手机版
二维码
购物车
(
0
)
供应
求购
公司
团购
展会
资讯
招商
品牌
人才
知道
专题
图库
视频
下载
商圈
推广
热搜:
采购方式
滤芯
甲带
气动隔膜泵
减速机
减速机型号
带式称重给煤机
履带
无级变速机
链式给煤机
首页
供应
求购
公司
团购
展会
资讯
招商
品牌
人才
知道
专题
图库
视频
下载
商圈
首页
>
资讯
>
工艺玩具
礼来:酮不对称催化一步还原胺化的工艺优化
日期:2024-02-02 10:40:48 来源:网络整理 作者:本站编辑
评论:0
Org. Process Res. Dev.
2021
, 25, 3, 576–582,10.1021/acs.oprd.0c00522
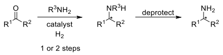
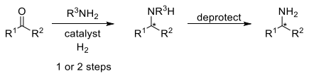
α-手性伯胺是药物和农用化学品的重要组成部分,传统方法是通过将酮转化为伯胺,通常需要多个步骤,包括形成保护的亚胺、不对称还原和胺的去保护。过渡金属催化酮的直接
不对称还原胺化(DARA)
是直接生成伯胺的一步方法,水为唯一的副产物,但由于亚胺难以形成、竞争性酮还原、伯胺产物对催化剂的毒化作用以及双还原胺化形成仲胺副产物的的反应特性,这种化学方法一直具有挑战性。
本文介绍了礼来科学家使用Ru催化直接转化芳基甲基酮为药物相关的手性伯胺的两个kg级案例。
α-手性伯胺
1
是某候选药物的关键中间体。一代工艺是用Ellman手性辅基和Ti(OEt)
4
处理烷基芳基酮
2
随后在Ru催化剂转移加氢的条件下还原,虽然该工艺有效地提供了所需中间体,收率73%,97.9% ee,但整个过程很繁琐,需要过量的钛并过滤去除钛废物,对映体诱导的手性辅基以及脱保护步骤。
作者认为使用DARA条件,
2
可以一步有效地转换为
1
。
结合已有经验初步探索了几种市售的醋酸钌配合物与BINAP配体,虽然各配体的转化率很高,但观察到的对映体过量相当适中,只有H8-BINAP提供ee大于50%。
考虑到BINAP类似配体的对映选择性较差,进行了广泛的配体筛选,xyl-SDP和iPr-DUPHOS分别提供了82%和85%的对映选择性。
最终选择iPr-DUPHOS结合(+)-10-樟脑磺酸成盐解决光学纯度问题,放大溶剂替换为异丙醇。降低压力虽然反应较慢,但选择性更好。
受限于iPr-DUPHOS配体的商业化供应压力,对含有NH
4
OAc、水杨酸铵或氨联合其他羧酸添加剂的BINAP Ru催化剂进行广泛筛选,并没有找到合适的替代品。使用[RuCl(p-cymene){(S)-BINAP}]Cl与氨、氯化铵、H
2
和甲醇/水体系结果最好,转化率95.7%,ee 71.7%。
前一实验结果表明可以从简单易得的手性双芳基膦配体中实现高的对映选择性。在此基础上在NH
3
/NH
4
Cl条件下对手性双芳基膦配体进行了筛选,dtbm-Segphos选择性最好,ee 87%,但转化率仅45%。
采用dtbm-Segphos进行进一步优化,改用Ru(OAc)
2
(
R
)-dtbm-Segphos作为催化剂,其对映体选择性和转化率都有了一定小的提高。进一步探索了温度和催化剂用量,在100°C下将催化剂负载从1 mol%增加到2 mol%,在6h内将反应转化率提高到95%;在110°C下,1 mol %催化剂在6h内几乎定量转化,24 h后完成;催化剂负载量降低到0.5%转化不完全;更高的温度对选择性没有太大的影响,但化学选择性最终受到了影响。
使用1 mol % Ru(OAc)
2
(
R
)-dtbm-Segphos、1.5当量2M氨、10当量氯化铵和3.0当量水进行了400g规模的放大确认。在200 psi的H
2
条件下,反应在110°C下的54 h内实现了完全转化,ee 93.5%,酮还原杂质<0.3%。更高的压力可以实现更快的转化,但设备的限制压力需要<250 psi。
确认工艺后将注意力转向了后处理和结晶。反应转化率很高,但≤2%的原料
2
和0.1−0.3%杂质
3
需要和催化剂/配体一起清除。过滤反应混合物去除氯化铵,得到的溶液置换为乙酸乙酯,调节pH 1−2使产物进入水相,萃取去除未反应的起始物料和有机层中溶解的其他工艺杂质;调节水相pH至11−12将产物提取到二氯甲烷相,盐水洗涤,所得二氯甲烷溶液置换为异丙醇,从异丙醇/正庚烷中结晶得到所需的产品。
后处理过程中发现了两种新的相关杂质
4a
和
4b
,由于它们与
1
的结构相似,在后处理和结晶过程中只能部分清除,由于
4a
和
4b
的总面积<2.5%并可在后续步骤清除,这个水平被认为是可以接受的。
利用上述优化条件,在30、123和122kg规模进行了3个GMP生产批次,共制备192kg
1
,收率67−72%,ee 93.6%。
打赏
更多
>
同类资讯
• 手工做一个钢铁侠反应堆?
0
条
相关评论
推荐图文
推荐资讯
点击排行
0
1
好绝的考古恐龙蛋?硬控小孩哥一小时+❗️
0
2
知道是考古盲盒,也没想到这么硬!!!
0
3
❌不要给宝宝玩考古玩具
0
4
商场里面一锤子5块,爸爸怒买30个在家里锤
0
5
终于可以不费妈了,孩子还能锻炼动手能力
0
6
发明挖土考古玩具的真是个天才
0
7
让娃安静半小时的玩具
0
8
宝贝喜欢的考古挖掘,锻炼耐心,激发好奇心
0
9
考古挖掘盲盒
网站首页
|
关于我们
|
联系方式
|
使用协议
|
版权隐私
|
网站地图
|
排名推广
|
广告服务
|
积分换礼
|
网站留言
|
RSS订阅
|
违规举报
|
皖ICP备20008326号-18
(c)2008-2022 免费发布网 All Rights Reserved