




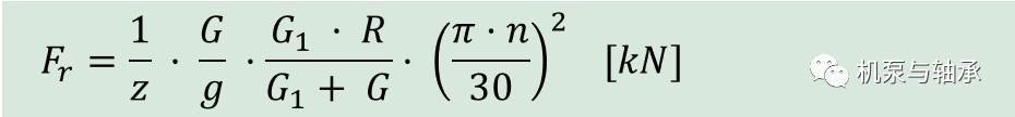
G 筛箱的重量 [kN] G1 激振器的重量 [kN] R 激振器的重心到轴承轴心的距离 [m] r 筛箱的振动半径 [m] G1 · R 激振器的不平衡力矩 [kN m] G + G1 弹簧支撑的总重量 [kN]
轴承承受的离心力(径向力),通过筛箱自重,振动半径和转速来计算:


Fr 轴承径向载荷 [kN] m 筛箱的质量 [kg] r 振动半径 [m] ω 角速度 [1/s] G 筛箱的重量 [kN] g 重力加速度 [9.81 m/s 2 ] n 转速 [rpm] z 轴承数量



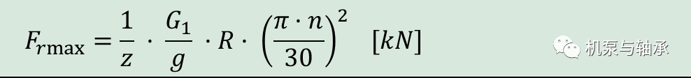
垂直于振动方向,得到一个更大的轴承载荷:

与双轴承振动筛相比,偏心筛的振动半径是由轴的偏心量来确定的。可以使用与圆振筛相同的公式来计算两个内侧轴承的径向载荷:





筛箱重量G = 35 kN 振动半径r = 0.003 m 转速n = 1200 min –1 轴承数量z = 2
计算:



轴承选择:振动调心滚子轴承FAG:23220 E1-T41D

可根据 ISO 281 以及润滑条件来修正轴承的额定寿命,此处不展开!

