

点击最上方

蓝字
关注我们
1
报名条件
(一)具有中华人民共和国国籍,遵守中华人民共和国宪法和法律。
(二)遵纪守法,品行端正,团结协作,敬业乐群、廉洁奉公。
(三)适应岗位要求的身体条件。
(四)年龄要求为:博士研究生年龄不超过40周岁(即1984年1月1日之后出生),具有副高级专业技术职称的年龄不超过45周岁(即1979年1月1日之后出生),具有正高级专业技术职称的年龄不超过50周岁(即1974年1月1日以后出生)。(岗位表中对年龄有特殊要求的从其要求)
(五)具备报考岗位要求的专业、技能等资格条件(详见岗位表)。本次招聘的应届毕业生须于2024年12月31日前毕业并取得学历学位证书,且仍无工作单位。2022年和2023年普通高校毕业生,若仍未落实工作单位,其档案关系仍保留在原毕业学校,或保留在各级毕业生就业主管部门(毕业生就业指导服务中心)、人才交流服务机构和公共就业服务机构的,以及国(境)外同期毕业且已完成学历认证但仍未落实工作单位的人员,可应聘应届毕业生岗位。
国(境)外教学科研机构学习同期毕业人员,指在国(境)外教学科研机构学习,与国内应届毕业生同期毕业的留学人员,同期毕业的时间要求与国内应届毕业生一致。
计算工作经历的基准日期为2024年1月31日。
(六)取得祖国大陆普通高校学历的台湾学生和取得祖国大陆承认学历的其他台湾居民应聘时按国家和我省有关规定执行。
2
报名时间及方式
(一)报名时间、地点、方式
应聘人员通过“江苏省属事业单位公开招聘平台”报名,照片上传、资格初审,均通过网络同步进行。报名网址:https://rs.jshrss.jiangsu.gov.cn/index/f/RCRS_0056(江苏省人力资源和社会保障厅网上办事服务大厅)
1.报名、照片上传:2月8日9∶00-12月20日16∶00;
2.资格初审:2月8日9∶00-12月21日16∶00;
3.陈述申辩:2月9日-12月22日期间9∶00-16∶00;
4.对初审异议的处理:2月9日9∶00-12月22日18∶00;
(二)网上确认
(1)应聘人员网上提交报名信息24小时后(节假日顺延)可到报名网站查询是否通过招聘部门(单位)资格初审。
(2)本次公开招聘不收报名费和考试费,通过初审即报名成功。
(3)未按时在网上确认报名资格、上传照片、要求缴纳报名费而未缴的视为报名无效。
(三)报名注意事项
1.应聘人员按岗位要求和网上提示,如实填写有关信息,并上传本人近期免冠正面二寸(35X45毫米)证件照,jpg格式,大小为20Kb以下。
招聘部门(单位)根据应聘人员提供的信息进行审核。应聘人员弄虚作假的,一经查实,即取消应聘资格。
2.长期招聘岗位,不设开考比例。自公告发布7个工作日之后,根据报名情况,自行组织考核。岗位招满即止。
3.应聘人员只能从岗位表选择一个岗位报名。资格初审通过后,不可更改报名信息。未通过资格初审的应聘人员,在报名期内,可以改报符合资格条件的其他岗位。应聘人员要使用在有效期内的第二代居民身份证进行报名,报名与考场使用的身份证必须一致。
4.有下列情形之一的,请勿报名应聘:
①现役军人、普通高校在读非应届毕业生;
②与事业单位负责人员有夫妻关系、直系血亲关系、三代以内旁系血亲关系或者近姻亲关系等亲属关系的,不得应聘事业单位的组织(人事)、纪检监察、审计财务岗位;与现有在岗人员存在上述关系的,不得应聘到岗后形成直接上下级领导关系的管理类岗位,以及《事业单位人事管理回避规定》明确应当回避的岗位;
③新《江苏省事业单位公开招聘人员办法》于2020年3月13日起施行,根据其后发布的事业单位公开招聘人员公告,被聘用到江苏省地方各类事业单位3年服务期未满的在编(在册)人员;
④2024年8月31日前,5年服务期未满的新录用公务员,或有规定(含协议明确)不得解聘离开工作单位(岗位)的人员,或国家和省另有规定不得应聘到事业单位的人员。
3
招聘流程
(一)考试方式包括:1.试讲;2.面试。
1.试讲
试讲内容为应聘岗位核心课程内容,采用讲课的方式进行。试讲按照常州机电职业技术学院制定的试讲办法执行。在开考前三个工作日,试讲的时间、地点和具体要求在常州机电职业技术学院网站(www.czimt.edu.cn)人员招聘栏进行公布或以电话、短信的方式通知应聘人员。应聘人员应按照规定的时间和地点参加试讲,否则按弃考处理。试讲成绩当场告知应聘人员,试讲满分100分,合格线为60分,不合格者不予进入下一轮考核环节。
2.面试
应聘人员试讲结束后,在试讲成绩合格者中,根据成绩从高分到低分的顺序,按拟聘用人数1:3的比例范围内确定参加面试的人员,人数不足1:3的,均进入下一轮。面试主要测试履行岗位职责所需的专业知识、业务能力和综合素质,按照常州机电职业技术学院制定的面试办法执行。参加面试的人员以电话或短信方式通知具体时间、地点。面试成绩当场告知考生,面试满分100分,合格线为60分,不合格者不予进入下一轮考核环节。
3.考试成绩计算方法:
采用百分制计算应聘人员总成绩,总成绩满分为100分。最终成绩计算方法:最终成绩=试讲成绩×50%+面试成绩×50%。
(二)注意事项
1.应聘人员的试讲成绩并列时,均进入下一轮考核。
2.应聘人员的最终成绩并列时,录取试讲成绩排名靠前人员。
3.应聘人员的试讲成绩、面试成绩都并列时,并列人员择期再组织一轮面试,直至面试成绩无并列为止。
四、体检、考察
考试结束后,根据总成绩计算方法确定应聘人员的总成绩,在各单项考试(测试)合格人员中,按招聘岗位拟招聘人数1:1的比例从高分到低分确定参加体检人员。体检标准参照《国家公务员录用体检通用标准(试行)》执行。
对体检合格人员由用人单位组织考察,并根据考察和体检结果,确定拟聘用人员名单。拟聘用人员名单将在江苏省人力资源和社会保障网站上公示7个工作日。公示内容包括岗位编号、招聘单位、岗位名称、拟聘用人员姓名、学历、专业、毕业院校、现工作单位、招聘考试的各项成绩、总成绩、排名等。
因应聘人员考察或者体检不符合要求的,或拟聘用人选公示的结果影响聘用的,或拟聘用人选明确放弃聘用的,或其他原因导致聘用岗位空缺时,由学校决定依次递补。聘用审批或者备案后不再递补。
4
相关待遇
事业编制
5
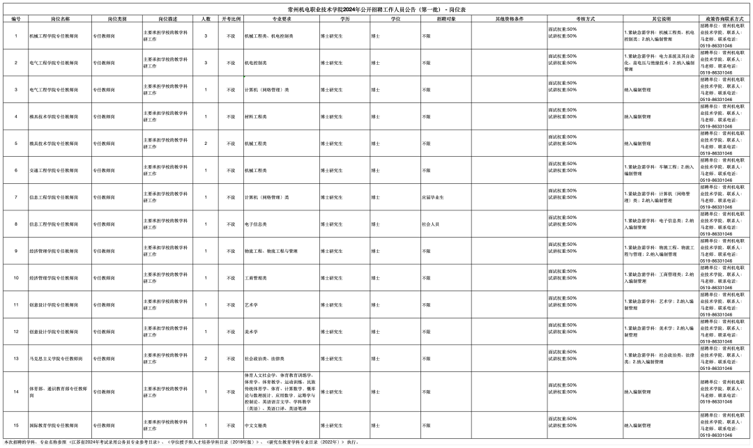
岗位表

6
附件
点击“阅读原文”下载附件
7
加群交流
扫码备注“学校+目标地区”,加入人才引进交流群

公众号推荐:“本硕博联谊服务号”

8
面试课程
本课程适用于全国各地人才引进面试中的面谈和结构化面试。
(一)课程表

(二)报名方式

(三)课程内容
1. 理论串讲,老师会讲解结构化面试的理论知识和答题思路,帮助同学们答好题。
2. 实战训练,课程采用直播互动的模式,老师会在课上会对学员进行专项的实战训练,给同学们大量的实战练习机会。
3. 实战模拟,模拟结构化考试形式,每一次考生答一套题,考生答题后老师进行点评,帮助同学们提高面试能力。
4. 问题答疑,每节课后老师会预留一定的时间用于解答学员的问题。
公众号推荐:“江浙沪高层次人才引进”

往期推荐
1. 【江苏|南通】南通市选调269名优秀紧缺专业青年人才公告(2024年1月31日截止)
2. 【江苏|镇江】镇江市事业单位2024年定岗特选139名优秀应届大学毕业生公告(24年1月15日截止)
3. 【江苏|镇江】镇江市国企定岗特选38名优秀应届大学毕业生公告(2024年1月15日截止)
5. 【浙江|宁波】宁波市海曙区引进20名高层次紧缺优秀人才公告
| 江苏 | 浙江 | 上海 | 山东 |
| 北京 | 天津 | 河南 | 河北 |
| 广东 | 福建 | 湖南 | 湖北 |
| 四川 | 重庆 | 贵州 | 江西 |
| 陕西 | 山西 | 甘肃 | 安徽 |
| 辽宁 | 吉林 | 黑龙江 |

扫描二维码获取
更多精彩
双一流
高层次人才引进


