纺织服装
后半场要怎么干?——170家纺织服装化纤上市公司上半年营收与净利榜中有答案第一纺织网 第一纺织网
2023-09-09 06:33


 
   

  当前,A股纺织服装公司2023年半年报已经披露完毕,虽然经受了疫情结束后叠加大环境的影响,但众多纺织服装、化学纤维、化学品及纺机上市公司的业绩表现引发了业界的广泛关注。

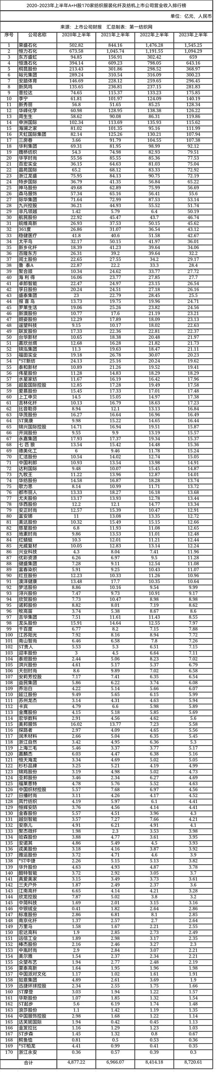
  据第一纺织网监测数据显示,截至2023年9月8日,A+H股170家纺织服装、化学纤维、化学品及纺机上市公司合计实现营业收入8720.61亿元,与上年同期的8414.18亿元相比增加306.43亿元,合计归属于母公司的净利润345.13亿元,与上年同期的525.79 亿元相比减少180.66亿元。

  截至2023年8月31日止,2023年上半年,A股143家纺织服装、化学纤维、化学品及纺机上市公司合计实现营业收入6782.87亿元,与上年同期的6607.79 亿元相比增加175.08亿元,合计归属于母公司的净利润192.17 亿元,与上年同期的377.10 亿元相比减少184.93亿元,显示出虽然疫情结束,行业营业收入保持一定增长,但净利润空间大幅度缩减。

  不过就就板块而言,行业研究机构均呈现不同的看法。

  东吴证券分析师李婕此前表示,从纺织制造板块来看,由于外需疲软、下游品牌处于去库周期,多数纺织制造企业上半年业绩仍较为承压、同比增速回落,但订单逐季回暖、下滑趋势呈环比收窄。部分企业实现正增长;就服装服饰板块而言,从不少品牌服饰已经披露的中报及预告看,多数公司增速亮眼,体现业绩复苏的确定性和韧性较强。从细分赛道上看,男装如报喜鸟增速超市场预期、复苏进度保持领先;中高端女装如锦泓集团、歌力思增速较为靓丽;运动品牌李宁、安踏、361度、特步国际流水保持稳健;休闲服森马服饰、太平鸟随毛利率提升、费用率正经营杠杆推动下利润扭亏实现高增;家纺中水星家纺净利率逐渐提升至2021年水平、低基数下实现利润高增。

  对于市场普遍预期下半年纺织制造或逐渐好转,但如何把握出口订单的复苏节奏和拐点时间?李婕判断,此前压制出口制造的因素主要为几个方面:一是下游海外品牌服饰2020-2021年经历供应链中断及海运周期延长问题后,普遍加大备货致2022年以来库存水平较高;二是通胀影响致欧美消费环境偏弱,外需景气度下降。两因素叠加导致国际品牌订单降温,出口型纺织制造企业受影响较大。首先,针对性从源头分析压制出口订单的两大因素当前情况、即品牌去库情况及欧美地区需求情况,然后横向对比越南、中国台湾两大纺织出口国家或地区的情况,进而分析我国出口型制造企业下半年发展趋势。

  首先,从品牌去库情况看,库存增速逐季放缓显示去库进程顺利推进,Nike、Lululemon销售额增幅已超库存增幅。根据国际品牌披露的季度财报数据,2022年欧美品牌Nike、Adidas、Lululemon、VF库存压力较大,日本品牌迅销集团(优衣库母公司)相对压力较小、库存水平较为正常。进入2023年后,欧美品牌库存同比增速明显回落,其中Nike、Lululemon最近季报的营收增速已经高于库存增速、库存去化持续进行,Adidas/VF营收端仍有小幅下滑、库存压力仍存;从存货周转天数看,迅销集团一直较为稳健、Nike自2022年下半年开始逐渐降低、Lululemon呈现波动、Adidas及VF压力仍较大;根据我们计算的库销比,今年以来欧美品牌库销比多处于下降趋势,但目前仍处于3年均值以上、仍有去化空间。

  其次,欧美需求情况显示,欧美消费仍较为平淡。通胀影响下欧美地区消费走弱趋势明显,美国服装消费2022年3月增幅回落明显、2023年3月转负、2023年7月重新小幅回正;欧元区20国零售销售指数2022年6月起同比转负、截至2023年6月尚未出现改善拐点。目前看美国消费韧性相对较强,欧洲需求仍较为疲软,整体欧美消费尚未出现明显拐点、仍较为平淡。

  此外,横向对比看,越南纺织品出口逐月改善、中国台湾鞋类制造龙头总体降幅收窄。横向对比其他主要纺织出口国,一是越南纺织制造出口金额2022年8月后大幅回落、与我国纺织出口情况保持一致,至2022年12月纺织品出现负增长,2023年1月鞋类增速亦转负。2月以来纺织品增速仍为负、但趋势上降幅收窄,鞋类波动较大、目前未出现明显拐点;二是中国台湾制造龙头月度数据显示各公司2022年10月起增速明显放缓,2023年初基本增速转负。7月呈现出鞋类制造企业降幅环比收窄(除志强因同期足球鞋高基数影响外),成衣制造企业有所分化,儒鸿有所好转、聚阳增速下滑。

  李婕预计,2023年下半年订单环比改善趋势延续,但业界依然需要关注订单拐点出现时间,从出口型企业的角度来讲:2023年上半年压力仍存,但5月以来人民币加速贬值,利好出口型企业收入增长及汇兑收益,有望增厚业绩。展望下半年,根据对海外终端需求、海外品牌库存情况的分析,虽然目前欧美消费仍较为平淡,但欧美运动巨头库存去化持续进行中,综合来看有利于上游纺织制造企业订单情况逐步好转、基本面环比改善。目前越南出口及中国台湾制造企业暂未明确出现向上拐点、但总体趋势呈改善,预期出口型企业下半年将迎订单向上拐点、产能利用率有望底部回升;就内销型企业而言,也需要关注国内国外两个消费市场需求拐点的渐次出现,二季度以来,纺丝开工率明显提升,国内品牌复苏有望逐步传导至制造端、订单有望改善,下半年海外品牌去库完成后订单或进一步回暖。

  而在东方证券研究员施红梅看来,就基本面而言,当前各细分行业龙头的估值水平已经反映了市场对下半年内需谨慎的预期,品牌服饰行业难有板块性的表现,虽然品牌消费在上半年基本上都兑现了相对较快的恢复性增长,但板块间各家业绩的分化明显,下半年随着低基数的淡化,预计这种分化仍将延续,更多配置机会仍然来自于精选业绩超行业增长、高股息率、细分赛道超预期复苏等结构性个股的行情;外需方面,上半年多数出口制造龙头业绩表现平淡,海外较强的宏观数据强化了国内出口制造龙头在下半年走出底部向上的预期,不过也需要注意经济减速对国内零售终端的压力、贸易摩擦和人民币汇率波动等因素带来的影响。

来源:  第一纺织网
免责声明:本文内容及图片系转载,且已经注明来源,仅为交流学习,文章版权归原作者所有,内容为原作者观点,转载文章均已注明出处,如涉及版权问题或者不愿意转载,请留言与我们联系,我们将在第一时间删除。

发表评论
0评