中红外硅光子学因其在开发芯片集成分子传感器方面的巨大潜力而备受关注。微环谐振器(MRRs)具有高质量的因数、优异的制造重现性和紧凑的器件尺寸等优点,是一种有潜力的硅光子传感器件。然而,昂贵和笨重的中红外设备,即可调谐激光器或光谱仪,可能会限制基于MRR的传感设备的应用。在这里,我们从理论上研究了一种基于MRR的二氧化氮气体传感器,用单色中红外激光探测,以克服这一限制。此外,石墨烯被用作敏化介质,通过改变气体分子吸附后硅波导中传播光的相位。具体来说,我们的传感器在理论上实现了1.259 × 10-5 RIU/ppm的灵敏度,5.1 ppm的检测限和5135 ppm的检测范围。我们的研究有望为开发芯片集成、低成本、高灵敏度的光学气体传感器打开一扇门。

图1. 提出的石墨烯敏化MRR气体传感器示意图。(a)气体传感器三维示意图。(b)石墨烯覆盖的SOS MRR的波导截面。电极可以用来改变硅波导中自由载流子的浓度,也可以用来调节外电场下石墨烯的费米能级。(c)石墨烯敏化MRR气体传感器俯视图。(d)共振波长处MRR的电场分布。

图2. SOS波导中红外透明窗口内的有效RI (a)和光吸收系数(b)随波长和注入自由载流子浓度的变化。

图3. 计算了石墨烯费米能级的变化和石墨烯覆盖SOS波导的RI。(a)石墨烯费米能级随NO2气体浓度的变化。(b)石墨烯覆盖SOS波导的有效RI与石墨烯费米能级变化的关系。

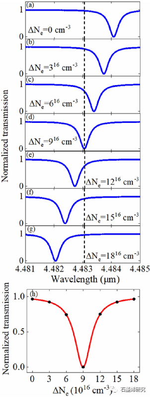
图4. 不同自由载流子浓度(a)-(g),石墨烯覆盖的MRR在波长域的归一化透射率,以及在4.48306 μm (h)波长处的MRR透射率采样。

图5. 不同气体浓度下,石墨烯覆盖MRR的归一化透射率随注入自由载流子浓度的变化。

图6. LOD和测量范围与Al2O3厚度的关系。
相关研究成果由天津大学精密仪器与光电子工程学院、光电信息技术教育部重点实验室Qi He等人于2023年发表在Optics Communications (https://doi.org/10.1016/j.optcom.2023.129447)上。原文:Graphene-sensitized microring gas sensor probing with a single-wavelength laser。