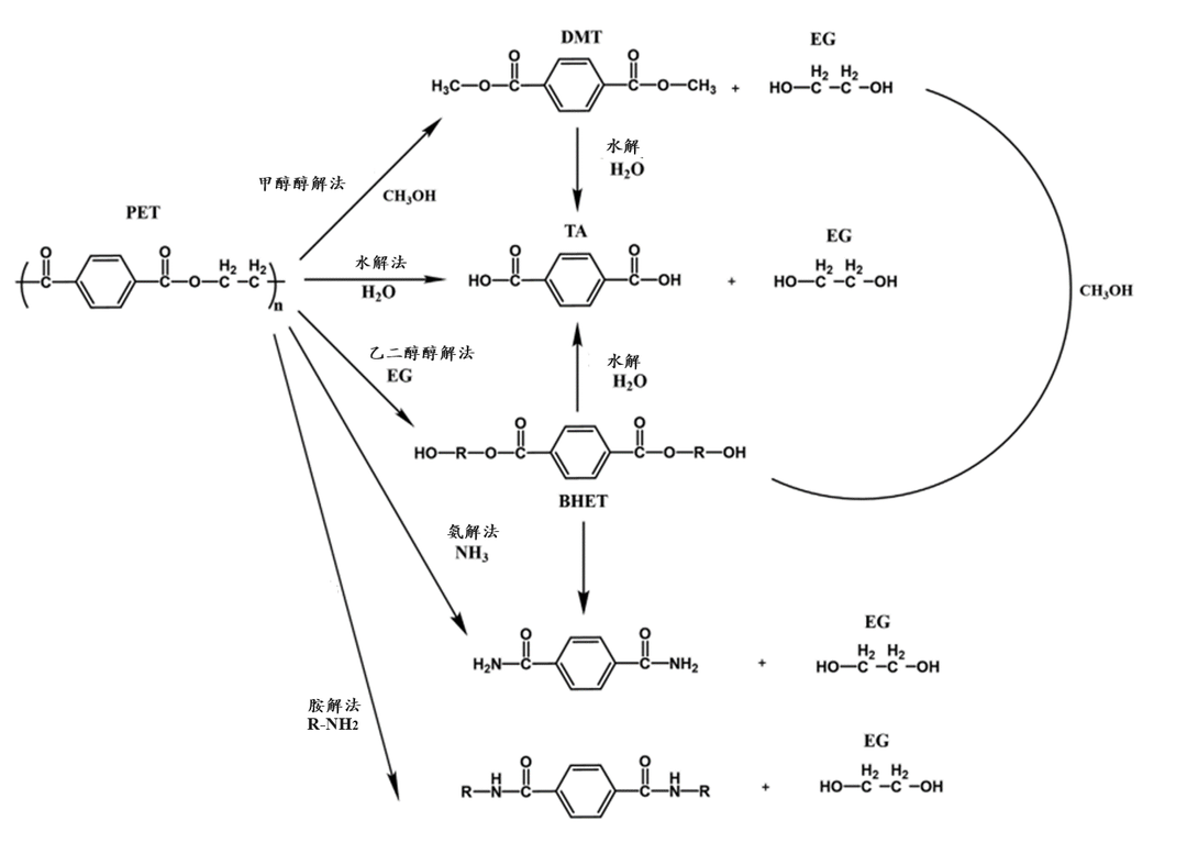
PET聚酯化学法回收是行业研究热点之一,截至2020年共发表了近18000篇相关研究报道,仅2020年当年就有1818篇研究工作发表。这些工作的焦点基本都集中在PET化学法解聚的反应温度、时间、压力、产物、产率、催化剂以及反应试剂等方面,涉及的PET化学法再生工艺可大致归为醇解法(甲醇醇解法)、二元醇解法(乙二醇醇解法)、水解法、氨/胺解法等几大类。
醇解法是在一定的温度和压力下,将废旧PET在醇类介质中解聚成单体。这个路线可以通过调控并优化温度、压力、催化剂等关键参数并选择合适的醇类试剂,获得不同的产物。目前甲醇醇解法运用较为广泛,但也有使用乙醇、丁醇、异辛醇等醇类试剂的报道。PET甲醇醇解法可在液体甲醇中进行,这也是最为传统的处理方式;此外还可以通过甲醇热蒸汽或者超临界甲醇为反应物对PET进行解聚处理。使用这种方法得到的单体是对苯二甲酸二甲酯(DMT)和乙二醇单体,二者均可以通过成熟的工艺装备进行提纯除杂。DMT可以水解制得PTA或直接聚合得到等同于原生料品质的再生PET。
二元醇解法是使用乙二醇(EG)、二甘醇(DEG)、丙二醇(PG)、二丙二醇(DPG)等二元醇与PET反应,聚合链中的酯键断裂后,再与二元醇反应得到PTA衍生物(如BHET)和其它低聚物。二元醇可以与PET材料产生更好的溶剂化效果,从而有效地活化聚酯键并通过其羟基参与的官能化反应将聚酯链解聚。二元醇解法是研究时间最长的PET化学降解方法,乙二醇是研究最为广泛的二元醇溶剂体系,乙二醇醇解法也是最简单、温和的反应路线。DuPont, Goodyear, Shell Polyester, Zimmer, 以及Eastman Kodak等行业巨头都曾长期聚焦在这一路线上。此方法得到的单体BHET与成熟的PET聚合工艺无法直接兼容,但可以通过水解转化为PTA或通过与甲醇的酯交换反应得到高品质DMT,与EG聚合得到高品质的再生PET材料。
水解法路线也可以将品质不高的PET材料解聚制备高品质单体。用这种方法可得到乙二醇和对苯二甲酸(PTA)。目前行业内(特别是中国)主流PET聚合工艺采用的二元酸单体是PTA,如果废旧PET的水解法化学回收路线能够大规模产业化,这将与原生PET行业的主流工艺路线高度契合。水解法路线可以在中性、酸性或者碱性条件下实现PET解聚。但该方法在能耗、除杂工艺、反应装备等方面仍面临诸多挑战,无法实现量产。
与醇类或水分子中的羟基(-OH)相比,胺基(-NH2)具有更高的反应活性,因而也可以利用含有该基团的试剂进行PET的解聚处理,即(使用氨为介质的)氨解法和(有机胺为介质的)胺解法。与醇解法和水解法相比,该路线可以有效降低反应温度和压力,但大规模量产面临巨大的安全监管压力,且得到的单体产物为对苯二甲酰胺,与现有的PET聚合工艺不兼容,无法通过再聚合获得PET再生料。
图4:PET聚酯化学法回收路径

资料来源:
1. Sustainability performance of polyethylene terephthalate, clarifying challenges and opportunities, Journal of Polymer Science, 2022, Vol. 60: 7–31
2. Recent advances in recycling technologies for waste textile fabrics: a review, Textile Research Journal, 2024, Vol. 94(3–4): 508–529
当前,聚酯废弃物的回收再利用已经形成了社会共识。废旧纺织品存在成分复杂、品质波动大的特点,因此对废旧纺织品的综合利用是一项极其复杂的技术难题。化学法是唯一一种遵循“可持续发展”原则并且可以实现废旧聚酯纺织品真正闭环回收的方法,其中乙二醇醇解法工艺条件相对温和,对设备要求较低。基于乙二醇醇解法的基本原理,浙江佳人新材料公司开发出独有的乙二醇醇解-甲醇酯交换化学循环再生工艺并规模化量产。
图5:乙二醇醇解-甲醇酯交换化学循环再生工艺流程

该技术采用独有的化学循环再生系统,以废弃的废旧纺织品为初始原料,通过独特的化学分解技术将废弃聚酯材料还原成化学小分子,经过精馏、过滤、提纯及聚合等技术手段,重新聚合成具有高品质、多功能、可追溯、永续循环的再生聚酯产品,真正意义实现从废弃聚酯到再生新材料的永续循环生态圈,并有效降低对石油资源的依赖,减少废弃物的产生。该工艺路线是建立废旧纺织品高效绿色化学循环再生的关键技术,有助于实现再生聚酯产品高值化产业应用。该技术的大规模产业化,将极大推动我国废旧纺织品资源化利用技术的重大突破与综合利用产业的规范化发展,为大幅度提高我国资源利用效率,支撑生态文明建设提供科技保障。
声明:本资料中的数据、信息等均来源于对第三方公开资料的收集、整理,中科长光创投不就第三方数据来源的真实性、准确性或完整性提供直接或隐含的声明或保证。本公众号所载图片或者文字,如果侵犯到您的权利,请及时联系我们,我们将在第一时间处理。
END
中科长光创业投资管理有限公司

中科长光创投植根长三角地区,自组建以来,一直致力于投资布局有重大创新突破的战略性科技方向,持续推动优秀科技创业团队与地方产业资源的深度融合、协同创新,使前沿科技成果得以尽早转化成生产力,释放市场价值。




